Seneste opdatering :
27/11/2025
anticancer medicin   Dacarbazine  
Injektion
Stabilitet i (vandige) opløsninger Stabilitet i blandinger Faktorer der påvirker stabiliteten Kompatibilitet Administrationsvej Bibliografi pdf
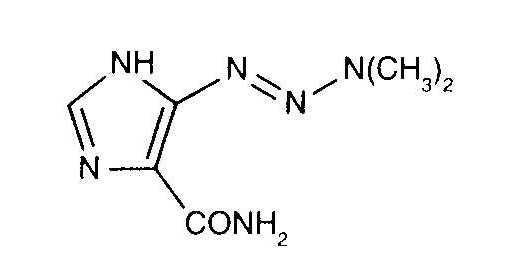
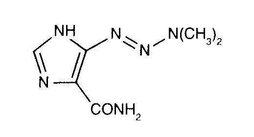
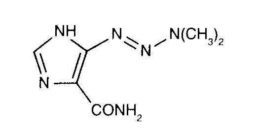
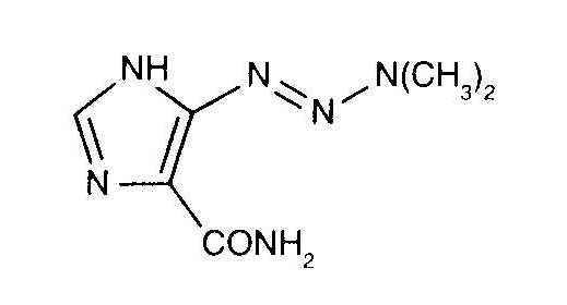
   Kemisk struktur  

Handelsnavn   Handelsnavn     

Handel navne er vejledende og hjælpestoffer sammensætning kan være forskellig afhængigt af landet og laboratorier

