Siste oppdatering :
18/03/2026
kreft narkotika   Dacarbazine  
Injeksjon
Oppløsningsstabilitet Stabilitet i blandinger Faktorer som påvirker stabiliteten Kompatibilitet Administrasjonsmåte Referanser pdf
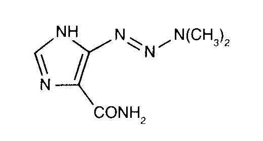
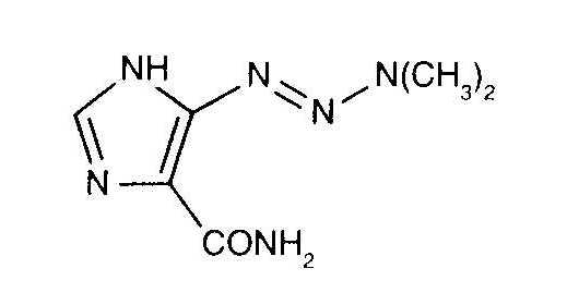
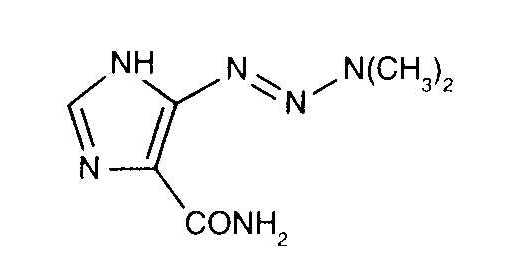
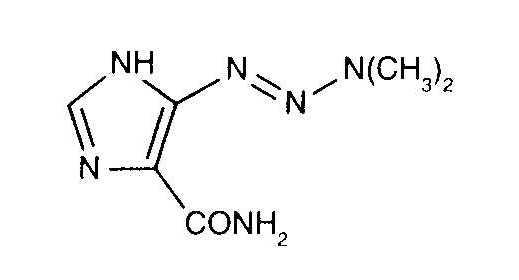
   Kjemisk struktur  

Handelsnavn   Handelsnavn     

Handelsnavn er veiledende og sammensetning av hjelpestoffer kan være forskjellig avhengig av land og produsent

