Последнее обновление :
18/03/2026
Антибиотик   Daptomycin  
Инъекция
Стабильность растворов Стабильность смесей Факторы, которые влияют на стабильность Совместимость Способы введения Библиография pdf
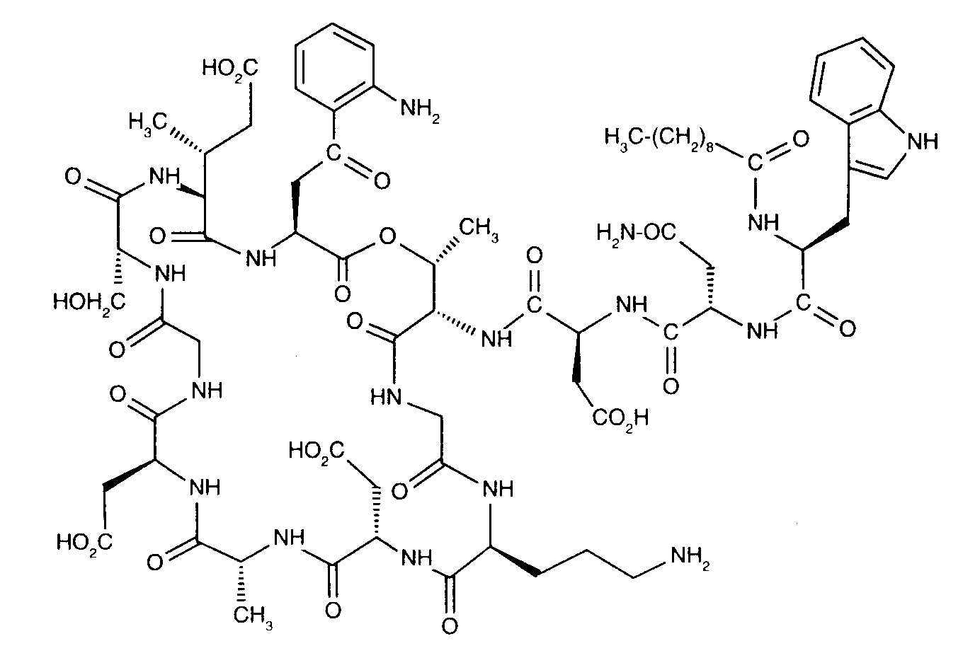
   Химическая структура  

Товарное название   Товарное название     

Trade names are indicative and excipients composition can be different depending on the country and manufacturers

Cubicin Австралия, Австрия, Аргентина, Великобритания, Венгрия, Венесуэла, Германия, Голландия, Греция, Дания, Индия, Ирландия, Исландия, Испания, Италия, Канада, Колумбия, Малайзия, Мексика, новая Зеландия, Норвегия, Польша, Португалия, Румыния, Соединённые Штаты Америки, Турция, Финляндия, Франция, чили, Швейцария, Швеция, Япония
Daptomicina Аргентина, Испания, Италия
Daptomicine Великобритания, Венгрия, Германия, Норвегия, Финляндия
Exfuno Бразилия, чили
Stenkivar Нигерия
Trisk Бразилия
Стабильность смесей   Инъекция   Стабильность смесей : Daptomycin     
Упаковка Растворитель Концентрация Молекула Температура Хранение Продолжительность стабильности Ссылки
Шприц полипропилен Раствор Рингера лактата 5 mg/ml
Инъекция   Daptomycin   
Инъекция   Heparin sodium 100 UI/ml
-20°C
14 День
Защищён от света 3665
Уровень доказательности B
Шприц полипропилен Раствор Рингера лактата 5 mg/ml
Инъекция   Daptomycin   
Инъекция   Heparin sodium 100 UI/ml
4°C
14 День
Не указано 3665
Уровень доказательности B
Не указано Натрия хлорид 0,9% 16,7 mg/ml
Инъекция   Daptomycin   
Инъекция   Aztreonam 16,7 mg/ml
22°C-28°C
2 Час
Не указано 1937
Уровень доказательности C+
Не указано Натрия хлорид 0,9% 16,7 mg/ml
Инъекция   Daptomycin   
Инъекция   Ceftazidime 16,7 mg/ml
22°C-28°C
2 Час
Не указано 1937
Уровень доказательности C+
Не указано Натрия хлорид 0,9% 16,7 mg/ml
Инъекция   Daptomycin   
Инъекция   Ceftriaxone disodium 16,7 mg/ml
22°C-28°C
2 Час
Не указано 1937
Уровень доказательности C+
Не указано Натрия хлорид 0,9% 16,7 mg/ml
Инъекция   Daptomycin   
Инъекция   Lidocaine hydrochloride 3,3 mg/ml
22°C-28°C
2 Час
Не указано 1937
Уровень доказательности C+
Не указано Натрия хлорид 0,9% 18,2 mg/ml
Инъекция   Daptomycin   
Инъекция   Dopamine hydrochloride 3,6 mg/ml
22°C-28°C
2 Час
Не указано 1937
Уровень доказательности C+
Не указано Натрия хлорид 0,9% 19,2 mg/ml
Инъекция   Daptomycin   
Инъекция   Gentamicin sulfate 1,5 mg/ml
22°C-28°C
2 Час
Не указано 1937
Уровень доказательности C+
Не указано Натрия хлорид 0,9% 6,3 mg/ml
Инъекция   Daptomycin   
Инъекция   Fluconazole 1,3 mg/ml
22°C-28°C
2 Час
Не указано 1937
Уровень доказательности C+
Не указано Натрия хлорид 0,9% 19,6 mg/ml
Инъекция   Daptomycin   
Инъекция   Heparin sodium 5000 UI/ml
22°C-28°C
2 Час
Не указано 1937
Уровень доказательности C+
Не указано Натрия хлорид 0,9% 14,3 mg/ml
Инъекция   Daptomycin   
Инъекция   Levofloxacine 7,1 mg/ml
22°C-28°C
2 Час
Не указано 1937
Уровень доказательности C+

  Mentions Légales