Son güncelleme :
27/11/2025
kanser ilaç   Dacarbazine  
Enjeksiyon
Çözeltilerin stabilitesi Karışımlardaki stabilitesi Stabiliteyi etkileyen faktörler Uyumluluk Uygulama yöntemi Kaynaklar pdf
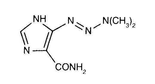
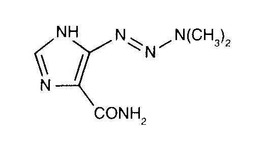
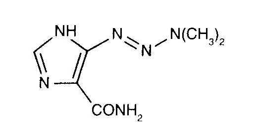
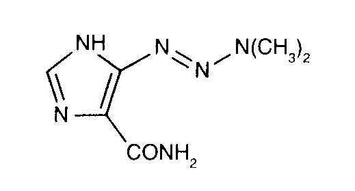
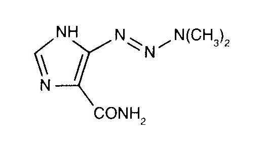
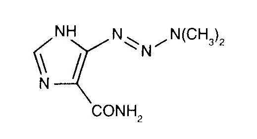
   Kimyasal yapı   

Ticari isim   Ticari isim     

Trade names are indicative and excipients composition can be different depending on the country and manufacturers