Acocarb Mexico
Celdaz India, Peru
Dabaz Brasil, India
Dacarba India
Dacarbazin Malaysia, Polen, Ungarn, Østerrike
Dacarbazina Argentina, Brasil, Chile, Colombia, Ecuador, Italia, Mexico, Peru, Spania
Dacarbazine Australia, Belgia, Canada, Danmark, India, Iran, Irland, New Zealand, Storbritannia, Sverige, USA
Dacarex India
Dacarin India
Dacarpalm Peru
Dacarzine India
Dacin Slovenia, Sveits
Dacmed India
Daracina Colombia
Deticene Frankrike, Hellas, Nederland, Portugal, Saudi-Arabia
Detimedac Colombia, Romania, Tunisia, Tyskland
DTIC New Zealand, USA, Østerrike
Fauldetic Portugal
Oncocarbil Argentina, Ecuador, Peru
Tiferomed Mexico
Kompatibilitet   Injeksjon   Kompatibilitet : Dacarbazine              
Dette skjermbildet viser kompatibilitet eller inkompatibilitet med, i dette tilfellet, typen inkompatibilitet (nedbør, fargeendring, modifisering av en emulsjon, etc.). Kompatibilitetene som er vist her, er for det meste bare fysiske, og den kjemiske stabiliteten til hvert molekyl blir sjelden vurdert. Evalueringen av disse blandingene ble studert for å vurdere muligheten for Y-stedadministrasjon til pasienten. Disse dataene kan ikke brukes til å lage blandinger på forhånd i poser eller sprøyter. Denne typen informasjon er tilgjengelig på skjermen "Stabilitet i blanding".
Legemiddel Oppløsningsmiddel Referanser
Nedbør etter 1 time Uforenlig
Injeksjon Dacarbazine 4 mg/ml
Injeksjon Allopurinol sodium 3 mg/ml
Natriumklorid 0,9 % 307
Kompatibel
Injeksjon Dacarbazine 4 mg/ml
Injeksjon Amifostine 10 mg/ml
Glukose 5 % 3
Kompatibel
Injeksjon Dacarbazine 4 mg/ml
Injeksjon Aztreonam 40 mg/ml
Glukose 5 % 99
Kompatibel
Injeksjon Dacarbazine 4 mg/ml
Injeksjon Doxorubicin hydrochloride liposome peg 0.4 mg/ml
Glukose 5 % 251
Kompatibel
Injeksjon Dacarbazine 4 mg/ml
Injeksjon Etoposide phosphate 5 mg/ml
Glukose 5 % 1410
Kompatibel
Injeksjon Dacarbazine 4 mg/ml
Injeksjon Filgrastim 30 µg/ml
Glukose 5 % 244
Kompatibel
Injeksjon Dacarbazine 4 mg/ml
Injeksjon Fludarabine phosphate 1 mg/ml
Glukose 5 % 492
Kompatibel
Injeksjon Dacarbazine 1.7 mg/ml
Injeksjon Granisetron hydrochloride 1 mg/ml
Natriumklorid 0,9 % 57
Uspesifisert inkompatibilitet Uforenlig
Injeksjon Dacarbazine
Injeksjon Heparin sodium
3540
Umiddelbar nedbør Uforenlig
Injeksjon Dacarbazine 25 mg/ml
Injeksjon Heparin sodium 100 UI/ml
Natriumklorid 0,9 % 860
Kompatibel
Injeksjon Dacarbazine 4 mg/ml
Injeksjon Melphalan 0.1 mg/ml
Natriumklorid 0,9 % 169
Kompatibel
Injeksjon Dacarbazine 3 mg/ml
Injeksjon Ondansetron hydrochloride 0,03 mg/ml
Glukose 5 % 184
Kompatibel
Injeksjon Dacarbazine
Glukose 5 % 3605
Uspesifisert inkompatibilitet Uforenlig
Injeksjon Dacarbazine
Injeksjon Heparin sodium
3267
Uspesifisert inkompatibilitet Uforenlig
Injeksjon Dacarbazine
Injeksjon Heparin sodium
3605
Uspesifisert inkompatibilitet Uforenlig
Injeksjon Dacarbazine
Injeksjon Hydrocortisone sodium succinate
3267
Uspesifisert inkompatibilitet Uforenlig
Injeksjon Dacarbazine
Injeksjon Hydrocortisone sodium succinate
3605
Kompatibel
Injeksjon Dacarbazine 1 mg/ml
Injeksjon Ondansetron hydrochloride 0,03 mg/ml
Glukose 5 % 184
Kompatibel
Injeksjon Dacarbazine 3 mg/ml
Injeksjon Ondansetron hydrochloride 0,3 mg/ml
Glukose 5 % 184
Kompatibel
Injeksjon Dacarbazine 1 mg/ml
Injeksjon Ondansetron hydrochloride 0,3 mg/ml
Glukose 5 % 184
Umiddelbar nedbør Uforenlig
Injeksjon Dacarbazine 4 mg/ml
Injeksjon Piperacillin sodium / tazobactam 40/5 mg/ml
Glukose 5 % 81
Kompatibel
Injeksjon Dacarbazine
Natriumklorid 0,9 % 3605
Kompatibel
Injeksjon Dacarbazine 4 mg/ml
Injeksjon Ondansetron hydrochloride 1 mg/ml
Natriumklorid 0,9 % 334
Kompatibel
Injeksjon Dacarbazine 4 mg/ml
Injeksjon Paclitaxel 1.2 mg/ml
Glukose 5 % 248
Kompatibel
Injeksjon Dacarbazine 4 mg/ml
Injeksjon Palonosetron hydrochloride 50 µg/ml
Glukose 5 % 2107
Kompatibel
Injeksjon Dacarbazine 4 mg/ml
Injeksjon Sargramostim 10 µg/ml
Natriumklorid 0,9 % 335
Uspesifisert inkompatibilitet Uforenlig
Injeksjon Dacarbazine
Injeksjon Sodium bicarbonate
3605
Uspesifisert inkompatibilitet Uforenlig
Injeksjon Dacarbazine
Injeksjon Sodium bicarbonate
3267
Kompatibel
Injeksjon Dacarbazine 4 mg/ml
Injeksjon Teniposide 0.1 mg/ml
Glukose 5 % 905
Kompatibel
Injeksjon Dacarbazine 4 mg/ml
Injeksjon Thiotepa 1 mg/ml
Glukose 5 % 249
Kompatibel
Injeksjon Dacarbazine 4 mg/ml
Injeksjon Vinorelbine tartrate 1 mg/ml
Natriumklorid 0,9 % 84
Uspesifisert inkompatibilitet Uforenlig
Injeksjon Dacarbazine
NaHCO3 3605

  Mentions Légales