Pēdējā atjaunošana :
18/03/2026
vēzis narkotiku   Dacarbazine  
Injekcija
Šķīduma stabilitāte Maisījuma stabilitāte Stabilitāti ietekmējoši faktori Saderība Levadīšanas veids Literatūras saraksts pdf
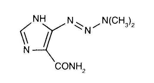
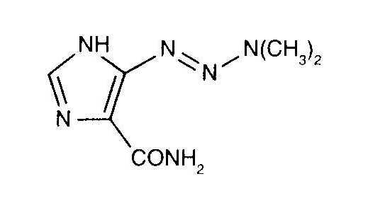
   Ķīmiskā uzbūve   

Oriģinālais nosaukums   Oriģinālais nosaukums     

Tirdzniecības nosaukumi ir apzīmējoši un palīgvielas var atšķirties dažādām valstīm un laboratorijām

Acocarb Meksika
Celdaz Indija, Peru
Dabaz Brazīlija, Indija
Dacarba Indija
Dacarbazin Austrija, Malaizija, Polija, Ungārija
Dacarbazina Argentīna, Brazīlija, Čīle, Ekvadora, Itālija, Kolumbija, Meksika, Peru, Spānija
Dacarbazine Amerikas Savienotās Valstis, Austrālija, Beļģija, Dānija, Indija, Irāna, Īrija, Jaunzēlande, Kanāda, Lielbritānija, Zviedrija
Dacarex Indija
Dacarin Indija
Dacarpalm Peru
Dacarzine Indija
Dacin Slovēnija, Šveice
Dacmed Indija
Daracina Kolumbija
Deticene Francija, Grieķija, Holande, Portugāle, Saūda Arābija
Detimedac Kolumbija, Rumānija, Tunisija, Vācija
DTIC Amerikas Savienotās Valstis, Austrija, Jaunzēlande
Fauldetic Portugāle
Oncocarbil Argentīna, Ekvadora, Peru
Tiferomed Meksika
Saderība   Injekcija   Saderība : Dacarbazine              
Šī tabula parāda zāļu saderību vai nesaderību, pēc iespējas arī nesaderības tipu (precipitācija, krāsas maiņa, emulsijas sadalīšanās utt). Parādītas šeit saderības ir pārsvarā tikai fizikālās, pēc iespējas tiek parādīta ķīmiskā stabilitāte katrai molekulai. Šo maisījumu analīze tikai veikta, lai izprastu iespējamību ievadīt zāles Y-savienojuma vietā sistēmā pacientam. Šie dati nevar tikt izmantoti, lai pagatavot zāļu maisījumus vēlākai lietošanai maisos vai šļircēs. Šī informācija ir pieejama sadaļā "Maisījuma stabilitāte".
Savienojums Šķīdinātājs Literatūras saraksts
Nokrišņi pēc 1 stundas Nesavienojams
Injekcija Dacarbazine 4 mg/ml
Injekcija Allopurinol sodium 3 mg/ml
Nātrija hlorīds 0.9% 307
Savietojams
Injekcija Dacarbazine 4 mg/ml
Injekcija Amifostine 10 mg/ml
5% glikoze 3
Savietojams
Injekcija Dacarbazine 4 mg/ml
Injekcija Aztreonam 40 mg/ml
5% glikoze 99
Savietojams
Injekcija Dacarbazine 4 mg/ml
Injekcija Doxorubicin hydrochloride liposome peg 0.4 mg/ml
5% glikoze 251
Savietojams
Injekcija Dacarbazine 4 mg/ml
Injekcija Etoposide phosphate 5 mg/ml
5% glikoze 1410
Savietojams
Injekcija Dacarbazine 4 mg/ml
Injekcija Filgrastim 30 µg/ml
5% glikoze 244
Savietojams
Injekcija Dacarbazine 4 mg/ml
Injekcija Fludarabine phosphate 1 mg/ml
5% glikoze 492
Savietojams
Injekcija Dacarbazine 1.7 mg/ml
Injekcija Granisetron hydrochloride 1 mg/ml
Nātrija hlorīds 0.9% 57
Neprecizēta nesaderība Nesavienojams
Injekcija Dacarbazine
Injekcija Heparin sodium
3540
Tūlītēji nokrišņi Nesavienojams
Injekcija Dacarbazine 25 mg/ml
Injekcija Heparin sodium 100 UI/ml
Nātrija hlorīds 0.9% 860
Savietojams
Injekcija Dacarbazine 4 mg/ml
Injekcija Melphalan 0.1 mg/ml
Nātrija hlorīds 0.9% 169
Savietojams
Injekcija Dacarbazine 3 mg/ml
Injekcija Ondansetron hydrochloride 0,03 mg/ml
5% glikoze 184
Savietojams
Injekcija Dacarbazine
5% glikoze 3605
Neprecizēta nesaderība Nesavienojams
Injekcija Dacarbazine
Injekcija Heparin sodium
3267
Neprecizēta nesaderība Nesavienojams
Injekcija Dacarbazine
Injekcija Heparin sodium
3605
Neprecizēta nesaderība Nesavienojams
Injekcija Dacarbazine
Injekcija Hydrocortisone sodium succinate
3267
Neprecizēta nesaderība Nesavienojams
Injekcija Dacarbazine
Injekcija Hydrocortisone sodium succinate
3605
Savietojams
Injekcija Dacarbazine 1 mg/ml
Injekcija Ondansetron hydrochloride 0,03 mg/ml
5% glikoze 184
Savietojams
Injekcija Dacarbazine 3 mg/ml
Injekcija Ondansetron hydrochloride 0,3 mg/ml
5% glikoze 184
Savietojams
Injekcija Dacarbazine 1 mg/ml
Injekcija Ondansetron hydrochloride 0,3 mg/ml
5% glikoze 184
Tūlītēji nokrišņi Nesavienojams
Injekcija Dacarbazine 4 mg/ml
Injekcija Piperacillin sodium / tazobactam 40/5 mg/ml
5% glikoze 81
Savietojams
Injekcija Dacarbazine
Nātrija hlorīds 0.9% 3605
Savietojams
Injekcija Dacarbazine 4 mg/ml
Injekcija Ondansetron hydrochloride 1 mg/ml
Nātrija hlorīds 0.9% 334
Savietojams
Injekcija Dacarbazine 4 mg/ml
Injekcija Paclitaxel 1.2 mg/ml
5% glikoze 248
Savietojams
Injekcija Dacarbazine 4 mg/ml
Injekcija Palonosetron hydrochloride 50 µg/ml
5% glikoze 2107
Savietojams
Injekcija Dacarbazine 4 mg/ml
Injekcija Sargramostim 10 µg/ml
Nātrija hlorīds 0.9% 335
Neprecizēta nesaderība Nesavienojams
Injekcija Dacarbazine
Injekcija Sodium bicarbonate
3605
Neprecizēta nesaderība Nesavienojams
Injekcija Dacarbazine
Injekcija Sodium bicarbonate
3267
Savietojams
Injekcija Dacarbazine 4 mg/ml
Injekcija Teniposide 0.1 mg/ml
5% glikoze 905
Savietojams
Injekcija Dacarbazine 4 mg/ml
Injekcija Thiotepa 1 mg/ml
5% glikoze 249
Savietojams
Injekcija Dacarbazine 4 mg/ml
Injekcija Vinorelbine tartrate 1 mg/ml
Nātrija hlorīds 0.9% 84
Neprecizēta nesaderība Nesavienojams
Injekcija Dacarbazine
NaHCO3 3605

  Mentions Légales