آخر تحديث :
18/03/2026
مضاد حيوي   Daptomycin  
حقن
الاستقرار في حلول استقرار مخاليط العوامل التي تؤثر على الاستقرار التوافق طريقة التعاطي مراجع pdf
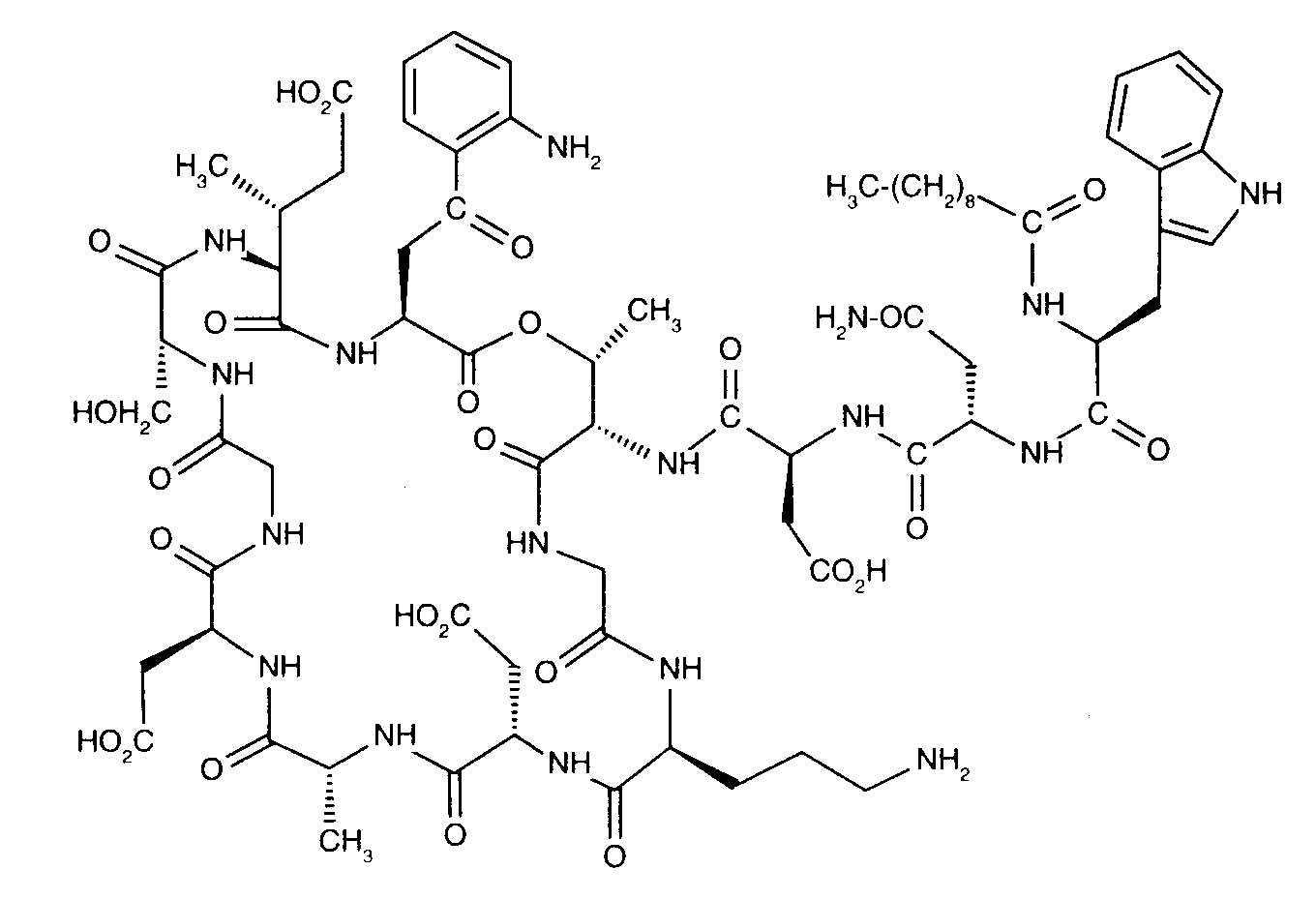
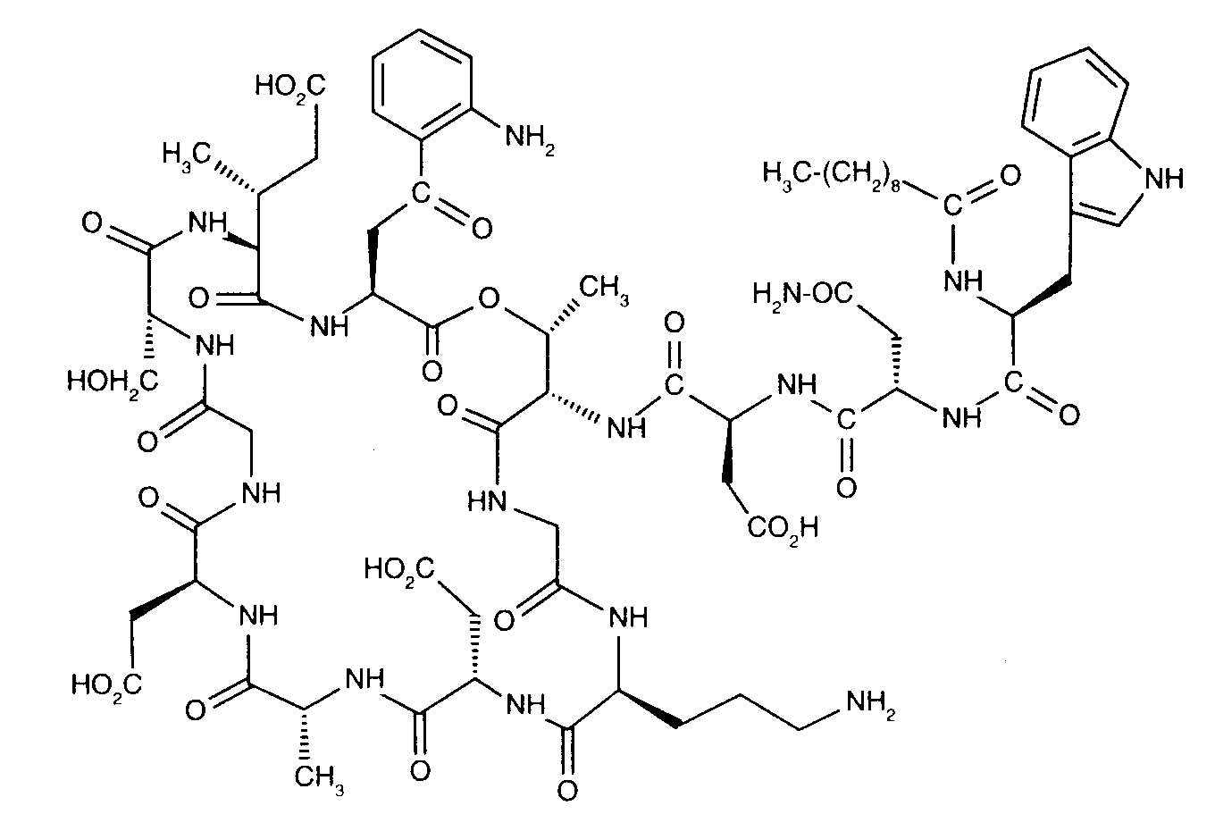
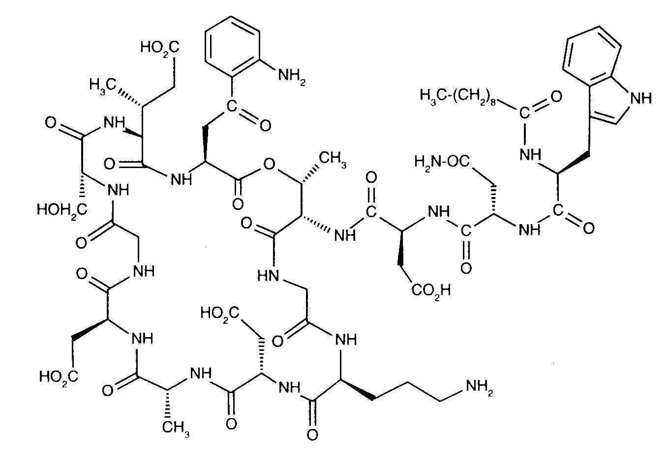
   التركيب الكيميائي  

حجز الاسم التجاري   حجز الاسم التجاري     

تحذير الأسماء التجاريه المختلفه قد تحتوي علي محتوي إضافات مختلفة حسب الدوله و المعمل

Cubicin أستراليا, ألمانيا, أيسلندا, إسبانيا, إيطاليا, الأرجنتين, البرتغال, الدنمارك, السويد, المكسيك, النرويج, النمسا, الهند, الولايات المتحدة, اليابان, ايرلندا, بريطانيا العظمي, بولندا, تركيا, تشيلي, رومانيا, زيلاندا الجديدة, سويسرا, فرنسا, فنزويلا, فنلندا, كندا, كولومبيا, ماليزيا, هنغاريا, هولندا, يونان
Daptomicina إسبانيا, إيطاليا, الأرجنتين
Daptomicine ألمانيا, النرويج, بريطانيا العظمي, فنلندا, هنغاريا
Exfuno البرازيل, تشيلي
Stenkivar نيجيريا
Trisk البرازيل
