Τελευταία ενημέρωση :
27/11/2025
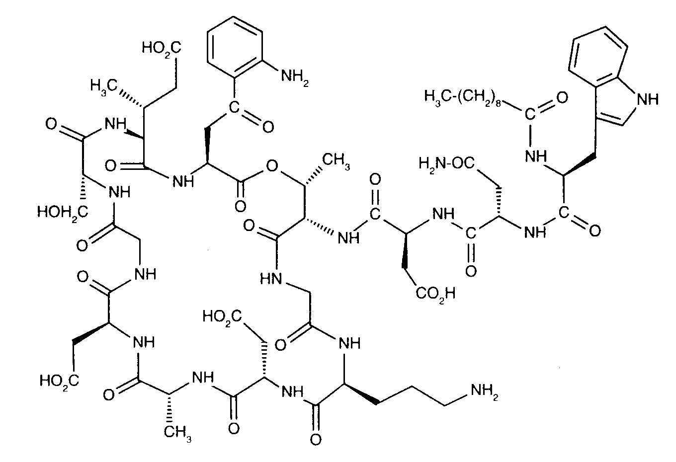
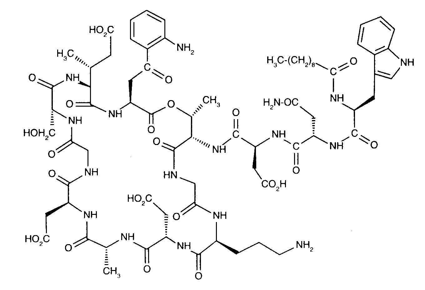
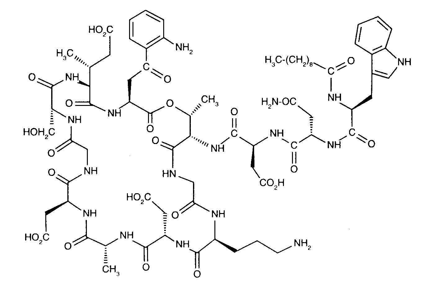
Αντιβιοτικό   Daptomycin  
Ενέσιμο
Σταθερότητα διαλυμάτων Σταθερότητα σε μίγματα Παράγοντας που επηρεάζει τη σταθερότητα Συμβατότητες Τρόπος χορήγησης Βιβλιογραφία pdf
   χημική δομή  

Εμπορική ονομασία   Εμπορική ονομασία     

Οι εμπορικές ονομασίες είναι ενδεικτικές και η σύνθεση των εκδόχων μπορεί να διαφέρει ανάλογα με τη χώρα και τα εργαστήρια

