Последно актуализиране :
18/03/2026
противораково лекарство   Dacarbazine  
Инжекция/Инжекционен
Стабилност на разтвори Стабилност на смеси Фактори, повлияващи стабилността Съвместимост Път на въвеждане Библиография Pdf
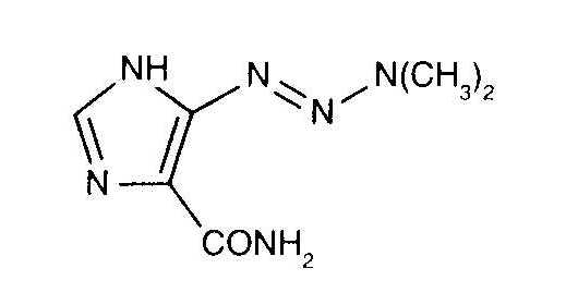
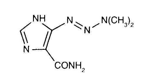
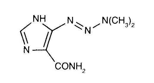
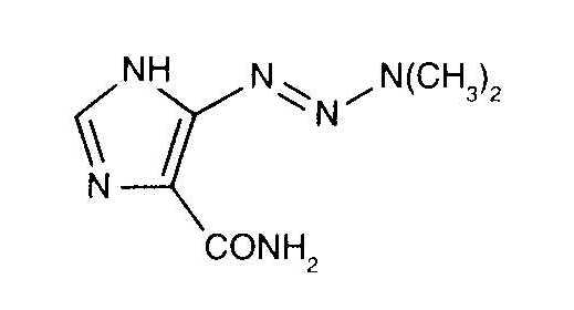
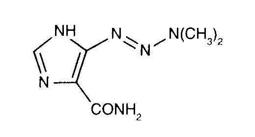
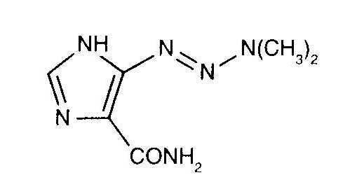
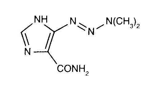
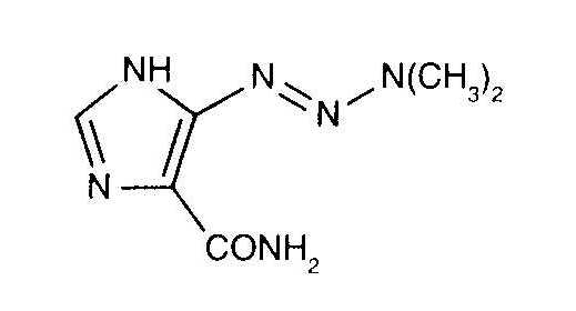
   Химична структура  

Търговско наименование   Търговско наименование     

Търговските имена са примерни и съставът на помощните вещества може да бъде различен в зависимост от държавата и лабораториите

