Τελευταία ενημέρωση :
18/03/2026
φάρμακο κατά του καρκίνου   Dacarbazine  
Ενέσιμο
Σταθερότητα διαλυμάτων Σταθερότητα σε μίγματα Παράγοντας που επηρεάζει τη σταθερότητα Συμβατότητες Τρόπος χορήγησης Βιβλιογραφία pdf
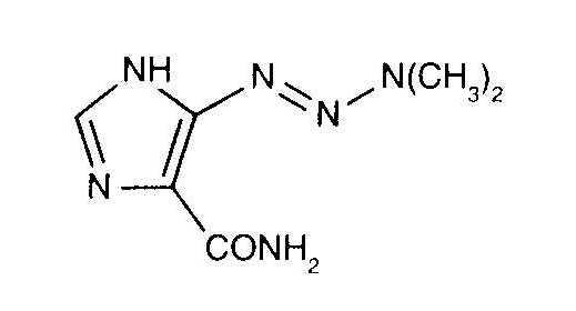
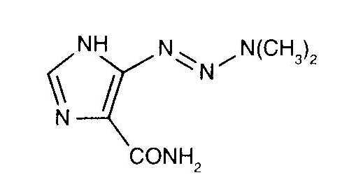
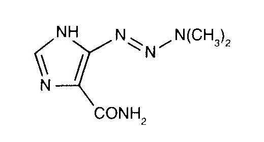
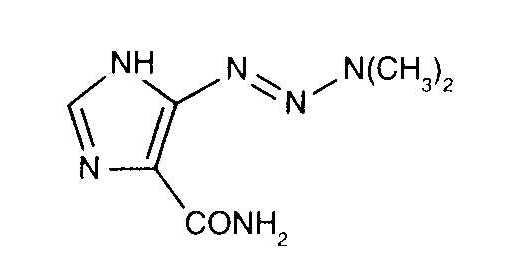
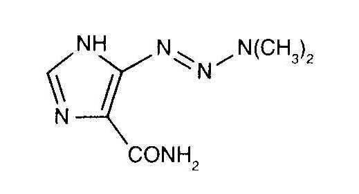
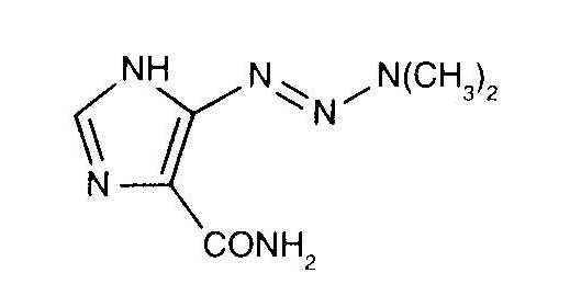
   χημική δομή  

Εμπορική ονομασία   Εμπορική ονομασία     

Οι εμπορικές ονομασίες είναι ενδεικτικές και η σύνθεση των εκδόχων μπορεί να διαφέρει ανάλογα με τη χώρα και τα εργαστήρια

