Letztes “update” :
18/03/2026
Antikrebsmittel   Dacarbazine  
Injektion
Stabilität der Lösung Gemengestabilität Stabilitätbeeinflussende Faktoren Kompatibilitäten Applikationsart Literaturverzeichnis pdf
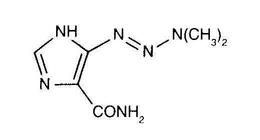
   Chemische Struktur  

Handelsmarke   Handelsmarke     

Handelsnamen sind als beispielhaft anzusehen. Sonstige Bestandteile können je nach Hersteller oder Land verschieden sein

Acocarb Mexiko
Celdaz Indien, Peru
Dabaz Brasilien, Indien
Dacarba Indien
Dacarbazin Malaysia, Österreich, Polen, Ungarn
Dacarbazina Argentinien, Brasilien, Chile, Ecuador, Italien, Kolumbien, Mexiko, Peru, Spanien
Dacarbazine Australien, Belgien, Dänemark, Großbritannien, Indien, Iran, Irland, Kanada, Neuseeland, Schweden, Vereinigte Staaten von Amerika
Dacarex Indien
Dacarin Indien
Dacarpalm Peru
Dacarzine Indien
Dacin Schweiz, Slowenien
Dacmed Indien
Daracina Kolumbien
Deticene Frankreich, Griechenland, Niederlande, Portugal, Saudi-Arabien
Detimedac Deutschland, Kolumbien, Rumänien, Tunesien
DTIC Neuseeland, Österreich, Vereinigte Staaten von Amerika
Fauldetic Portugal
Oncocarbil Argentinien, Ecuador, Peru
Tiferomed Mexiko
Kompatibilitäten   Injektion   Kompatibilitäten : Dacarbazine              
Dieser Bildschirm zeigt die Kompatibilitäten oder Inkompatibilitäten mit der Art der Inkompatibilität (hier: Ausfällung, Farbänderung, Modifikation einer Emulsion usw.) an. Die hier gezeigten Kompatibilitäten sind meist nur physikalisch, wobei die chemische Stabilität jedes Moleküls selten bewertet wird. Die Bewertung dieser Gemische wurde untersucht, um die Möglichkeit einer Verabreichung über eine Y-Verbindung zu berücksichtigen. Diese Daten können daher nicht zur Herstellung von Mischungen im Voraus in Beuteln oder Spritzen verwendet werden. Sie finden diese Informationen auf dem Bildschirm "Stabilität in Mischung».
Molekül Lösungsmittel Literaturverzeichnis
Niederschlag nach 1 Stunde nicht kompatibel
Injektion Dacarbazine 4 mg/ml
Injektion Allopurinol sodium 3 mg/ml
0,9% Natriumchlorid 307
kompatibel
Injektion Dacarbazine 4 mg/ml
Injektion Amifostine 10 mg/ml
5% Glucose 3
kompatibel
Injektion Dacarbazine 4 mg/ml
Injektion Aztreonam 40 mg/ml
5% Glucose 99
kompatibel
Injektion Dacarbazine 4 mg/ml
Injektion Doxorubicin hydrochloride liposome peg 0.4 mg/ml
5% Glucose 251
kompatibel
Injektion Dacarbazine 4 mg/ml
Injektion Etoposide phosphate 5 mg/ml
5% Glucose 1410
kompatibel
Injektion Dacarbazine 4 mg/ml
Injektion Filgrastim 30 µg/ml
5% Glucose 244
kompatibel
Injektion Dacarbazine 4 mg/ml
Injektion Fludarabine phosphate 1 mg/ml
5% Glucose 492
kompatibel
Injektion Dacarbazine 1.7 mg/ml
Injektion Granisetron hydrochloride 1 mg/ml
0,9% Natriumchlorid 57
Nicht spezifizierte Inkompatibilität nicht kompatibel
Injektion Dacarbazine
Injektion Heparin sodium
3540
Sofortiger Niederschlag nicht kompatibel
Injektion Dacarbazine 25 mg/ml
Injektion Heparin sodium 100 UI/ml
0,9% Natriumchlorid 860
kompatibel
Injektion Dacarbazine 4 mg/ml
Injektion Melphalan 0.1 mg/ml
0,9% Natriumchlorid 169
kompatibel
Injektion Dacarbazine 3 mg/ml
Injektion Ondansetron hydrochloride 0,03 mg/ml
5% Glucose 184
kompatibel
Injektion Dacarbazine
5% Glucose 3605
Nicht spezifizierte Inkompatibilität nicht kompatibel
Injektion Dacarbazine
Injektion Heparin sodium
3267
Nicht spezifizierte Inkompatibilität nicht kompatibel
Injektion Dacarbazine
Injektion Heparin sodium
3605
Nicht spezifizierte Inkompatibilität nicht kompatibel
Injektion Dacarbazine
Injektion Hydrocortisone sodium succinate
3267
Nicht spezifizierte Inkompatibilität nicht kompatibel
Injektion Dacarbazine
Injektion Hydrocortisone sodium succinate
3605
kompatibel
Injektion Dacarbazine 1 mg/ml
Injektion Ondansetron hydrochloride 0,03 mg/ml
5% Glucose 184
kompatibel
Injektion Dacarbazine 3 mg/ml
Injektion Ondansetron hydrochloride 0,3 mg/ml
5% Glucose 184
kompatibel
Injektion Dacarbazine 1 mg/ml
Injektion Ondansetron hydrochloride 0,3 mg/ml
5% Glucose 184
Sofortiger Niederschlag nicht kompatibel
Injektion Dacarbazine 4 mg/ml
Injektion Piperacillin sodium / tazobactam 40/5 mg/ml
5% Glucose 81
kompatibel
Injektion Dacarbazine
0,9% Natriumchlorid 3605
kompatibel
Injektion Dacarbazine 4 mg/ml
Injektion Ondansetron hydrochloride 1 mg/ml
0,9% Natriumchlorid 334
kompatibel
Injektion Dacarbazine 4 mg/ml
Injektion Paclitaxel 1.2 mg/ml
5% Glucose 248
kompatibel
Injektion Dacarbazine 4 mg/ml
Injektion Palonosetron hydrochloride 50 µg/ml
5% Glucose 2107
kompatibel
Injektion Dacarbazine 4 mg/ml
Injektion Sargramostim 10 µg/ml
0,9% Natriumchlorid 335
Nicht spezifizierte Inkompatibilität nicht kompatibel
Injektion Dacarbazine
Injektion Sodium bicarbonate
3605
Nicht spezifizierte Inkompatibilität nicht kompatibel
Injektion Dacarbazine
Injektion Sodium bicarbonate
3267
kompatibel
Injektion Dacarbazine 4 mg/ml
Injektion Teniposide 0.1 mg/ml
5% Glucose 905
kompatibel
Injektion Dacarbazine 4 mg/ml
Injektion Thiotepa 1 mg/ml
5% Glucose 249
kompatibel
Injektion Dacarbazine 4 mg/ml
Injektion Vinorelbine tartrate 1 mg/ml
0,9% Natriumchlorid 84
Nicht spezifizierte Inkompatibilität nicht kompatibel
Injektion Dacarbazine
NaHCO3 3605

  Mentions Légales