Pēdējā atjaunošana :
27/11/2025
Antibiotika   Daptomycin  
Injekcija
Šķīduma stabilitāte Maisījuma stabilitāte Stabilitāti ietekmējoši faktori Saderība Levadīšanas veids Literatūras saraksts pdf
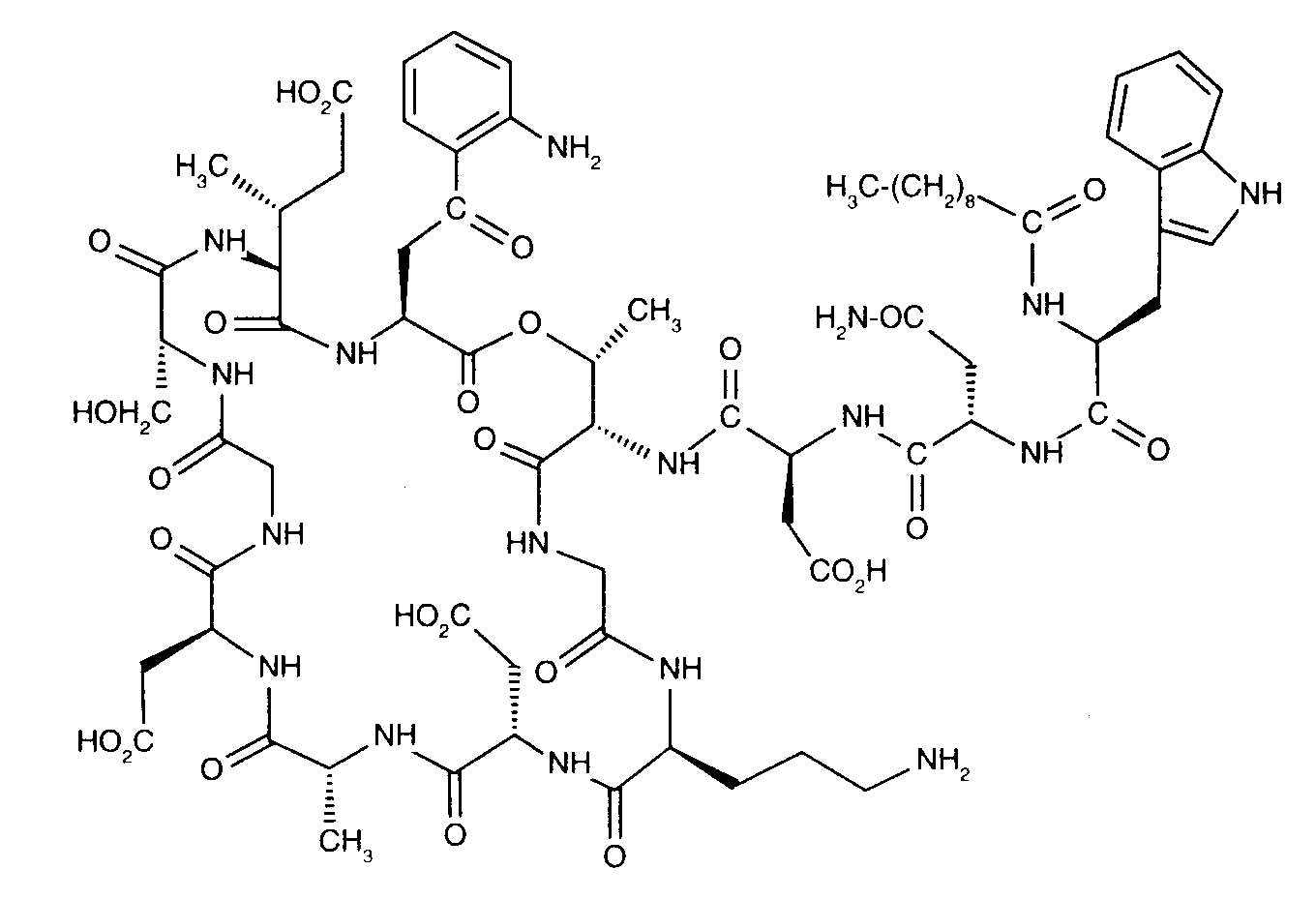
   Ķīmiskā uzbūve   

