Poslední aktualizace :
18/03/2026
vėžio narkotikų   Dacarbazine  
Įpurškimas
Tirpalų stabilumas Mišinių stabilumas Stabilumą lemiantys veiksniai Suderinamumas Leidimo būdai Bibliografija pdf
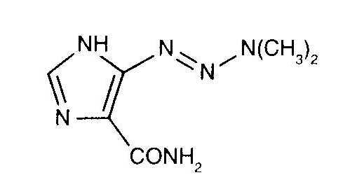
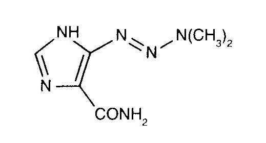
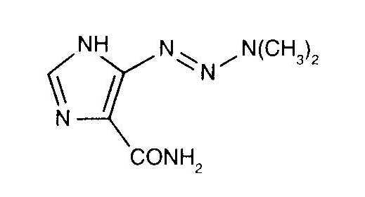
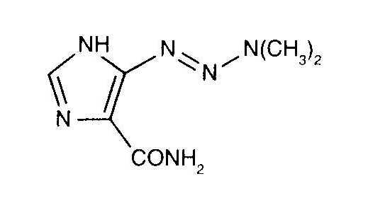
   Cheminė sandara  

Prekinis pavadinimas   Prekinis pavadinimas     

Trade names are indicative and excipients composition can be different depending on the country and manufacturers