Acocarb Mexico
Celdaz Indien, Marokko
Dabaz Brasilien, Indien
Dacarba Indien
Dacarbazin Malaysia, Polen, Ungarn, Østrig
Dacarbazina Argentina, Brasilien, Chile, Colombia, Ecuador, Italien, Marokko, Mexico, Spanien
Dacarbazine Australien, Belgien, Canada, Danmark, Indien, Iran, Irland, New Zealand, Storbritanien, Sverige, USA
Dacarex Indien
Dacarin Indien
Dacarpalm Marokko
Dacarzine Indien
Dacin Schweiz, Slovenien
Dacmed Indien
Daracina Colombia
Deticene Frankrig, Grækenland, Holland, Portugal, Saudi-Arabien
Detimedac Colombia, Rumænien, Tunesien, Tyskland
DTIC New Zealand, USA, Østrig
Fauldetic Portugal
Oncocarbil Argentina, Ecuador, Marokko
Tiferomed Mexico
Kompatibilitet   Injektion   Kompatibilitet : Dacarbazine              
Denne skærm viser kompatibilitet eller uforenelighed med, i dette tilfælde typen af inkompatibilitet (udfældning, farveændring, ændring af en emulsion osv.). Kompatibiliteterne vist her er for det meste kun fysiske, idet den kemiske stabilitet af hvert molekyle sjældent vurderes. Evalueringen af disse blandinger blev undersøgt for at overveje muligheden for Y-sted-administration til patienten. Disse data kan ikke bruges til at fremstille blandinger på forhånd i poser eller sprøjter. Denne type information findes på skærmen "Stabilitet i blanding".
Molekyle Opløsningsmiddel Bibliografi
Nedbør efter 1 time Uforenelig
Injektion Dacarbazine 4 mg/ml
Injektion Allopurinol sodium 3 mg/ml
0,9 % Natriumklorid 307
Kompatibel
Injektion Dacarbazine 4 mg/ml
Injektion Amifostine 10 mg/ml
5 % Glukose 3
Kompatibel
Injektion Dacarbazine 4 mg/ml
Injektion Aztreonam 40 mg/ml
5 % Glukose 99
Kompatibel
Injektion Dacarbazine 4 mg/ml
Injektion Doxorubicin hydrochloride liposome peg 0.4 mg/ml
5 % Glukose 251
Kompatibel
Injektion Dacarbazine 4 mg/ml
Injektion Etoposide phosphate 5 mg/ml
5 % Glukose 1410
Kompatibel
Injektion Dacarbazine 4 mg/ml
Injektion Filgrastim 30 µg/ml
5 % Glukose 244
Kompatibel
Injektion Dacarbazine 4 mg/ml
Injektion Fludarabine phosphate 1 mg/ml
5 % Glukose 492
Kompatibel
Injektion Dacarbazine 1.7 mg/ml
Injektion Granisetron hydrochloride 1 mg/ml
0,9 % Natriumklorid 57
Uspecificeret inkompatibilitet Uforenelig
Injektion Dacarbazine
Injektion Heparin sodium
3540
Umiddelbar nedbør Uforenelig
Injektion Dacarbazine 25 mg/ml
Injektion Heparin sodium 100 UI/ml
0,9 % Natriumklorid 860
Kompatibel
Injektion Dacarbazine 4 mg/ml
Injektion Melphalan 0.1 mg/ml
0,9 % Natriumklorid 169
Kompatibel
Injektion Dacarbazine 3 mg/ml
Injektion Ondansetron hydrochloride 0,03 mg/ml
5 % Glukose 184
Kompatibel
Injektion Dacarbazine
5 % Glukose 3605
Uspecificeret inkompatibilitet Uforenelig
Injektion Dacarbazine
Injektion Heparin sodium
3267
Uspecificeret inkompatibilitet Uforenelig
Injektion Dacarbazine
Injektion Heparin sodium
3605
Uspecificeret inkompatibilitet Uforenelig
Injektion Dacarbazine
Injektion Hydrocortisone sodium succinate
3267
Uspecificeret inkompatibilitet Uforenelig
Injektion Dacarbazine
Injektion Hydrocortisone sodium succinate
3605
Kompatibel
Injektion Dacarbazine 1 mg/ml
Injektion Ondansetron hydrochloride 0,03 mg/ml
5 % Glukose 184
Kompatibel
Injektion Dacarbazine 3 mg/ml
Injektion Ondansetron hydrochloride 0,3 mg/ml
5 % Glukose 184
Kompatibel
Injektion Dacarbazine 1 mg/ml
Injektion Ondansetron hydrochloride 0,3 mg/ml
5 % Glukose 184
Umiddelbar nedbør Uforenelig
Injektion Dacarbazine 4 mg/ml
Injektion Piperacillin sodium / tazobactam 40/5 mg/ml
5 % Glukose 81
Kompatibel
Injektion Dacarbazine
0,9 % Natriumklorid 3605
Kompatibel
Injektion Dacarbazine 4 mg/ml
Injektion Ondansetron hydrochloride 1 mg/ml
0,9 % Natriumklorid 334
Kompatibel
Injektion Dacarbazine 4 mg/ml
Injektion Paclitaxel 1.2 mg/ml
5 % Glukose 248
Kompatibel
Injektion Dacarbazine 4 mg/ml
Injektion Palonosetron hydrochloride 50 µg/ml
5 % Glukose 2107
Kompatibel
Injektion Dacarbazine 4 mg/ml
Injektion Sargramostim 10 µg/ml
0,9 % Natriumklorid 335
Uspecificeret inkompatibilitet Uforenelig
Injektion Dacarbazine
Injektion Sodium bicarbonate
3605
Uspecificeret inkompatibilitet Uforenelig
Injektion Dacarbazine
Injektion Sodium bicarbonate
3267
Kompatibel
Injektion Dacarbazine 4 mg/ml
Injektion Teniposide 0.1 mg/ml
5 % Glukose 905
Kompatibel
Injektion Dacarbazine 4 mg/ml
Injektion Thiotepa 1 mg/ml
5 % Glukose 249
Kompatibel
Injektion Dacarbazine 4 mg/ml
Injektion Vinorelbine tartrate 1 mg/ml
0,9 % Natriumklorid 84
Uspecificeret inkompatibilitet Uforenelig
Injektion Dacarbazine
NaHCO3 3605

  Mentions Légales