استقرار مخاليط   حقن   استقرار مخاليط : Daptomycin     
حاوية مذيب تركيز مركب درجة الحرارة تخزين مدة الاستقرار مراجع
محقنة البولي بروبلين محلول رينجر  اللاكتات 5 mg/ml
حقن   Daptomycin   
حقن   Heparin sodium 100 UI/ml
-20°C
14 يوم
بعيدا عن الضوء 3665
B مستوى الأدلة
محقنة البولي بروبلين محلول رينجر  اللاكتات 5 mg/ml
حقن   Daptomycin   
حقن   Heparin sodium 100 UI/ml
4°C
14 يوم
لم يتم تحديد 3665
B مستوى الأدلة
لم يتم تحديد كلوريد الصوديوم 0.9% 16,7 mg/ml
حقن   Daptomycin   
حقن   Aztreonam 16,7 mg/ml
22°C-28°C
2 ساعة
لم يتم تحديد 1937
C+ مستوى الأدلة
لم يتم تحديد كلوريد الصوديوم 0.9% 16,7 mg/ml
حقن   Daptomycin   
حقن   Ceftazidime 16,7 mg/ml
22°C-28°C
2 ساعة
لم يتم تحديد 1937
C+ مستوى الأدلة
لم يتم تحديد كلوريد الصوديوم 0.9% 16,7 mg/ml
حقن   Daptomycin   
حقن   Ceftriaxone disodium 16,7 mg/ml
22°C-28°C
2 ساعة
لم يتم تحديد 1937
C+ مستوى الأدلة
لم يتم تحديد كلوريد الصوديوم 0.9% 16,7 mg/ml