Acocarb Meksikas
Celdaz Indija, Peru
Dabaz Brazilija, Indija
Dacarba Indija
Dacarbazin Austrija, Lenkija, Malaizija, Vengrija
Dacarbazina Argentina, Brazilija, Čilė, Ekvadoras, Ispanija, Italija, Kolumbija, Meksikas, Peru
Dacarbazine Airija, Australija, Belgija, Danija, Didžioji Britanija, Indija, Iranas, Jungtinės Amerikos Valstijos, Kanada, Naujojoje Zelandijoje, Švedija
Dacarex Indija
Dacarin Indija
Dacarpalm Peru
Dacarzine Indija
Dacin Slovėnija, Šveicarija
Dacmed Indija
Daracina Kolumbija
Deticene Graikija, Olandija, Portugalija, Prancūzija, Saudo Arabija
Detimedac Kolumbija, Rumunija, Tunisas, Vokietija
DTIC Austrija, Jungtinės Amerikos Valstijos, Naujojoje Zelandijoje
Fauldetic Portugalija
Oncocarbil Argentina, Ekvadoras, Peru
Tiferomed Meksikas
Suderinamumas   Įpurškimas   Suderinamumas : Dacarbazine              
explication_incompatibilite_molecules
Molekulė Tirpiklis Nuorodos
Krituliai po 1 valandos Nesuderinamas
Įpurškimas Dacarbazine 4 mg/ml
Įpurškimas Allopurinol sodium 3 mg/ml
Natrio chloridas 0,9% 307
Suderinamas
Įpurškimas Dacarbazine 4 mg/ml
Įpurškimas Amifostine 10 mg/ml
Gliukozė 5% 3
Suderinamas
Įpurškimas Dacarbazine 4 mg/ml
Įpurškimas Aztreonam 40 mg/ml
Gliukozė 5% 99
Suderinamas
Įpurškimas Dacarbazine 4 mg/ml
Įpurškimas Doxorubicin hydrochloride liposome peg 0.4 mg/ml
Gliukozė 5% 251
Suderinamas
Įpurškimas Dacarbazine 4 mg/ml
Įpurškimas Etoposide phosphate 5 mg/ml
Gliukozė 5% 1410
Suderinamas
Įpurškimas Dacarbazine 4 mg/ml
Įpurškimas Filgrastim 30 µg/ml
Gliukozė 5% 244
Suderinamas
Įpurškimas Dacarbazine 4 mg/ml
Įpurškimas Fludarabine phosphate 1 mg/ml
Gliukozė 5% 492
Suderinamas
Įpurškimas Dacarbazine 1.7 mg/ml
Įpurškimas Granisetron hydrochloride 1 mg/ml
Natrio chloridas 0,9% 57
Nepatikslintas nesuderinamumas Nesuderinamas
Įpurškimas Dacarbazine
Įpurškimas Heparin sodium
3540
Nedelsiant krituliai Nesuderinamas
Įpurškimas Dacarbazine 25 mg/ml
Įpurškimas Heparin sodium 100 UI/ml
Natrio chloridas 0,9% 860
Suderinamas
Įpurškimas Dacarbazine 4 mg/ml
Įpurškimas Melphalan 0.1 mg/ml
Natrio chloridas 0,9% 169
Suderinamas
Įpurškimas Dacarbazine 3 mg/ml
Įpurškimas Ondansetron hydrochloride 0,03 mg/ml
Gliukozė 5% 184
Suderinamas
Įpurškimas Dacarbazine
Gliukozė 5% 3605
Nepatikslintas nesuderinamumas Nesuderinamas
Įpurškimas Dacarbazine
Įpurškimas Heparin sodium
3267
Nepatikslintas nesuderinamumas Nesuderinamas
Įpurškimas Dacarbazine
Įpurškimas Heparin sodium
3605
Nepatikslintas nesuderinamumas Nesuderinamas
Įpurškimas Dacarbazine
Įpurškimas Hydrocortisone sodium succinate
3267
Nepatikslintas nesuderinamumas Nesuderinamas
Įpurškimas Dacarbazine
Įpurškimas Hydrocortisone sodium succinate
3605
Suderinamas
Įpurškimas Dacarbazine 1 mg/ml
Įpurškimas Ondansetron hydrochloride 0,03 mg/ml
Gliukozė 5% 184
Suderinamas
Įpurškimas Dacarbazine 3 mg/ml
Įpurškimas Ondansetron hydrochloride 0,3 mg/ml
Gliukozė 5% 184
Suderinamas
Įpurškimas Dacarbazine 1 mg/ml
Įpurškimas Ondansetron hydrochloride 0,3 mg/ml
Gliukozė 5% 184
Nedelsiant krituliai Nesuderinamas
Įpurškimas Dacarbazine 4 mg/ml
Įpurškimas Piperacillin sodium / tazobactam 40/5 mg/ml
Gliukozė 5% 81
Suderinamas
Įpurškimas Dacarbazine
Natrio chloridas 0,9% 3605
Suderinamas
Įpurškimas Dacarbazine 4 mg/ml
Įpurškimas Ondansetron hydrochloride 1 mg/ml
Natrio chloridas 0,9% 334
Suderinamas
Įpurškimas Dacarbazine 4 mg/ml
Įpurškimas Paclitaxel 1.2 mg/ml
Gliukozė 5% 248
Suderinamas
Įpurškimas Dacarbazine 4 mg/ml
Įpurškimas Palonosetron hydrochloride 50 µg/ml
Gliukozė 5% 2107
Suderinamas
Įpurškimas Dacarbazine 4 mg/ml
Įpurškimas Sargramostim 10 µg/ml
Natrio chloridas 0,9% 335
Nepatikslintas nesuderinamumas Nesuderinamas
Įpurškimas Dacarbazine
Įpurškimas Sodium bicarbonate
3605
Nepatikslintas nesuderinamumas Nesuderinamas
Įpurškimas Dacarbazine
Įpurškimas Sodium bicarbonate
3267
Suderinamas
Įpurškimas Dacarbazine 4 mg/ml
Įpurškimas Teniposide 0.1 mg/ml
Gliukozė 5% 905
Suderinamas
Įpurškimas Dacarbazine 4 mg/ml
Įpurškimas Thiotepa 1 mg/ml
Gliukozė 5% 249
Suderinamas
Įpurškimas Dacarbazine 4 mg/ml
Įpurškimas Vinorelbine tartrate 1 mg/ml
Natrio chloridas 0,9% 84
Nepatikslintas nesuderinamumas Nesuderinamas
Įpurškimas Dacarbazine
NaHCO3 3605

  Mentions Légales