Última actualização :
18/03/2026
antibiótico   Daptomycin  
injetável
Estabilidade em soluções simples Estabilidade em misturas Factores que afectam a sua estabilidade Compatibilidade Método de administração Bibliografía pdf
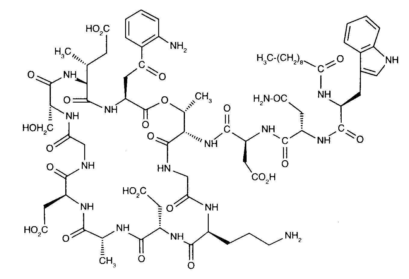
   estrutura química  

Nomes comerciais nos diversos países   Nomes comerciais nos diversos países     

OS NOMES COMERCIAIS SÃO INDICATIVOS E OS EXCIPIENTES DA FORMULAÇÃO PODEM SER DIFERENTES CONFORME O PAÍS E FABRICANTE.

Cubicin Alemanha, Argentina, Australia, Austria, Canadá, Chilli, Colômbia, Dinamarca, Espanha, Estados Unidos de América, Finlandia, França, Gran-bretanha, Grècia, Hungria, Índia, Irlanda, Islandia, Itália, Japón, Malásia, México, Noruega, nova Zelândia, Países Baixos, Polonia, Portugal, Romènia, Suècia, Suicia, Turquia, Venezuela
Daptomicina Argentina, Espanha, Itália
Daptomicine Alemanha, Finlandia, Gran-bretanha, Hungria, Noruega
Exfuno Brasil, Chilli
Stenkivar Nigéria
Trisk Brasil
Estabilidade em misturas   injetável   Estabilidade em misturas : Daptomycin     
Embalagem Solvente concentração molécula temperatura conservação Duração da estabilidade Bibliografia
seringa polipropylen Ringer lactato 5 mg/ml
injetável   Daptomycin   
injetável   Heparin sodium 100 UI/ml
-20°C
14 dia
ao abrigo da luz 3665
Nível de evidência B
seringa polipropylen Ringer lactato 5 mg/ml
injetável   Daptomycin   
injetável   Heparin sodium 100 UI/ml
4°C
14 dia
no especificado 3665
Nível de evidência B
no especificado cloreto de sódio 0,9% 16,7 mg/ml
injetável   Daptomycin   
injetável   Aztreonam 16,7 mg/ml
22°C-28°C
2 hora
no especificado 1937
Nível de evidência C+
no especificado cloreto de sódio 0,9% 16,7 mg/ml
injetável   Daptomycin   
injetável   Ceftazidime 16,7 mg/ml
22°C-28°C
2 hora
no especificado 1937
Nível de evidência C+
no especificado cloreto de sódio 0,9% 16,7 mg/ml
injetável   Daptomycin   
injetável   Ceftriaxone disodium 16,7 mg/ml
22°C-28°C
2 hora
no especificado 1937
Nível de evidência C+
no especificado cloreto de sódio 0,9% 16,7 mg/ml
injetável   Daptomycin   
injetável   Lidocaine hydrochloride 3,3 mg/ml
22°C-28°C
2 hora
no especificado 1937
Nível de evidência C+
no especificado cloreto de sódio 0,9% 18,2 mg/ml
injetável   Daptomycin   
injetável   Dopamine hydrochloride 3,6 mg/ml
22°C-28°C
2 hora
no especificado 1937
Nível de evidência C+
no especificado cloreto de sódio 0,9% 19,2 mg/ml
injetável   Daptomycin   
injetável   Gentamicin sulfate 1,5 mg/ml
22°C-28°C
2 hora
no especificado 1937
Nível de evidência C+
no especificado cloreto de sódio 0,9% 6,3 mg/ml
injetável   Daptomycin   
injetável   Fluconazole 1,3 mg/ml
22°C-28°C
2 hora
no especificado 1937
Nível de evidência C+
no especificado cloreto de sódio 0,9% 19,6 mg/ml
injetável   Daptomycin   
injetável   Heparin sodium 5000 UI/ml
22°C-28°C
2 hora
no especificado 1937
Nível de evidência C+
no especificado cloreto de sódio 0,9% 14,3 mg/ml
injetável   Daptomycin   
injetável   Levofloxacine 7,1 mg/ml
22°C-28°C
2 hora
no especificado 1937
Nível de evidência C+

  Mentions Légales