Cập nhật lần cuối :
18/03/2026
Kháng sinh   Daptomycin  
Dạng tiêm
Tính ổn định của các dung dịch Độ ổn định khi trộn lẫn Những yếu tố ảnh hưởng đến độ ổn định Khả năng tương thích Đường dùng Tài liệu tham khảo Pdf
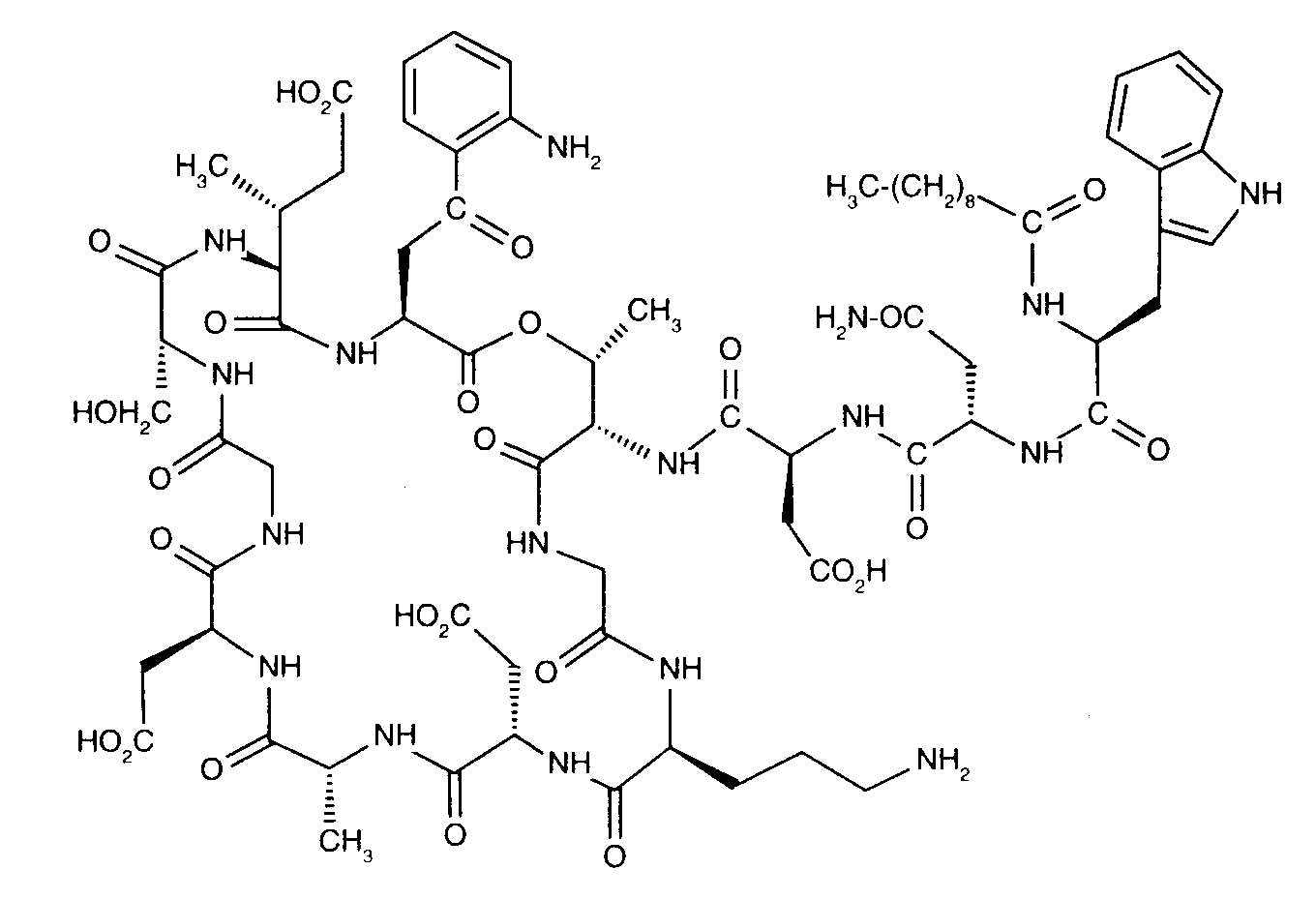
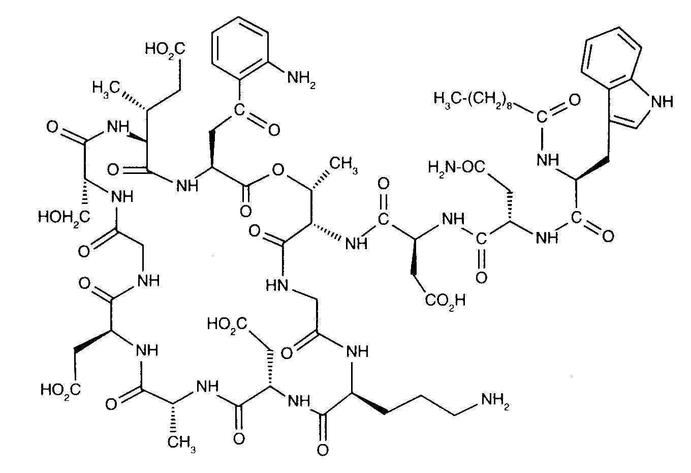
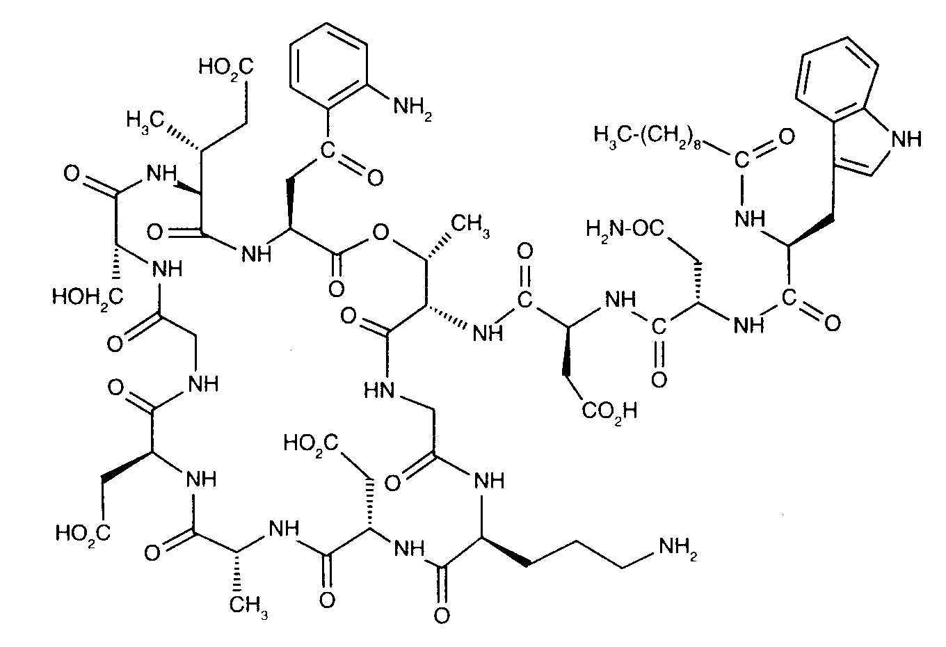
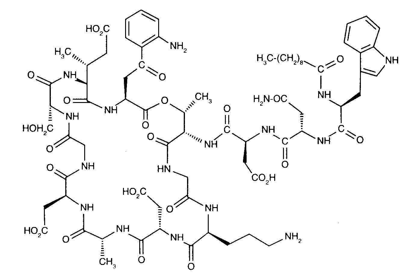
   Cấu trúc hóa học  

Tên thương mại   Tên thương mại     

Các tên thương mại được cung cấp và thành phần tá dược có thể khác nhau giữa các quốc gia và các hãng dược

Cubicin Ấn Độ, Anh, Áo, Argentina, Ba Lan, Bồ Đào Nha, Canada, Chile, Colombia, Hà Lan, Hoa Kỳ, Hungary, Hy Lạp, Iceland, Ireland, Malaysia, Mexico, Na Uy, new zealand, Nhật, Phần Lan, Pháp, Romania, Tây Ban Nha, Thổ Nhĩ Kỳ, Thụy Sỹ, Thụy Điển, Úc, Venezuela, Ý, Đan Mạch, Đức
Daptomicina Argentina, Tây Ban Nha, Ý
Daptomicine Anh, Hungary, Na Uy, Phần Lan, Đức
Exfuno Brazil, Chile