Cubicin Αργεντινή, Αυστραλία, Αυστρία, Βενεζουέλα, Γαλλία, Γερμανία, Δανία, Ελβετία, Ελλάδα, Η.Π.Α., Ιαπωνία, Ινδία, Ιρλανδία, Ισλανδία, Ισπανία, Ιταλία, Καναδάς, Κολομβία, Μαλαισία, Μεγάλη Βρετανία, Μεξικό, νέα Ζηλανδία, Νορβηγία, Ολλανδία, Ουγγαρία, Πολωνία, Πορτογαλία, Ρουμανία, Σουηδία, Τουρκία, Φινλανδία, Χιλή
Daptomicina Αργεντινή, Ισπανία, Ιταλία
Daptomicine Γερμανία, Μεγάλη Βρετανία, Νορβηγία, Ουγγαρία, Φινλανδία
Exfuno Βραζιλία, Χιλή
Stenkivar Νιγηρία
Trisk Βραζιλία
Σταθερότητα σε μίγματα   Ενέσιμο   Σταθερότητα σε μίγματα : Daptomycin     
Υποδοχέας Διαλυτικό Συγκέντρωση Συστατικό Θερμοκρασία Αποθήκευση Διάρκεια σταθερότητας Βιβλιογραφία
σύριγγα πολυπροπυλένιο Γαλακτικό διάλυμα Ringer 5 mg/ml
Ενέσιμο   Daptomycin   
Ενέσιμο   Heparin sodium 100 UI/ml
-20°C
14 Ημέρα
Προστατεύετε από το φως 3665
Επίπεδο των αποδεικτικών στοιχείων B
σύριγγα πολυπροπυλένιο Γαλακτικό διάλυμα Ringer 5 mg/ml
Ενέσιμο   Daptomycin   
Ενέσιμο   Heparin sodium 100 UI/ml
4°C
14 Ημέρα
Απροσδιόριστο 3665
Επίπεδο των αποδεικτικών στοιχείων B
Απροσδιόριστο Χλωριούχο νάτριο 0,9% 16,7 mg/ml
Ενέσιμο   Daptomycin   
Ενέσιμο   Aztreonam 16,7 mg/ml
22°C-28°C
2 Ώρα
Απροσδιόριστο 1937
Επίπεδο των αποδεικτικών στοιχείων C+
Απροσδιόριστο Χλωριούχο νάτριο 0,9% 16,7 mg/ml
Ενέσιμο   Daptomycin   
Ενέσιμο   Ceftazidime 16,7 mg/ml
22°C-28°C
2 Ώρα
Απροσδιόριστο 1937
Επίπεδο των αποδεικτικών στοιχείων C+
Απροσδιόριστο Χλωριούχο νάτριο 0,9% 16,7 mg/ml
Ενέσιμο   Daptomycin   
Ενέσιμο   Ceftriaxone disodium 16,7 mg/ml
22°C-28°C
2 Ώρα
Απροσδιόριστο 1937
Επίπεδο των αποδεικτικών στοιχείων C+
Απροσδιόριστο Χλωριούχο νάτριο 0,9% 16,7 mg/ml
Ενέσιμο   Daptomycin   
Ενέσιμο   Lidocaine hydrochloride 3,3 mg/ml
22°C-28°C
2 Ώρα
Απροσδιόριστο 1937
Επίπεδο των αποδεικτικών στοιχείων C+
Απροσδιόριστο Χλωριούχο νάτριο 0,9% 18,2 mg/ml
Ενέσιμο   Daptomycin   
Ενέσιμο   Dopamine hydrochloride 3,6 mg/ml
22°C-28°C
2 Ώρα
Απροσδιόριστο 1937
Επίπεδο των αποδεικτικών στοιχείων C+
Απροσδιόριστο Χλωριούχο νάτριο 0,9% 19,2 mg/ml
Ενέσιμο   Daptomycin   
Ενέσιμο   Gentamicin sulfate 1,5 mg/ml
22°C-28°C
2 Ώρα
Απροσδιόριστο 1937
Επίπεδο των αποδεικτικών στοιχείων C+
Απροσδιόριστο Χλωριούχο νάτριο 0,9% 6,3 mg/ml
Ενέσιμο   Daptomycin   
Ενέσιμο   Fluconazole 1,3 mg/ml
22°C-28°C
2 Ώρα
Απροσδιόριστο 1937
Επίπεδο των αποδεικτικών στοιχείων C+
Απροσδιόριστο Χλωριούχο νάτριο 0,9% 19,6 mg/ml
Ενέσιμο   Daptomycin   
Ενέσιμο   Heparin sodium 5000 UI/ml
22°C-28°C
2 Ώρα
Απροσδιόριστο 1937
Επίπεδο των αποδεικτικών στοιχείων C+
Απροσδιόριστο Χλωριούχο νάτριο 0,9% 14,3 mg/ml
Ενέσιμο   Daptomycin   
Ενέσιμο   Levofloxacine 7,1 mg/ml
22°C-28°C
2 Ώρα
Απροσδιόριστο 1937
Επίπεδο των αποδεικτικών στοιχείων C+

  Mentions Légales