Posledná aktualizácia :
18/03/2026
antibiotikum   Daptomycin  
Injekcia
Stabilita roztokov Stabilita v zmesiach Faktory ovplyvňujúce stabilitu Kompatibility spôsob podania Odkazy na literatúru PDF
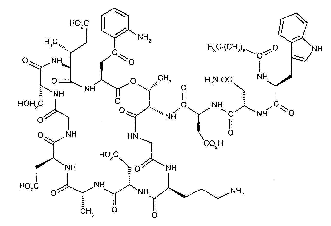
   Chemický vzorec  

Obchodný názov   Obchodný názov     

Obchodné názvy sú orientačné, a zloženie pomocných látok sa môže líšiť v závislosti od krajiny a výrobcu.

Cubicin Argentína, Austrália, Čile, Dánsko, Fínsko, Francúzsko, Grécko, Holandsko, India, Írsko, Island, Japonsko, Kanada, Kolumbia, Maďarsko, Malajzia, Mexiko, Nemecko, Nórsko, nový Zéland, Poľsko, Portugalsko, Rakúsko, Rumunsko, Španielsko, Spojené štáty Americké, Švajčiarsko, Švédsko, Taliansko, Turecko, Veľká Británia, Venezuela
Daptomicina Argentína, Španielsko, Taliansko
Daptomicine Fínsko, Maďarsko, Nemecko, Nórsko, Veľká Británia
Exfuno Brazília, Čile
Stenkivar Nigéria
Trisk Brazília
Stabilita v zmesiach   Injekcia   Stabilita v zmesiach : Daptomycin     
obal rozpúšťadlo koncentrácia Zlúčenina teplota uchovávanie Trvanie stability odkazy na lieteratúru
Injekčná striekačka polypropylén Ringerov laktátový roztok 5 mg/ml
Injekcia   Daptomycin   
Injekcia   Heparin sodium 100 UI/ml
-20°C
14 dní
Chránené pred svetlom 3665
Úroveň dôkazov B
Injekčná striekačka polypropylén Ringerov laktátový roztok 5 mg/ml
Injekcia   Daptomycin   
Injekcia   Heparin sodium 100 UI/ml
4°C
14 dní
nešpecifikované 3665
Úroveň dôkazov B
nešpecifikované 0,9% chlorid sodný 16,7 mg/ml
Injekcia   Daptomycin   
Injekcia   Aztreonam 16,7 mg/ml
22°C-28°C
2 hodín
nešpecifikované 1937
Úroveň dôkazov C+
nešpecifikované 0,9% chlorid sodný 16,7 mg/ml
Injekcia   Daptomycin   
Injekcia   Ceftazidime 16,7 mg/ml
22°C-28°C
2 hodín
nešpecifikované 1937
Úroveň dôkazov C+
nešpecifikované 0,9% chlorid sodný 16,7 mg/ml
Injekcia   Daptomycin   
Injekcia   Ceftriaxone disodium 16,7 mg/ml
22°C-28°C
2 hodín
nešpecifikované 1937
Úroveň dôkazov C+
nešpecifikované 0,9% chlorid sodný 16,7 mg/ml
Injekcia   Daptomycin   
Injekcia   Lidocaine hydrochloride 3,3 mg/ml
22°C-28°C
2 hodín
nešpecifikované 1937
Úroveň dôkazov C+
nešpecifikované 0,9% chlorid sodný 18,2 mg/ml
Injekcia   Daptomycin   
Injekcia   Dopamine hydrochloride 3,6 mg/ml
22°C-28°C
2 hodín
nešpecifikované 1937
Úroveň dôkazov C+
nešpecifikované 0,9% chlorid sodný 19,2 mg/ml
Injekcia   Daptomycin   
Injekcia   Gentamicin sulfate 1,5 mg/ml
22°C-28°C
2 hodín
nešpecifikované 1937
Úroveň dôkazov C+
nešpecifikované 0,9% chlorid sodný 6,3 mg/ml
Injekcia   Daptomycin   
Injekcia   Fluconazole 1,3 mg/ml
22°C-28°C
2 hodín
nešpecifikované 1937
Úroveň dôkazov C+
nešpecifikované 0,9% chlorid sodný 19,6 mg/ml
Injekcia   Daptomycin   
Injekcia   Heparin sodium 5000 UI/ml
22°C-28°C
2 hodín
nešpecifikované 1937
Úroveň dôkazov C+
nešpecifikované 0,9% chlorid sodný 14,3 mg/ml
Injekcia   Daptomycin   
Injekcia   Levofloxacine 7,1 mg/ml
22°C-28°C
2 hodín
nešpecifikované 1937
Úroveň dôkazov C+

  Mentions Légales