Ostatnia aktualizacja :
18/03/2026
Lek cytostatyk   Dacarbazine  
Injekcje
Trwałość roztworów Trwałość w mieszaninie Czynnik wpływający na trwałość Zgodność Sposób podania Bibliografia pdf
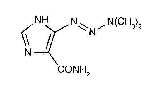
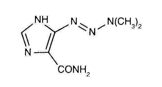
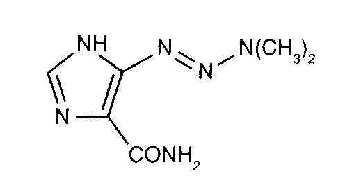
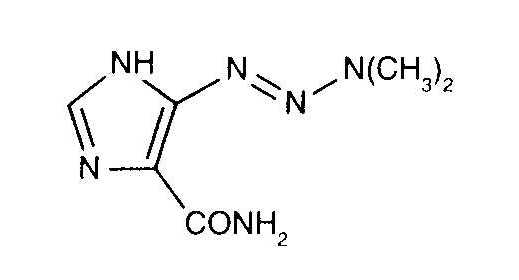
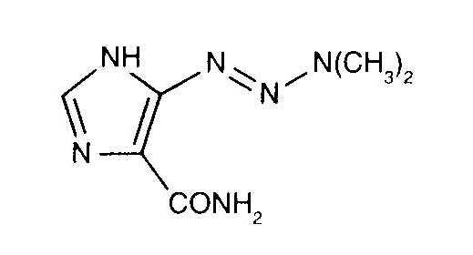
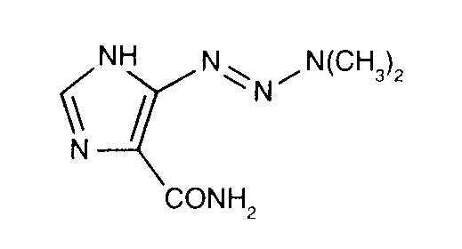
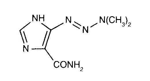
   Struktura chemiczna  

Nazwa handlowa   Nazwa handlowa     

Trade names are indicative and excipients composition can be different depending on the country and manufacturers