Acocarb Meksika
Celdaz Hindistan, Peru
Dabaz Brezilya, Hindistan
Dacarba Hindistan
Dacarbazin Avusturya, Macaristan, Malezya, Polonya
Dacarbazina Arjantin, Brezilya, Ekvador, İspanya, İtalya, Kolombiya, Meksika, Peru, Şili
Dacarbazine Amerika Birleşik Devletleri, Avustralya, Belçika, Büyük Britanya, Danimarka, Hindistan, İran, İrlanda, İsveç, Kanada, yeni Zelanda
Dacarex Hindistan
Dacarin Hindistan
Dacarpalm Peru
Dacarzine Hindistan
Dacin İsviçre, Slovenya
Dacmed Hindistan
Daracina Kolombiya
Deticene Fransa, Hollanda, Portekiz, Suudi Arabistan, Yunanistan
Detimedac Almanya, Kolombiya, Romanya, Tunus
DTIC Amerika Birleşik Devletleri, Avusturya, yeni Zelanda
Fauldetic Portekiz
Oncocarbil Arjantin, Ekvador, Peru
Tiferomed Meksika
Uyumluluk   Enjeksiyon    Uyumluluk : Dacarbazine              
Bu ekran, bu durumda uyumsuzluk tipiyle (çökelme, renk değişimi, bir emülsiyonun modifikasyonu, vb.) Uyumlulukları veya uyumsuzlukları gösterir. Burada gösterilen uyumluluklar çoğunlukla yalnızca fizikseldir ve her molekülün kimyasal stabilitesi nadiren değerlendirilir. Bu karışımların değerlendirilmesi, hastaya Y bölgesi uygulama olasılığını göz önünde bulundurmak için çalışıldı. Bu veriler önceden torba veya şırıngalarda karışım yapmak için kullanılamaz. Bu tür bilgiler "Karışımda stabilite" ekranında mevcuttur.
Bileşik Çözücü Kaynaklar
1 saat sonra yağış uyumsuz
Enjeksiyon Dacarbazine 4 mg/ml
Enjeksiyon Allopurinol sodium 3 mg/ml
Sodyum klorür % 0,9 307
Uyumlu
Enjeksiyon Dacarbazine 4 mg/ml
Enjeksiyon Amifostine 10 mg/ml
Glukoz %5 3
Uyumlu
Enjeksiyon Dacarbazine 4 mg/ml
Enjeksiyon Aztreonam 40 mg/ml
Glukoz %5 99
Uyumlu
Enjeksiyon Dacarbazine 4 mg/ml
Enjeksiyon Doxorubicin hydrochloride liposome peg 0.4 mg/ml
Glukoz %5 251
Uyumlu
Enjeksiyon Dacarbazine 4 mg/ml
Enjeksiyon Etoposide phosphate 5 mg/ml
Glukoz %5 1410
Uyumlu
Enjeksiyon Dacarbazine 4 mg/ml
Enjeksiyon Filgrastim 30 µg/ml
Glukoz %5 244
Uyumlu
Enjeksiyon Dacarbazine 4 mg/ml
Enjeksiyon Fludarabine phosphate 1 mg/ml
Glukoz %5 492
Uyumlu
Enjeksiyon Dacarbazine 1.7 mg/ml
Enjeksiyon Granisetron hydrochloride 1 mg/ml
Sodyum klorür % 0,9 57
Belirtilmemiş uyumsuzluk uyumsuz
Enjeksiyon Dacarbazine
Enjeksiyon Heparin sodium
3540
Acil yağış uyumsuz
Enjeksiyon Dacarbazine 25 mg/ml
Enjeksiyon Heparin sodium 100 UI/ml
Sodyum klorür % 0,9 860
Uyumlu
Enjeksiyon Dacarbazine 4 mg/ml
Enjeksiyon Melphalan 0.1 mg/ml
Sodyum klorür % 0,9 169
Uyumlu
Enjeksiyon Dacarbazine 3 mg/ml
Enjeksiyon Ondansetron hydrochloride 0,03 mg/ml
Glukoz %5 184
Uyumlu
Enjeksiyon Dacarbazine
Glukoz %5 3605
Belirtilmemiş uyumsuzluk uyumsuz
Enjeksiyon Dacarbazine
Enjeksiyon Heparin sodium
3267
Belirtilmemiş uyumsuzluk uyumsuz
Enjeksiyon Dacarbazine
Enjeksiyon Heparin sodium
3605
Belirtilmemiş uyumsuzluk uyumsuz
Enjeksiyon Dacarbazine
Enjeksiyon Hydrocortisone sodium succinate
3267
Belirtilmemiş uyumsuzluk uyumsuz
Enjeksiyon Dacarbazine
Enjeksiyon Hydrocortisone sodium succinate
3605
Uyumlu
Enjeksiyon Dacarbazine 1 mg/ml
Enjeksiyon Ondansetron hydrochloride 0,03 mg/ml
Glukoz %5 184
Uyumlu
Enjeksiyon Dacarbazine 3 mg/ml
Enjeksiyon Ondansetron hydrochloride 0,3 mg/ml
Glukoz %5 184
Uyumlu
Enjeksiyon Dacarbazine 1 mg/ml
Enjeksiyon Ondansetron hydrochloride 0,3 mg/ml
Glukoz %5 184
Acil yağış uyumsuz
Enjeksiyon Dacarbazine 4 mg/ml
Enjeksiyon Piperacillin sodium / tazobactam 40/5 mg/ml
Glukoz %5 81
Uyumlu
Enjeksiyon Dacarbazine
Sodyum klorür % 0,9 3605
Uyumlu
Enjeksiyon Dacarbazine 4 mg/ml
Enjeksiyon Ondansetron hydrochloride 1 mg/ml
Sodyum klorür % 0,9 334
Uyumlu
Enjeksiyon Dacarbazine 4 mg/ml
Enjeksiyon Paclitaxel 1.2 mg/ml
Glukoz %5 248
Uyumlu
Enjeksiyon Dacarbazine 4 mg/ml
Enjeksiyon Palonosetron hydrochloride 50 µg/ml
Glukoz %5 2107
Uyumlu
Enjeksiyon Dacarbazine 4 mg/ml
Enjeksiyon Sargramostim 10 µg/ml
Sodyum klorür % 0,9 335
Belirtilmemiş uyumsuzluk uyumsuz
Enjeksiyon Dacarbazine
Enjeksiyon Sodium bicarbonate
3605
Belirtilmemiş uyumsuzluk uyumsuz
Enjeksiyon Dacarbazine
Enjeksiyon Sodium bicarbonate
3267
Uyumlu
Enjeksiyon Dacarbazine 4 mg/ml
Enjeksiyon Teniposide 0.1 mg/ml
Glukoz %5 905
Uyumlu
Enjeksiyon Dacarbazine 4 mg/ml
Enjeksiyon Thiotepa 1 mg/ml
Glukoz %5 249
Uyumlu
Enjeksiyon Dacarbazine 4 mg/ml
Enjeksiyon Vinorelbine tartrate 1 mg/ml
Sodyum klorür % 0,9 84
Belirtilmemiş uyumsuzluk uyumsuz
Enjeksiyon Dacarbazine
NaHCO3 3605

  Mentions Légales