zadnja posodobitev :
18/03/2026
rak drog   Dacarbazine  
Brizgalka
Stabilnost raztopine Stabilnost mešanice Faktorji, ki vplivajo na stabilnost Kompatibilnost način aplikacije Viri pdf
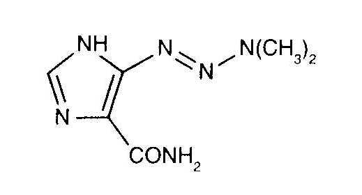
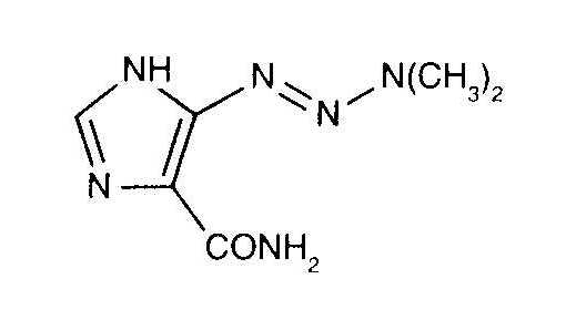
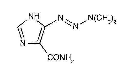
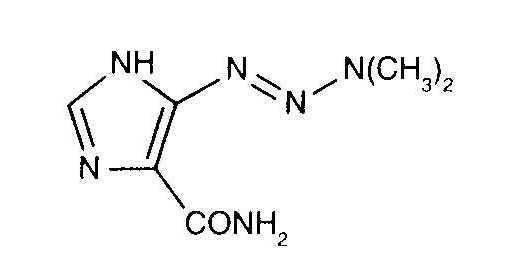
   Kemična formula  