Acocarb Meksyk
Celdaz Indie, Peru
Dabaz Brazylia, Indie
Dacarba Indie
Dacarbazin Austria, Malezja, Polska, Węgry
Dacarbazina Argentyna, Brazylia, Chile, Ekwador, Hiszpania, KolumbiaKolumbia, Meksyk, Peru, Włochy
Dacarbazine Australia, Belgia, Dania, Indie, Iran, Irlandia, Kanada, nowa Zelandia, Stany Zjednoczone Ameryki, Szwecja, Wielka Brytania
Dacarex Indie
Dacarin Indie
Dacarpalm Peru
Dacarzine Indie
Dacin Szwajcaria, Słowenia
Dacmed Indie
Daracina KolumbiaKolumbia
Deticene Arabia Saudyjska, Francja , Grecja, Holandia, Portugalia
Detimedac KolumbiaKolumbia, Niemcy, Rumunia, Tunisie
DTIC Austria, nowa Zelandia, Stany Zjednoczone Ameryki
Fauldetic Portugalia
Oncocarbil Argentyna, Ekwador, Peru
Tiferomed Meksyk
Zgodność   Injekcje   Zgodność : Dacarbazine              
Ekran ten wskazuje na kompatybilności lub niezgodności z, w tym przypadku, rodzajem niezgodności (strącanie, zmiana koloru, modyfikacja emulsji, itp.). Przedstawione tutaj kompatybilności są głównie fizyczne, a stabilność chemiczna każdej cząsteczki jest rzadko oceniana. Ocenę tych mieszanin badano w celu rozważenia możliwości podania pacjentowi w miejscu Y. Dane te nie mogą być wykorzystywane do sporządzania mieszanin z wyprzedzeniem w workach lub strzykawkach. Tego typu informacje są dostępne na ekranie „Stabilność w mieszaninie”.
Związek Rozpuszczalnik Bibliografia
Opady po 1 godzinie Niekompatybilny
Injekcje Dacarbazine 4 mg/ml
Injekcje Allopurinol sodium 3 mg/ml
Chlorek sodu 0,9% 307
Zgodny
Injekcje Dacarbazine 4 mg/ml
Injekcje Amifostine 10 mg/ml
Glukoza 5% 3
Zgodny
Injekcje Dacarbazine 4 mg/ml
Injekcje Aztreonam 40 mg/ml
Glukoza 5% 99
Zgodny
Injekcje Dacarbazine 4 mg/ml
Injekcje Doxorubicin hydrochloride liposome peg 0.4 mg/ml
Glukoza 5% 251
Zgodny
Injekcje Dacarbazine 4 mg/ml
Injekcje Etoposide phosphate 5 mg/ml
Glukoza 5% 1410
Zgodny
Injekcje Dacarbazine 4 mg/ml
Injekcje Filgrastim 30 µg/ml
Glukoza 5% 244
Zgodny
Injekcje Dacarbazine 4 mg/ml
Injekcje Fludarabine phosphate 1 mg/ml
Glukoza 5% 492
Zgodny
Injekcje Dacarbazine 1.7 mg/ml
Injekcje Granisetron hydrochloride 1 mg/ml
Chlorek sodu 0,9% 57
Nieokreślona niezgodność Niekompatybilny
Injekcje Dacarbazine
Injekcje Heparin sodium
3540
Natychmiastowe opady Niekompatybilny
Injekcje Dacarbazine 25 mg/ml
Injekcje Heparin sodium 100 UI/ml
Chlorek sodu 0,9% 860
Zgodny
Injekcje Dacarbazine 4 mg/ml
Injekcje Melphalan 0.1 mg/ml
Chlorek sodu 0,9% 169
Zgodny
Injekcje Dacarbazine 3 mg/ml
Injekcje Ondansetron hydrochloride 0,03 mg/ml
Glukoza 5% 184
Zgodny
Injekcje Dacarbazine
Glukoza 5% 3605
Nieokreślona niezgodność Niekompatybilny
Injekcje Dacarbazine
Injekcje Heparin sodium
3267
Nieokreślona niezgodność Niekompatybilny
Injekcje Dacarbazine
Injekcje Heparin sodium
3605
Nieokreślona niezgodność Niekompatybilny
Injekcje Dacarbazine
Injekcje Hydrocortisone sodium succinate
3267
Nieokreślona niezgodność Niekompatybilny
Injekcje Dacarbazine
Injekcje Hydrocortisone sodium succinate
3605
Zgodny
Injekcje Dacarbazine 1 mg/ml
Injekcje Ondansetron hydrochloride 0,03 mg/ml
Glukoza 5% 184
Zgodny
Injekcje Dacarbazine 3 mg/ml
Injekcje Ondansetron hydrochloride 0,3 mg/ml
Glukoza 5% 184
Zgodny
Injekcje Dacarbazine 1 mg/ml
Injekcje Ondansetron hydrochloride 0,3 mg/ml
Glukoza 5% 184
Natychmiastowe opady Niekompatybilny
Injekcje Dacarbazine 4 mg/ml
Injekcje Piperacillin sodium / tazobactam 40/5 mg/ml
Glukoza 5% 81
Zgodny
Injekcje Dacarbazine
Chlorek sodu 0,9% 3605
Zgodny
Injekcje Dacarbazine 4 mg/ml
Injekcje Ondansetron hydrochloride 1 mg/ml
Chlorek sodu 0,9% 334
Zgodny
Injekcje Dacarbazine 4 mg/ml
Injekcje Paclitaxel 1.2 mg/ml
Glukoza 5% 248
Zgodny
Injekcje Dacarbazine 4 mg/ml
Injekcje Palonosetron hydrochloride 50 µg/ml
Glukoza 5% 2107
Zgodny
Injekcje Dacarbazine 4 mg/ml
Injekcje Sargramostim 10 µg/ml
Chlorek sodu 0,9% 335
Nieokreślona niezgodność Niekompatybilny
Injekcje Dacarbazine
Injekcje Sodium bicarbonate
3605
Nieokreślona niezgodność Niekompatybilny
Injekcje Dacarbazine
Injekcje Sodium bicarbonate
3267
Zgodny
Injekcje Dacarbazine 4 mg/ml
Injekcje Teniposide 0.1 mg/ml
Glukoza 5% 905
Zgodny
Injekcje Dacarbazine 4 mg/ml
Injekcje Thiotepa 1 mg/ml
Glukoza 5% 249
Zgodny
Injekcje Dacarbazine 4 mg/ml
Injekcje Vinorelbine tartrate 1 mg/ml
Chlorek sodu 0,9% 84
Nieokreślona niezgodność Niekompatybilny
Injekcje Dacarbazine
NaHCO3 3605

  Mentions Légales