Acocarb Мексико
Celdaz Индия, Перу
Dabaz Бразилия, Индия
Dacarba Индия
Dacarbazin Австрия, Малайзия, Полша, Унгария
Dacarbazina Аржентина, Бразилия, Еквадор, Испания, Италия, Колумбия, Мексико, Перу, Чили
Dacarbazine Австралия, Белгия, Великобритания, Дания, Индия, Иран, Ирландия, Канада, нова Зеландия, Съединени Американски щати / САЩ, Швеция
Dacarex Индия
Dacarin Индия
Dacarpalm Перу
Dacarzine Индия
Dacin Словения, Швейцария
Dacmed Индия
Daracina Колумбия
Deticene Гърция, Португалия, Саудитска Арабия, Франция, Холандия
Detimedac Германия, Колумбия, Румъния, Тунис
DTIC Австрия, нова Зеландия, Съединени Американски щати / САЩ
Fauldetic Португалия
Oncocarbil Аржентина, Еквадор, Перу
Tiferomed Мексико
Съвместимост   Инжекция/Инжекционен   Съвместимост : Dacarbazine              
Този екран показва съвместимостта или несъвместимостта с, в този случай, вида на несъвместимостта (утаяване, промяна на цвета, модификация на емулсия и др.). Показаните тук съвместимости са предимно физически, като рядко се оценява химическата стабилност на всяка молекула. Оценката на тези смеси беше проучена, за да се разгледа възможността за приложение на Y-място на пациента. Тези данни не могат да се използват за предварително приготвяне на смеси в торбички или спринцовки. Този тип информация е достъпна на екрана "Стабилност в сместа".
Състав / молекула Разтворител Библиография
Валежи след 1 час Несъвместим
Инжекция/Инжекционен Dacarbazine 4 mg/ml
Инжекция/Инжекционен Allopurinol sodium 3 mg/ml
Sodium chloride 0,9% 307
съвместим
Инжекция/Инжекционен Dacarbazine 4 mg/ml
Инжекция/Инжекционен Amifostine 10 mg/ml
Glucose 5% 3
съвместим
Инжекция/Инжекционен Dacarbazine 4 mg/ml
Инжекция/Инжекционен Aztreonam 40 mg/ml
Glucose 5% 99
съвместим
Инжекция/Инжекционен Dacarbazine 4 mg/ml
Инжекция/Инжекционен Doxorubicin hydrochloride liposome peg 0.4 mg/ml
Glucose 5% 251
съвместим
Инжекция/Инжекционен Dacarbazine 4 mg/ml
Инжекция/Инжекционен Etoposide phosphate 5 mg/ml
Glucose 5% 1410
съвместим
Инжекция/Инжекционен Dacarbazine 4 mg/ml
Инжекция/Инжекционен Filgrastim 30 µg/ml
Glucose 5% 244
съвместим
Инжекция/Инжекционен Dacarbazine 4 mg/ml
Инжекция/Инжекционен Fludarabine phosphate 1 mg/ml
Glucose 5% 492
съвместим
Инжекция/Инжекционен Dacarbazine 1.7 mg/ml
Инжекция/Инжекционен Granisetron hydrochloride 1 mg/ml
Sodium chloride 0,9% 57
Неопределена несъвместимост Несъвместим
Инжекция/Инжекционен Dacarbazine
Инжекция/Инжекционен Heparin sodium
3540
Незабавни валежи Несъвместим
Инжекция/Инжекционен Dacarbazine 25 mg/ml
Инжекция/Инжекционен Heparin sodium 100 UI/ml
Sodium chloride 0,9% 860
съвместим
Инжекция/Инжекционен Dacarbazine 4 mg/ml
Инжекция/Инжекционен Melphalan 0.1 mg/ml
Sodium chloride 0,9% 169
съвместим
Инжекция/Инжекционен Dacarbazine 3 mg/ml
Инжекция/Инжекционен Ondansetron hydrochloride 0,03 mg/ml
Glucose 5% 184
съвместим
Инжекция/Инжекционен Dacarbazine
Glucose 5% 3605
Неопределена несъвместимост Несъвместим
Инжекция/Инжекционен Dacarbazine
Инжекция/Инжекционен Heparin sodium
3267
Неопределена несъвместимост Несъвместим
Инжекция/Инжекционен Dacarbazine
Инжекция/Инжекционен Heparin sodium
3605
Неопределена несъвместимост Несъвместим
Инжекция/Инжекционен Dacarbazine
Инжекция/Инжекционен Hydrocortisone sodium succinate
3267
Неопределена несъвместимост Несъвместим
Инжекция/Инжекционен Dacarbazine
Инжекция/Инжекционен Hydrocortisone sodium succinate
3605
съвместим
Инжекция/Инжекционен Dacarbazine 1 mg/ml
Инжекция/Инжекционен Ondansetron hydrochloride 0,03 mg/ml
Glucose 5% 184
съвместим
Инжекция/Инжекционен Dacarbazine 3 mg/ml
Инжекция/Инжекционен Ondansetron hydrochloride 0,3 mg/ml
Glucose 5% 184
съвместим
Инжекция/Инжекционен Dacarbazine 1 mg/ml
Инжекция/Инжекционен Ondansetron hydrochloride 0,3 mg/ml
Glucose 5% 184
Незабавни валежи Несъвместим
Инжекция/Инжекционен Dacarbazine 4 mg/ml
Инжекция/Инжекционен Piperacillin sodium / tazobactam 40/5 mg/ml
Glucose 5% 81
съвместим
Инжекция/Инжекционен Dacarbazine
Sodium chloride 0,9% 3605
съвместим
Инжекция/Инжекционен Dacarbazine 4 mg/ml
Инжекция/Инжекционен Ondansetron hydrochloride 1 mg/ml
Sodium chloride 0,9% 334
съвместим
Инжекция/Инжекционен Dacarbazine 4 mg/ml
Инжекция/Инжекционен Paclitaxel 1.2 mg/ml
Glucose 5% 248
съвместим
Инжекция/Инжекционен Dacarbazine 4 mg/ml
Инжекция/Инжекционен Palonosetron hydrochloride 50 µg/ml
Glucose 5% 2107
съвместим
Инжекция/Инжекционен Dacarbazine 4 mg/ml
Инжекция/Инжекционен Sargramostim 10 µg/ml
Sodium chloride 0,9% 335
Неопределена несъвместимост Несъвместим
Инжекция/Инжекционен Dacarbazine
Инжекция/Инжекционен Sodium bicarbonate
3605
Неопределена несъвместимост Несъвместим
Инжекция/Инжекционен Dacarbazine
Инжекция/Инжекционен Sodium bicarbonate
3267
съвместим
Инжекция/Инжекционен Dacarbazine 4 mg/ml
Инжекция/Инжекционен Teniposide 0.1 mg/ml
Glucose 5% 905
съвместим
Инжекция/Инжекционен Dacarbazine 4 mg/ml
Инжекция/Инжекционен Thiotepa 1 mg/ml
Glucose 5% 249
съвместим
Инжекция/Инжекционен Dacarbazine 4 mg/ml
Инжекция/Инжекционен Vinorelbine tartrate 1 mg/ml
Sodium chloride 0,9% 84
Неопределена несъвместимост Несъвместим
Инжекция/Инжекционен Dacarbazine
NaHCO3 3605

  Mentions Légales