Ultimele actualizari :
18/03/2026
Citostatic   Dacarbazine  
Injectabil
Stabilitatea in solutie Stabilitatea in amestec Factorii care influenteaza stabilitatea Compatibilitate Microunde Bibliografie pdf
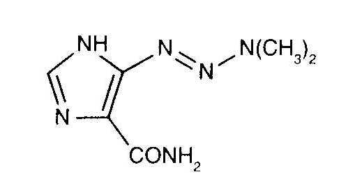
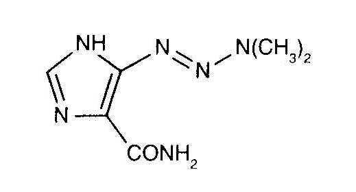
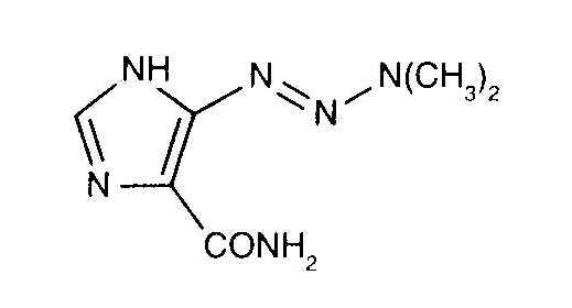
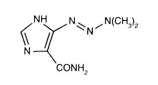
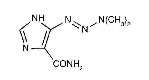
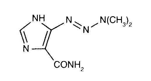
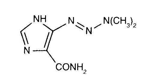
   Formula chimica  

Denumirea comerciala   Denumirea comerciala     

Trade names are indicative and excipients composition can be different depending on the country and manufacturers