Stenkivar Nigeria
Trisk Brazil
Độ ổn định khi trộn lẫn   Dạng tiêm   Độ ổn định khi trộn lẫn : Daptomycin     
Bao bì Dung môi Nồng độ Phân tử Nhiệt độ Bảo quản Thời gian ổn định Mục lục
ống tiêm polypropylene Dung dịch Ringer’s lactate 5 mg/ml
Dạng tiêm   Daptomycin   
Dạng tiêm   Heparin sodium 100 UI/ml
-20°C
14 Ngày
Tránh ánh sáng 3665
Cấp độ bằng chứng B
ống tiêm polypropylene Dung dịch Ringer’s lactate 5 mg/ml
Dạng tiêm   Daptomycin   
Dạng tiêm   Heparin sodium 100 UI/ml
4°C
14 Ngày
Không rõ 3665
Cấp độ bằng chứng B
Không rõ NaCl 0,9% 16,7 mg/ml
Dạng tiêm   Daptomycin   
Dạng tiêm   Aztreonam 16,7 mg/ml
22°C-28°C
2 Giờ
Không rõ 1937
Cấp độ bằng chứng C+
Không rõ NaCl 0,9% 16,7 mg/ml
Dạng tiêm   Daptomycin   
Dạng tiêm   Ceftazidime 16,7 mg/ml
22°C-28°C
2 Giờ
Không rõ 1937
Cấp độ bằng chứng C+
Không rõ NaCl 0,9% 16,7 mg/ml
Dạng tiêm   Daptomycin   
Dạng tiêm   Ceftriaxone disodium 16,7 mg/ml
22°C-28°C
2 Giờ