Oriģinālais nosaukums   Oriģinālais nosaukums     

Tirdzniecības nosaukumi ir apzīmējoši un palīgvielas var atšķirties dažādām valstīm un laboratorijām

Cubicin Amerikas Savienotās Valstis, Argentīna, Austrālija, Austrija, Čīle, Dānija, Francija, Grieķija, Holande, Indija, Īrija, Islande, Itālija, Japāna, Jaunzēlande, Kanāda, Kolumbija, Lielbritānija, Malaizija, Meksika, Norvēģija, Polija, Portugāle, Rumānija, Somija, Spānija, Šveice, Turcija, Ungārija, Vācija, Venecuēla, Zviedrija
Daptomicina Argentīna, Itālija, Spānija
Daptomicine Lielbritānija, Norvēģija, Somija, Ungārija, Vācija
Exfuno Brazīlija, Čīle
Stenkivar Nigērija
Trisk Brazīlija
Maisījuma stabilitāte   Injekcija   Maisījuma stabilitāte : Daptomycin     
Iepakojums Šķīdinātājs Koncentrācija Savienojums Temperatūra Glabāšana Stabilitātes ilgums Literatūras saraksts
Šļirce polipropilēna Ringera laktāta šķīdums 5 mg/ml
Injekcija   Daptomycin   
Injekcija   Heparin sodium 100 UI/ml
-20°C
14 Diena
Aizsargāt no gaismas 3665
Pierādījumu līmenis B
Šļirce polipropilēna Ringera laktāta šķīdums 5 mg/ml
Injekcija   Daptomycin   
Injekcija   Heparin sodium 100 UI/ml
4°C
14 Diena
Nav specifisks 3665
Pierādījumu līmenis B
Nespecifisks Nātrija hlorīds 0.9% 16,7 mg/ml
Injekcija   Daptomycin   
Injekcija   Aztreonam 16,7 mg/ml
22°C-28°C
2 Stunda
Nav specifisks 1937
Pierādījumu līmenis C+
Nespecifisks Nātrija hlorīds 0.9% 16,7 mg/ml
Injekcija   Daptomycin   
Injekcija   Ceftazidime 16,7 mg/ml
22°C-28°C
2 Stunda
Nav specifisks 1937
Pierādījumu līmenis C+
Nespecifisks Nātrija hlorīds 0.9% 16,7 mg/ml
Injekcija   Daptomycin   
Injekcija   Ceftriaxone disodium 16,7 mg/ml
22°C-28°C
2 Stunda
Nav specifisks 1937
Pierādījumu līmenis C+
Nespecifisks Nātrija hlorīds 0.9% 16,7 mg/ml
Injekcija   Daptomycin   
Injekcija   Lidocaine hydrochloride 3,3 mg/ml
22°C-28°C
2 Stunda
Nav specifisks 1937
Pierādījumu līmenis C+
Nespecifisks Nātrija hlorīds 0.9% 18,2 mg/ml
Injekcija   Daptomycin   
Injekcija   Dopamine hydrochloride 3,6 mg/ml
22°C-28°C
2 Stunda
Nav specifisks 1937
Pierādījumu līmenis C+
Nespecifisks Nātrija hlorīds 0.9% 19,2 mg/ml
Injekcija   Daptomycin   
Injekcija   Gentamicin sulfate 1,5 mg/ml
22°C-28°C
2 Stunda
Nav specifisks 1937
Pierādījumu līmenis C+
Nespecifisks Nātrija hlorīds 0.9% 6,3 mg/ml
Injekcija   Daptomycin   
Injekcija   Fluconazole 1,3 mg/ml
22°C-28°C
2 Stunda
Nav specifisks 1937
Pierādījumu līmenis C+
Nespecifisks Nātrija hlorīds 0.9% 19,6 mg/ml
Injekcija   Daptomycin   
Injekcija   Heparin sodium 5000 UI/ml
22°C-28°C
2 Stunda
Nav specifisks 1937
Pierādījumu līmenis C+
Nespecifisks Nātrija hlorīds 0.9% 14,3 mg/ml
Injekcija   Daptomycin   
Injekcija   Levofloxacine 7,1 mg/ml
22°C-28°C
2 Stunda
Nav specifisks 1937
Pierādījumu līmenis C+

  Mentions Légales