حقن   Daptomycin   
حقن   Lidocaine hydrochloride 3,3 mg/ml
22°C-28°C
2 ساعة
لم يتم تحديد 1937
C+ مستوى الأدلة
لم يتم تحديد كلوريد الصوديوم 0.9% 18,2 mg/ml
حقن   Daptomycin   
حقن   Dopamine hydrochloride 3,6 mg/ml
22°C-28°C
2 ساعة
لم يتم تحديد 1937
C+ مستوى الأدلة
لم يتم تحديد كلوريد الصوديوم 0.9% 19,2 mg/ml
حقن   Daptomycin   
حقن   Gentamicin sulfate 1,5 mg/ml
22°C-28°C
2 ساعة
لم يتم تحديد 1937
C+ مستوى الأدلة
لم يتم تحديد كلوريد الصوديوم 0.9% 6,3 mg/ml
حقن   Daptomycin   
حقن   Fluconazole 1,3 mg/ml
22°C-28°C
2 ساعة
لم يتم تحديد 1937
C+ مستوى الأدلة
لم يتم تحديد كلوريد الصوديوم 0.9% 19,6 mg/ml
حقن   Daptomycin   
حقن   Heparin sodium 5000 UI/ml
22°C-28°C
2 ساعة
لم يتم تحديد 1937
C+ مستوى الأدلة
لم يتم تحديد كلوريد الصوديوم 0.9% 14,3 mg/ml
حقن   Daptomycin   
حقن   Levofloxacine 7,1 mg/ml
22°C-28°C
2 ساعة
لم يتم تحديد 1937
C+ مستوى الأدلة

  Mentions Légales