Poslední aktualizace :
27/11/2025
Antibiotikas   Daptomycin  
Įpurškimas
Tirpalų stabilumas Mišinių stabilumas Stabilumą lemiantys veiksniai Suderinamumas Leidimo būdai Bibliografija pdf
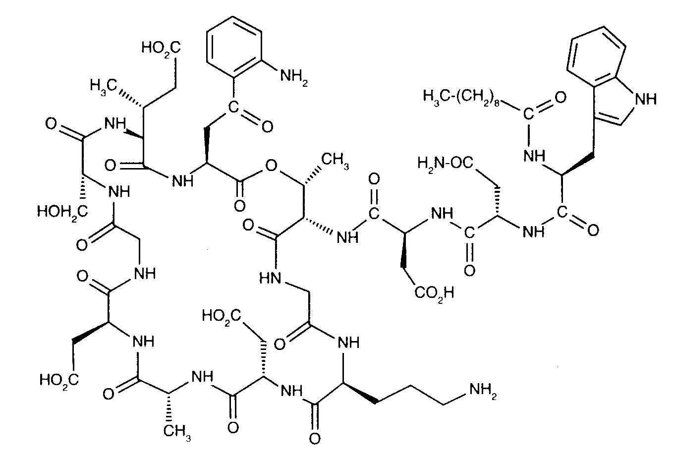
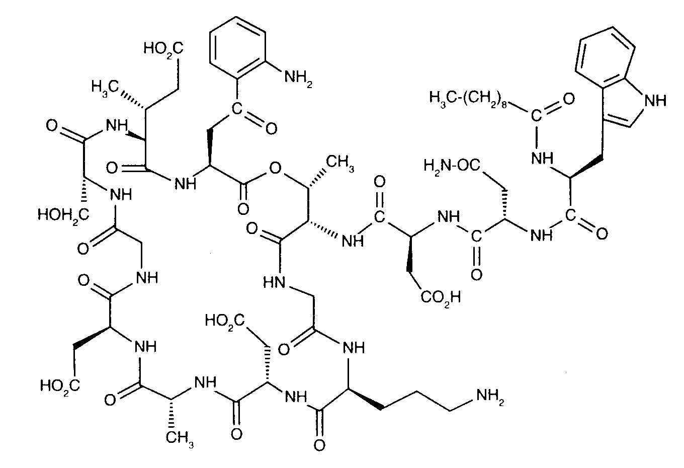
   Cheminė sandara  

Prekinis pavadinimas   Prekinis pavadinimas     

Trade names are indicative and excipients composition can be different depending on the country and manufacturers

Cubicin Airija, Argentina, Australija, Austrija, Čilė, Danija, Didžioji Britanija, Graikija, Indija, Islandija, Ispanija, Italija, Japonija, Jungtinės Amerikos Valstijos, Kanada, Kolumbija, Lenkija, Malaizija, Meksikas, Naujojoje Zelandijoje, Norvegija, Olandija, Portugalija, Prancūzija, Rumunija, Suomija, Švedija, Šveicarija, Turkija, Venesuela, Vengrija, Vokietija
Daptomicina Argentina, Ispanija, Italija
Daptomicine Didžioji Britanija, Norvegija, Suomija, Vengrija, Vokietija
Exfuno Brazilija, Čilė
Stenkivar Nigerija
Trisk Brazilija
Mišinių stabilumas   Įpurškimas   Mišinių stabilumas : Daptomycin     
Pakuotė Tirpiklis Koncentracija Molekulė Temperatūra Laikymas Stabilumo trukmė Nuorodos
Švirkštas polipropileno Ringerio laktato tirpalas 5 mg/ml
Įpurškimas   Daptomycin   
Įpurškimas   Heparin sodium 100 UI/ml
-20°C
14 Diena
Apsaugotas nuo šviesos 3665
Bandymo lygis B
Švirkštas polipropileno Ringerio laktato tirpalas 5 mg/ml
Įpurškimas   Daptomycin   
Įpurškimas   Heparin sodium 100 UI/ml
4°C
14 Diena
Nenurodyta 3665
Bandymo lygis B
Nenurodyta Natrio chloridas 0,9% 16,7 mg/ml
Įpurškimas   Daptomycin   
Įpurškimas   Aztreonam 16,7 mg/ml
22°C-28°C
2 Valanda
Nenurodyta 1937
Bandymo lygis C+
Nenurodyta Natrio chloridas 0,9% 16,7 mg/ml
Įpurškimas   Daptomycin   
Įpurškimas   Ceftazidime 16,7 mg/ml
22°C-28°C
2 Valanda
Nenurodyta 1937
Bandymo lygis C+
Nenurodyta Natrio chloridas 0,9% 16,7 mg/ml
Įpurškimas   Daptomycin   
Įpurškimas   Ceftriaxone disodium 16,7 mg/ml
22°C-28°C
2 Valanda
Nenurodyta 1937
Bandymo lygis C+
Nenurodyta Natrio chloridas 0,9% 16,7 mg/ml
Įpurškimas   Daptomycin   
Įpurškimas   Lidocaine hydrochloride 3,3 mg/ml
22°C-28°C
2 Valanda
Nenurodyta 1937
Bandymo lygis C+
Nenurodyta Natrio chloridas 0,9% 18,2 mg/ml
Įpurškimas   Daptomycin   
Įpurškimas   Dopamine hydrochloride 3,6 mg/ml
22°C-28°C
2 Valanda
Nenurodyta 1937
Bandymo lygis C+
Nenurodyta Natrio chloridas 0,9% 19,2 mg/ml
Įpurškimas   Daptomycin   
Įpurškimas   Gentamicin sulfate 1,5 mg/ml
22°C-28°C
2 Valanda
Nenurodyta 1937
Bandymo lygis C+
Nenurodyta Natrio chloridas 0,9% 6,3 mg/ml
Įpurškimas   Daptomycin   
Įpurškimas   Fluconazole 1,3 mg/ml
22°C-28°C
2 Valanda
Nenurodyta 1937
Bandymo lygis C+
Nenurodyta Natrio chloridas 0,9% 19,6 mg/ml
Įpurškimas   Daptomycin   
Įpurškimas   Heparin sodium 5000 UI/ml
22°C-28°C
2 Valanda
Nenurodyta 1937
Bandymo lygis C+
Nenurodyta Natrio chloridas 0,9% 14,3 mg/ml
Įpurškimas   Daptomycin   
Įpurškimas   Levofloxacine 7,1 mg/ml
22°C-28°C
2 Valanda
Nenurodyta 1937
Bandymo lygis C+

  Mentions Légales