Không rõ 1937
Cấp độ bằng chứng C+
Không rõ NaCl 0,9% 16,7 mg/ml
Dạng tiêm   Daptomycin   
Dạng tiêm   Lidocaine hydrochloride 3,3 mg/ml
22°C-28°C
2 Giờ
Không rõ 1937
Cấp độ bằng chứng C+
Không rõ NaCl 0,9% 18,2 mg/ml
Dạng tiêm   Daptomycin   
Dạng tiêm   Dopamine hydrochloride 3,6 mg/ml
22°C-28°C
2 Giờ
Không rõ 1937
Cấp độ bằng chứng C+
Không rõ NaCl 0,9% 19,2 mg/ml
Dạng tiêm   Daptomycin   
Dạng tiêm   Gentamicin sulfate 1,5 mg/ml
22°C-28°C
2 Giờ
Không rõ 1937
Cấp độ bằng chứng C+
Không rõ NaCl 0,9% 6,3 mg/ml
Dạng tiêm   Daptomycin   
Dạng tiêm   Fluconazole 1,3 mg/ml
22°C-28°C
2 Giờ
Không rõ 1937
Cấp độ bằng chứng C+
Không rõ NaCl 0,9% 19,6 mg/ml
Dạng tiêm   Daptomycin   
Dạng tiêm   Heparin sodium 5000 UI/ml
22°C-28°C
2 Giờ
Không rõ 1937
Cấp độ bằng chứng C+
Không rõ NaCl 0,9% 14,3 mg/ml
Dạng tiêm   Daptomycin   
Dạng tiêm   Levofloxacine 7,1 mg/ml
22°C-28°C
2 Giờ
Không rõ 1937
Cấp độ bằng chứng C+

  Mentions Légales