Acocarb Μεξικό
Celdaz Ινδία, Περού
Dabaz Βραζιλία, Ινδία
Dacarba Ινδία
Dacarbazin Αυστρία, Μαλαισία, Ουγγαρία, Πολωνία
Dacarbazina Αργεντινή, Βραζιλία, Εκουαδόρ, Ισπανία, Ιταλία, Κολομβία, Μεξικό, Περού, Χιλή
Dacarbazine Αυστραλία, Βέλγιο, Δανία, Η.Π.Α., Ινδία, Ιράν, Ιρλανδία, Καναδάς, Μεγάλη Βρετανία, νέα Ζηλανδία, Σουηδία
Dacarex Ινδία
Dacarin Ινδία
Dacarpalm Περού
Dacarzine Ινδία
Dacin Ελβετία, Σλοβενία
Dacmed Ινδία
Daracina Κολομβία
Deticene Γαλλία, Ελλάδα, Ολλανδία, Πορτογαλία, Σαουδική Αραβία
Detimedac Γερμανία, Κολομβία, Ρουμανία, Τυνησία
DTIC Αυστρία, Η.Π.Α., νέα Ζηλανδία
Fauldetic Πορτογαλία
Oncocarbil Αργεντινή, Εκουαδόρ, Περού
Tiferomed Μεξικό
Συμβατότητες    Ενέσιμο   Συμβατότητες : Dacarbazine              
Σε αυτή την οθόνη εμφανίζονται οι συμβατότητες ή ασυμβατότητες. Σε αυτή την περίπτωση εμφανίζονται το είδος της ασυμβατότητας (ίζημα, αλλαγή χρώματος, μεταβολή γαλακτώματος, κλπ). Οι συμβατότητες που παρουσιάζονται εδώ είναι κυρίως φυσικές, ενώ η χημική σταθερότητα κάθε μορίου σπάνια περιλαμβάνεται. Η αξιολόγηση αυτών των μιγμάτων μελετήθηκε προκειμένου να εκτιμηθεί η πιθανότητα χορήγησης στον ασθενή στο Υ κέντρο. Τα δεδομένα αυτά δεν μπορούν να χρησιμοποιηθούν για την εκ των προτέρων δημιουργία μιγμάτων σε ασκούς ή σύριγγες. Αυτό το είδος πληροφορίας υπάρχει και μπορεί να αναζητηθεί στην οθόνη «Σταθερότητα σε μίγμα».
Συστατικό Διαλυτικό Βιβλιογραφία
Καταβύθιση μετά από 1 ώρα Ασύμβατες
Ενέσιμο Dacarbazine 4 mg/ml
Ενέσιμο Allopurinol sodium 3 mg/ml
Χλωριούχο νάτριο 0,9% 307
Σύμφωνος
Ενέσιμο Dacarbazine 4 mg/ml
Ενέσιμο Amifostine 10 mg/ml
Γλυκόζη 5% 3
Σύμφωνος
Ενέσιμο Dacarbazine 4 mg/ml
Ενέσιμο Aztreonam 40 mg/ml
Γλυκόζη 5% 99
Σύμφωνος
Ενέσιμο Dacarbazine 4 mg/ml
Ενέσιμο Doxorubicin hydrochloride liposome peg 0.4 mg/ml
Γλυκόζη 5% 251
Σύμφωνος
Ενέσιμο Dacarbazine 4 mg/ml
Ενέσιμο Etoposide phosphate 5 mg/ml
Γλυκόζη 5% 1410
Σύμφωνος
Ενέσιμο Dacarbazine 4 mg/ml
Ενέσιμο Filgrastim 30 µg/ml
Γλυκόζη 5% 244
Σύμφωνος
Ενέσιμο Dacarbazine 4 mg/ml
Ενέσιμο Fludarabine phosphate 1 mg/ml
Γλυκόζη 5% 492
Σύμφωνος
Ενέσιμο Dacarbazine 1.7 mg/ml
Ενέσιμο Granisetron hydrochloride 1 mg/ml
Χλωριούχο νάτριο 0,9% 57
Απροσδιόριστη ασυμβατότητα Ασύμβατες
Ενέσιμο Dacarbazine
Ενέσιμο Heparin sodium
3540
Άμεση βροχόπτωση Ασύμβατες
Ενέσιμο Dacarbazine 25 mg/ml
Ενέσιμο Heparin sodium 100 UI/ml
Χλωριούχο νάτριο 0,9% 860
Σύμφωνος
Ενέσιμο Dacarbazine 4 mg/ml
Ενέσιμο Melphalan 0.1 mg/ml
Χλωριούχο νάτριο 0,9% 169
Σύμφωνος
Ενέσιμο Dacarbazine 3 mg/ml
Ενέσιμο Ondansetron hydrochloride 0,03 mg/ml
Γλυκόζη 5% 184
Σύμφωνος
Ενέσιμο Dacarbazine
Γλυκόζη 5% 3605
Απροσδιόριστη ασυμβατότητα Ασύμβατες
Ενέσιμο Dacarbazine
Ενέσιμο Heparin sodium
3267
Απροσδιόριστη ασυμβατότητα Ασύμβατες
Ενέσιμο Dacarbazine
Ενέσιμο Heparin sodium
3605
Απροσδιόριστη ασυμβατότητα Ασύμβατες
Ενέσιμο Dacarbazine
Ενέσιμο Hydrocortisone sodium succinate
3267
Απροσδιόριστη ασυμβατότητα Ασύμβατες
Ενέσιμο Dacarbazine
Ενέσιμο Hydrocortisone sodium succinate
3605
Σύμφωνος
Ενέσιμο Dacarbazine 1 mg/ml
Ενέσιμο Ondansetron hydrochloride 0,03 mg/ml
Γλυκόζη 5% 184
Σύμφωνος
Ενέσιμο Dacarbazine 3 mg/ml
Ενέσιμο Ondansetron hydrochloride 0,3 mg/ml
Γλυκόζη 5% 184
Σύμφωνος
Ενέσιμο Dacarbazine 1 mg/ml
Ενέσιμο Ondansetron hydrochloride 0,3 mg/ml
Γλυκόζη 5% 184
Άμεση βροχόπτωση Ασύμβατες
Ενέσιμο Dacarbazine 4 mg/ml
Ενέσιμο Piperacillin sodium / tazobactam 40/5 mg/ml
Γλυκόζη 5% 81
Σύμφωνος
Ενέσιμο Dacarbazine
Χλωριούχο νάτριο 0,9% 3605
Σύμφωνος
Ενέσιμο Dacarbazine 4 mg/ml
Ενέσιμο Ondansetron hydrochloride 1 mg/ml
Χλωριούχο νάτριο 0,9% 334
Σύμφωνος
Ενέσιμο Dacarbazine 4 mg/ml
Ενέσιμο Paclitaxel 1.2 mg/ml
Γλυκόζη 5% 248
Σύμφωνος
Ενέσιμο Dacarbazine 4 mg/ml
Ενέσιμο Palonosetron hydrochloride 50 µg/ml
Γλυκόζη 5% 2107
Σύμφωνος
Ενέσιμο Dacarbazine 4 mg/ml
Ενέσιμο Sargramostim 10 µg/ml
Χλωριούχο νάτριο 0,9% 335
Απροσδιόριστη ασυμβατότητα Ασύμβατες
Ενέσιμο Dacarbazine
Ενέσιμο Sodium bicarbonate
3605
Απροσδιόριστη ασυμβατότητα Ασύμβατες
Ενέσιμο Dacarbazine
Ενέσιμο Sodium bicarbonate
3267
Σύμφωνος
Ενέσιμο Dacarbazine 4 mg/ml
Ενέσιμο Teniposide 0.1 mg/ml
Γλυκόζη 5% 905
Σύμφωνος
Ενέσιμο Dacarbazine 4 mg/ml
Ενέσιμο Thiotepa 1 mg/ml
Γλυκόζη 5% 249
Σύμφωνος
Ενέσιμο Dacarbazine 4 mg/ml
Ενέσιμο Vinorelbine tartrate 1 mg/ml
Χλωριούχο νάτριο 0,9% 84
Απροσδιόριστη ασυμβατότητα Ασύμβατες
Ενέσιμο Dacarbazine
NaHCO3 3605

  Mentions Légales