Viimeisin päivitys :
18/03/2026
Antibiootit   Daptomycin  
Injektioneste
Stabilius liuoksessa Stabilius seoksissa Tekijät, jotka vaikuttavat stabiliuteen Yhteensopivuus Antotapa Viitteet pdf
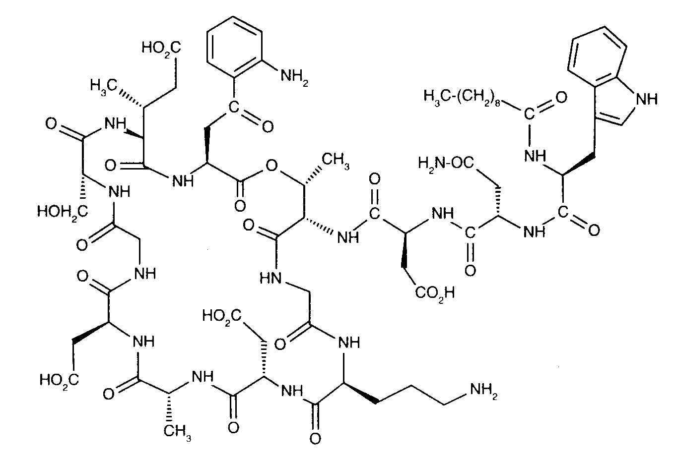
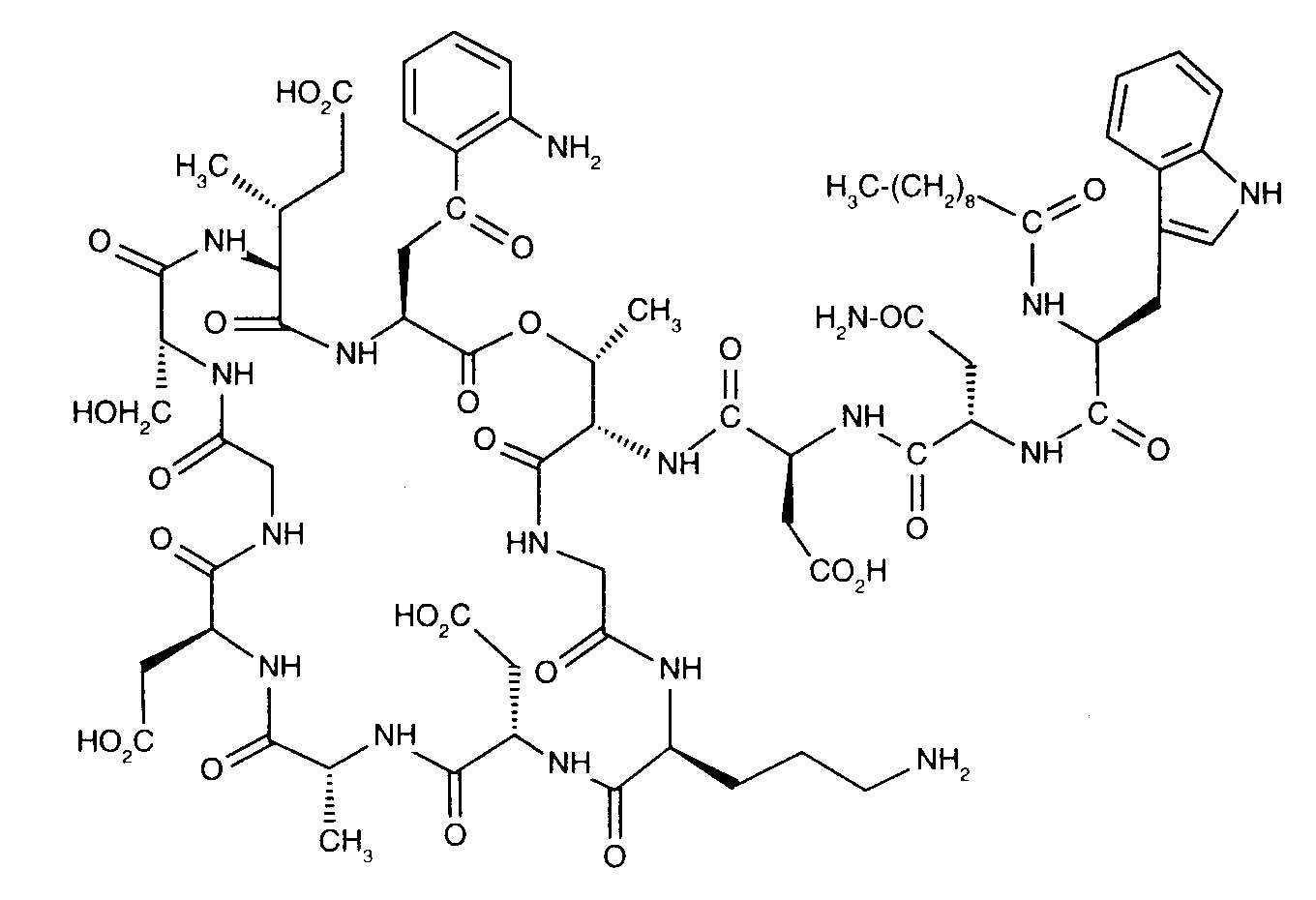
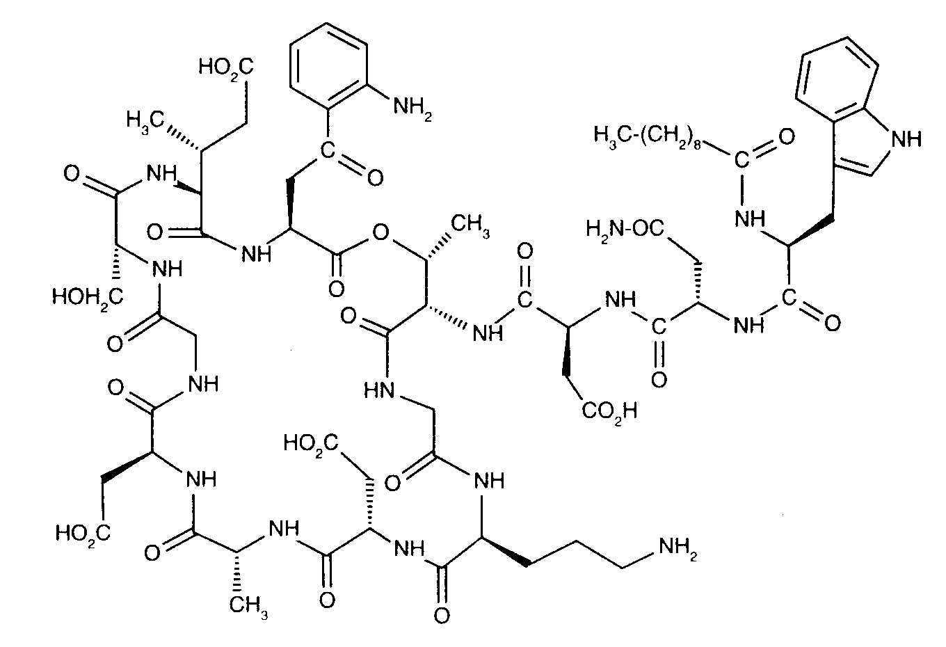
   Kemiallinen rakenne  