Lastniško ime   Lastniško ime     

Sestava pomožnih snovi je med paralelami lahko različna

Acocarb Mehika
Celdaz Indija, Peru
Dabaz Brazilija, Indija
Dacarba Indija
Dacarbazin Avstrija, Madžarska, Malezija, Poljska
Dacarbazina Argentina, Brazilija, Čile, Ekvador, Italija, Kolumbija, Mehika, Peru, Španija
Dacarbazine Avstralija, Belgija, Danska, Indija, Iran, Irska, Kanada, nova Zelandija, Švedska, Velika Britanija, Združene države Amerike
Dacarex Indija
Dacarin Indija
Dacarpalm Peru
Dacarzine Indija
Dacin Slovenija, Švica
Dacmed Indija
Daracina Kolumbija
Deticene Francija, Grčija, Nizozemska, Portugalska, Savdska Arabija
Detimedac Kolumbija, Nemčija, Romunija, Tunizija
DTIC Avstrija, nova Zelandija, Združene države Amerike
Fauldetic Portugalska
Oncocarbil Argentina, Ekvador, Peru
Tiferomed Mehika
Kompatibilnost   Brizgalka   Kompatibilnost : Dacarbazine              
Ta zaslon prikazuje združljivost ali nezdružljivost s, v tem primeru, vrsto nezdružljivosti (padavine, sprememba barve, sprememba emulzije itd.). Tu prikazane združljivosti so večinoma samo fizične, pri čemer se kemijska stabilnost vsake molekule redko ocenjuje. Vrednotenje teh zmesi so preučevali, da bi preučili možnost pacientovega dajanja na mestu Y. Teh podatkov ni mogoče uporabiti za pripravo mešanic v vrečkah ali brizgah. Ta vrsta informacij je na voljo na zaslonu "Obstojnost v mešanici".
Sestava Topilo Viri
Padavine po 1 uri Nezdružljivo
Brizgalka Dacarbazine 4 mg/ml
Brizgalka Allopurinol sodium 3 mg/ml
Natrijev klorid 0,9% 307
Združljivo
Brizgalka Dacarbazine 4 mg/ml
Brizgalka Amifostine 10 mg/ml
Glukoza 5% 3
Združljivo
Brizgalka Dacarbazine 4 mg/ml
Brizgalka Aztreonam 40 mg/ml
Glukoza 5% 99
Združljivo
Brizgalka Dacarbazine 4 mg/ml
Brizgalka Doxorubicin hydrochloride liposome peg 0.4 mg/ml
Glukoza 5% 251
Združljivo
Brizgalka Dacarbazine 4 mg/ml
Brizgalka Etoposide phosphate 5 mg/ml
Glukoza 5% 1410
Združljivo
Brizgalka Dacarbazine 4 mg/ml
Brizgalka Filgrastim 30 µg/ml
Glukoza 5% 244
Združljivo
Brizgalka Dacarbazine 4 mg/ml
Brizgalka Fludarabine phosphate 1 mg/ml
Glukoza 5% 492
Združljivo
Brizgalka Dacarbazine 1.7 mg/ml
Brizgalka Granisetron hydrochloride 1 mg/ml
Natrijev klorid 0,9% 57
Nedoločena nezdružljivost Nezdružljivo
Brizgalka Dacarbazine
Brizgalka Heparin sodium
3540
Takoj padavine Nezdružljivo
Brizgalka Dacarbazine 25 mg/ml
Brizgalka Heparin sodium 100 UI/ml
Natrijev klorid 0,9% 860
Združljivo
Brizgalka Dacarbazine 4 mg/ml
Brizgalka Melphalan 0.1 mg/ml
Natrijev klorid 0,9% 169
Združljivo
Brizgalka Dacarbazine 3 mg/ml
Brizgalka Ondansetron hydrochloride 0,03 mg/ml
Glukoza 5% 184
Združljivo
Brizgalka Dacarbazine
Glukoza 5% 3605
Nedoločena nezdružljivost Nezdružljivo
Brizgalka Dacarbazine
Brizgalka Heparin sodium
3267
Nedoločena nezdružljivost Nezdružljivo
Brizgalka Dacarbazine
Brizgalka Heparin sodium
3605
Nedoločena nezdružljivost Nezdružljivo
Brizgalka Dacarbazine
Brizgalka Hydrocortisone sodium succinate
3267
Nedoločena nezdružljivost Nezdružljivo
Brizgalka Dacarbazine
Brizgalka Hydrocortisone sodium succinate
3605
Združljivo
Brizgalka Dacarbazine 1 mg/ml
Brizgalka Ondansetron hydrochloride 0,03 mg/ml
Glukoza 5% 184
Združljivo
Brizgalka Dacarbazine 3 mg/ml
Brizgalka Ondansetron hydrochloride 0,3 mg/ml
Glukoza 5% 184
Združljivo
Brizgalka Dacarbazine 1 mg/ml
Brizgalka Ondansetron hydrochloride 0,3 mg/ml
Glukoza 5% 184
Takoj padavine Nezdružljivo
Brizgalka Dacarbazine 4 mg/ml
Brizgalka Piperacillin sodium / tazobactam 40/5 mg/ml
Glukoza 5% 81
Združljivo
Brizgalka Dacarbazine
Natrijev klorid 0,9% 3605
Združljivo
Brizgalka Dacarbazine 4 mg/ml
Brizgalka Ondansetron hydrochloride 1 mg/ml
Natrijev klorid 0,9% 334
Združljivo
Brizgalka Dacarbazine 4 mg/ml
Brizgalka Paclitaxel 1.2 mg/ml
Glukoza 5% 248
Združljivo
Brizgalka Dacarbazine 4 mg/ml
Brizgalka Palonosetron hydrochloride 50 µg/ml
Glukoza 5% 2107
Združljivo
Brizgalka Dacarbazine 4 mg/ml
Brizgalka Sargramostim 10 µg/ml
Natrijev klorid 0,9% 335
Nedoločena nezdružljivost Nezdružljivo
Brizgalka Dacarbazine
Brizgalka Sodium bicarbonate
3605
Nedoločena nezdružljivost Nezdružljivo
Brizgalka Dacarbazine
Brizgalka Sodium bicarbonate
3267
Združljivo
Brizgalka Dacarbazine 4 mg/ml
Brizgalka Teniposide 0.1 mg/ml
Glukoza 5% 905
Združljivo
Brizgalka Dacarbazine 4 mg/ml
Brizgalka Thiotepa 1 mg/ml
Glukoza 5% 249
Združljivo
Brizgalka Dacarbazine 4 mg/ml
Brizgalka Vinorelbine tartrate 1 mg/ml
Natrijev klorid 0,9% 84
Nedoločena nezdružljivost Nezdružljivo
Brizgalka Dacarbazine
NaHCO3 3605

  Mentions Légales