Ultimele actualizari :
18/03/2026
Antibiotic   Daptomycin  
Injectabil
Stabilitatea in solutie Stabilitatea in amestec Factorii care influenteaza stabilitatea Compatibilitate Microunde Bibliografie pdf
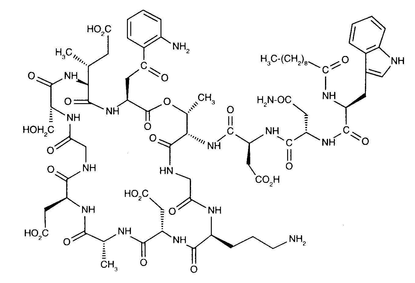
   Formula chimica  

Denumirea comerciala   Denumirea comerciala     

Trade names are indicative and excipients composition can be different depending on the country and manufacturers

Cubicin Argentina, Australia, Austria, Canada, Chilli, Columbia, Danemarca, Elvetia, Finlanda, Franta, Germania, Grecia, India, Irlanda, Islanda, Italia, Japonia, Malaezia, Marea Britanie, Mexic, Norvegia, noua Zeelandă, Olanda, Polonia, Portugalia, Romania, Spania, SUA, Suedia, Turcia, Ungaria, Venezuela
Daptomicina Argentina, Italia, Spania
Daptomicine Finlanda, Germania, Marea Britanie, Norvegia, Ungaria
Exfuno Brazilia, Chilli
Stenkivar Nigeria
Trisk Brazilia
Stabilitatea in amestec   Injectabil   Stabilitatea in amestec : Daptomycin     
Continut Solvent Concentratie Molecula (substanta activa) Temperatura Conservare Durata stabilității Bibiografie
seringă polipropileno Solutie Ringer lactat 5 mg/ml
Injectabil   Daptomycin   
Injectabil   Heparin sodium 100 UI/ml
-20°C
14 Ziua
Ferit de lumina 3665
Nivel de evidență B
seringă polipropileno Solutie Ringer lactat 5 mg/ml
Injectabil   Daptomycin   
Injectabil   Heparin sodium 100 UI/ml
4°C
14 Ziua
Neprecizat 3665
Nivel de evidență B
neprecizat clorura de sodiu 0,9% 16,7 mg/ml
Injectabil   Daptomycin   
Injectabil   Aztreonam 16,7 mg/ml
22°C-28°C
2 Ora
Neprecizat 1937
Nivel de evidență C+
neprecizat clorura de sodiu 0,9% 16,7 mg/ml
Injectabil   Daptomycin   
Injectabil   Ceftazidime 16,7 mg/ml
22°C-28°C
2 Ora
Neprecizat 1937
Nivel de evidență C+
neprecizat clorura de sodiu 0,9% 16,7 mg/ml
Injectabil   Daptomycin   
Injectabil   Ceftriaxone disodium 16,7 mg/ml
22°C-28°C
2 Ora
Neprecizat 1937
Nivel de evidență C+
neprecizat clorura de sodiu 0,9% 16,7 mg/ml
Injectabil   Daptomycin   
Injectabil   Lidocaine hydrochloride 3,3 mg/ml
22°C-28°C
2 Ora
Neprecizat 1937
Nivel de evidență C+
neprecizat clorura de sodiu 0,9% 18,2 mg/ml
Injectabil   Daptomycin   
Injectabil   Dopamine hydrochloride 3,6 mg/ml
22°C-28°C
2 Ora
Neprecizat 1937
Nivel de evidență C+
neprecizat clorura de sodiu 0,9% 19,2 mg/ml
Injectabil   Daptomycin   
Injectabil   Gentamicin sulfate 1,5 mg/ml
22°C-28°C
2 Ora
Neprecizat 1937
Nivel de evidență C+
neprecizat clorura de sodiu 0,9% 6,3 mg/ml
Injectabil   Daptomycin   
Injectabil   Fluconazole 1,3 mg/ml
22°C-28°C
2 Ora
Neprecizat 1937
Nivel de evidență C+
neprecizat clorura de sodiu 0,9% 19,6 mg/ml
Injectabil   Daptomycin   
Injectabil   Heparin sodium 5000 UI/ml
22°C-28°C
2 Ora
Neprecizat 1937
Nivel de evidență C+
neprecizat clorura de sodiu 0,9% 14,3 mg/ml
Injectabil   Daptomycin   
Injectabil   Levofloxacine 7,1 mg/ml
22°C-28°C
2 Ora
Neprecizat 1937
Nivel de evidență C+

  Mentions Légales