Kauppanimi   Kauppanimi     

Trade names are indicative and excipients composition can be different depending on the country and manufacturers

Cubicin Argentiina, Australia, Chile, Espanja, Hollanti, Intia, Irlanti, Islanti, Iso-Britannia, Italia, Itävalta, Japani, Kanada, Kolumbia, Kreikka, Malesia, Meksiko, New Zealand, Norja, Portugali, Puola, Ranska, Romania, Ruotsi, Saksa, Suomi, Sveitsi, Tanska, Turkki, Unkari, Venezuela, Yhdysvallat
Daptomicina Argentiina, Espanja, Italia
Daptomicine Iso-Britannia, Norja, Saksa, Suomi, Unkari
Exfuno Brasilia, Chile
Stenkivar Nigeria
Trisk Brasilia
Stabilius seoksissa   Injektioneste   Stabilius seoksissa : Daptomycin     
Astia Liuotin Konsentraatio Yhdiste Lämpötila Säilytys Vakauden kesto Viitteet
Ruisku  polypropeeni Ringerlaktaattiliuos 5 mg/ml
Injektioneste   Daptomycin   
Injektioneste   Heparin sodium 100 UI/ml
-20°C
14 Päivä
Suojattava valolta 3665
Näytön laajuus B
Ruisku  polypropeeni Ringerlaktaattiliuos 5 mg/ml
Injektioneste   Daptomycin   
Injektioneste   Heparin sodium 100 UI/ml
4°C
14 Päivä
Ei määritetty 3665
Näytön laajuus B
Ei määritetty Natriumkloridi 0,9% 16,7 mg/ml
Injektioneste   Daptomycin   
Injektioneste   Aztreonam 16,7 mg/ml
22°C-28°C
2 tunti
Ei määritetty 1937
Näytön laajuus C+
Ei määritetty Natriumkloridi 0,9% 16,7 mg/ml
Injektioneste   Daptomycin   
Injektioneste   Ceftazidime 16,7 mg/ml
22°C-28°C
2 tunti
Ei määritetty 1937
Näytön laajuus C+
Ei määritetty Natriumkloridi 0,9% 16,7 mg/ml
Injektioneste   Daptomycin   
Injektioneste   Ceftriaxone disodium 16,7 mg/ml
22°C-28°C
2 tunti
Ei määritetty 1937
Näytön laajuus C+
Ei määritetty Natriumkloridi 0,9% 16,7 mg/ml
Injektioneste   Daptomycin   
Injektioneste   Lidocaine hydrochloride 3,3 mg/ml
22°C-28°C
2 tunti
Ei määritetty 1937
Näytön laajuus C+
Ei määritetty Natriumkloridi 0,9% 18,2 mg/ml
Injektioneste   Daptomycin   
Injektioneste   Dopamine hydrochloride 3,6 mg/ml
22°C-28°C
2 tunti
Ei määritetty 1937
Näytön laajuus C+
Ei määritetty Natriumkloridi 0,9% 19,2 mg/ml
Injektioneste   Daptomycin   
Injektioneste   Gentamicin sulfate 1,5 mg/ml
22°C-28°C
2 tunti
Ei määritetty 1937
Näytön laajuus C+
Ei määritetty Natriumkloridi 0,9% 6,3 mg/ml
Injektioneste   Daptomycin   
Injektioneste   Fluconazole 1,3 mg/ml
22°C-28°C
2 tunti
Ei määritetty 1937
Näytön laajuus C+
Ei määritetty Natriumkloridi 0,9% 19,6 mg/ml
Injektioneste   Daptomycin   
Injektioneste   Heparin sodium 5000 UI/ml
22°C-28°C
2 tunti
Ei määritetty 1937
Näytön laajuus C+
Ei määritetty Natriumkloridi 0,9% 14,3 mg/ml
Injektioneste   Daptomycin   
Injektioneste   Levofloxacine 7,1 mg/ml
22°C-28°C
2 tunti
Ei määritetty 1937
Näytön laajuus C+

  Mentions Légales