Acocarb Mexic
Celdaz India, Peru
Dabaz Brazilia, India
Dacarba India
Dacarbazin Austria, Malaezia, Polonia, Ungaria
Dacarbazina Argentina, Brazilia, Chilli, Columbia, Ecuador, Italia, Mexic, Peru, Spania
Dacarbazine Australia, Belgia, Canada, Danemarca, India, Iran, Irlanda, Marea Britanie, noua Zeelandă, SUA, Suedia
Dacarex India
Dacarin India
Dacarpalm Peru
Dacarzine India
Dacin Elvetia, Slovenia
Dacmed India
Daracina Columbia
Deticene Arabia Saudita, Franta, Grecia, Olanda, Portugalia
Detimedac Columbia, Germania, Romania, Tunisia
DTIC Austria, noua Zeelandă, SUA
Fauldetic Portugalia
Oncocarbil Argentina, Ecuador, Peru
Tiferomed Mexic
Compatibilitate   Injectabil   Compatibilitate : Dacarbazine              
Acest ecran indică compatibilitățile sau incompatibilitățile cu, în acest caz, tipul de incompatibilitate (precipitații, schimbarea culorii, modificarea unei emulsii etc.). Compatibilitățile prezentate aici sunt în mare parte numai fizice, stabilitatea chimică a fiecărei molecule fiind rareori evaluată. Evaluarea acestor amestecuri a fost studiată pentru a lua în considerare posibilitatea administrării site-ului Y la pacient. Aceste date nu pot fi utilizate pentru prepararea în prealabil a amestecurilor în pungi sau seringi. Acest tip de informații este disponibil în ecranul „Stabilitate în amestec».
Molecula (substanta activa) Solvent Bibiografie
Precipitații după 1 oră Incompatibil
Injectabil Dacarbazine 4 mg/ml
Injectabil Allopurinol sodium 3 mg/ml
clorura de sodiu 0,9% 307
Compatibil
Injectabil Dacarbazine 4 mg/ml
Injectabil Amifostine 10 mg/ml
Glucoza 5% 3
Compatibil
Injectabil Dacarbazine 4 mg/ml
Injectabil Aztreonam 40 mg/ml
Glucoza 5% 99
Compatibil
Injectabil Dacarbazine 4 mg/ml
Injectabil Doxorubicin hydrochloride liposome peg 0.4 mg/ml
Glucoza 5% 251
Compatibil
Injectabil Dacarbazine 4 mg/ml
Injectabil Etoposide phosphate 5 mg/ml
Glucoza 5% 1410
Compatibil
Injectabil Dacarbazine 4 mg/ml
Injectabil Filgrastim 30 µg/ml
Glucoza 5% 244
Compatibil
Injectabil Dacarbazine 4 mg/ml
Injectabil Fludarabine phosphate 1 mg/ml
Glucoza 5% 492
Compatibil
Injectabil Dacarbazine 1.7 mg/ml
Injectabil Granisetron hydrochloride 1 mg/ml
clorura de sodiu 0,9% 57
Incompatibilitate nespecificată Incompatibil
Injectabil Dacarbazine
Injectabil Heparin sodium
3540
Precipitații imediate Incompatibil
Injectabil Dacarbazine 25 mg/ml
Injectabil Heparin sodium 100 UI/ml
clorura de sodiu 0,9% 860
Compatibil
Injectabil Dacarbazine 4 mg/ml
Injectabil Melphalan 0.1 mg/ml
clorura de sodiu 0,9% 169
Compatibil
Injectabil Dacarbazine 3 mg/ml
Injectabil Ondansetron hydrochloride 0,03 mg/ml
Glucoza 5% 184
Compatibil
Injectabil Dacarbazine
Glucoza 5% 3605
Incompatibilitate nespecificată Incompatibil
Injectabil Dacarbazine
Injectabil Heparin sodium
3267
Incompatibilitate nespecificată Incompatibil
Injectabil Dacarbazine
Injectabil Heparin sodium
3605
Incompatibilitate nespecificată Incompatibil
Injectabil Dacarbazine
Injectabil Hydrocortisone sodium succinate
3267
Incompatibilitate nespecificată Incompatibil
Injectabil Dacarbazine
Injectabil Hydrocortisone sodium succinate
3605
Compatibil
Injectabil Dacarbazine 1 mg/ml
Injectabil Ondansetron hydrochloride 0,03 mg/ml
Glucoza 5% 184
Compatibil
Injectabil Dacarbazine 3 mg/ml
Injectabil Ondansetron hydrochloride 0,3 mg/ml
Glucoza 5% 184
Compatibil
Injectabil Dacarbazine 1 mg/ml
Injectabil Ondansetron hydrochloride 0,3 mg/ml
Glucoza 5% 184
Precipitații imediate Incompatibil
Injectabil Dacarbazine 4 mg/ml
Injectabil Piperacillin sodium / tazobactam 40/5 mg/ml
Glucoza 5% 81
Compatibil
Injectabil Dacarbazine
clorura de sodiu 0,9% 3605
Compatibil
Injectabil Dacarbazine 4 mg/ml
Injectabil Ondansetron hydrochloride 1 mg/ml
clorura de sodiu 0,9% 334
Compatibil
Injectabil Dacarbazine 4 mg/ml
Injectabil Paclitaxel 1.2 mg/ml
Glucoza 5% 248
Compatibil
Injectabil Dacarbazine 4 mg/ml
Injectabil Palonosetron hydrochloride 50 µg/ml
Glucoza 5% 2107
Compatibil
Injectabil Dacarbazine 4 mg/ml
Injectabil Sargramostim 10 µg/ml
clorura de sodiu 0,9% 335
Incompatibilitate nespecificată Incompatibil
Injectabil Dacarbazine
Injectabil Sodium bicarbonate
3605
Incompatibilitate nespecificată Incompatibil
Injectabil Dacarbazine
Injectabil Sodium bicarbonate
3267
Compatibil
Injectabil Dacarbazine 4 mg/ml
Injectabil Teniposide 0.1 mg/ml
Glucoza 5% 905
Compatibil
Injectabil Dacarbazine 4 mg/ml
Injectabil Thiotepa 1 mg/ml
Glucoza 5% 249
Compatibil
Injectabil Dacarbazine 4 mg/ml
Injectabil Vinorelbine tartrate 1 mg/ml
clorura de sodiu 0,9% 84
Incompatibilitate nespecificată Incompatibil
Injectabil Dacarbazine
NaHCO3 3605

  Mentions Légales