Ultimo aggiornamento :
18/03/2026
Antibiotico   Daptomycin  
Iniezione
Stabilità in soluzione Stabilità in miscela Fattori che influenzano la stabilità Compatibilità metodo di iniezione Bibliografia pdf
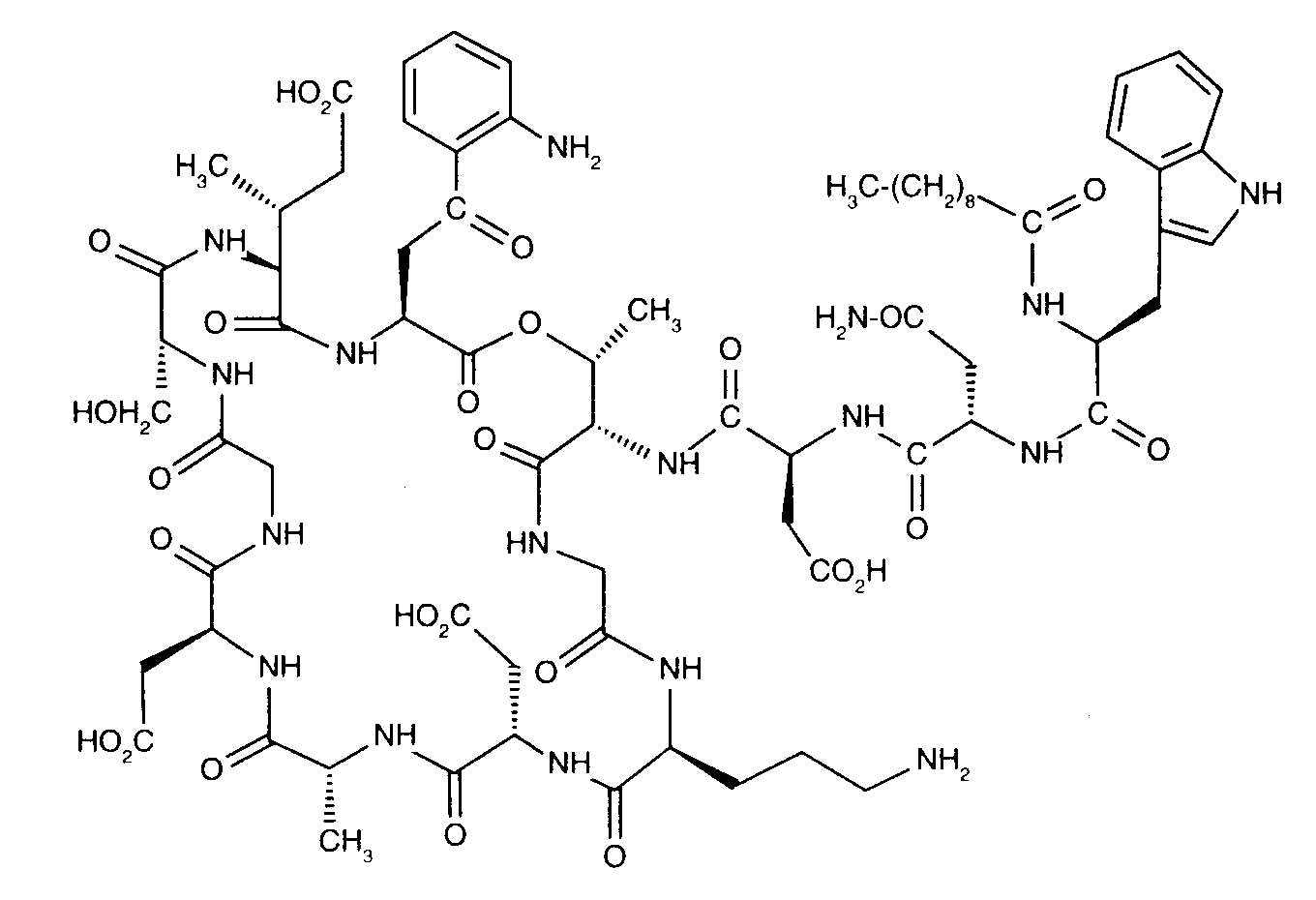
   Struttura chimica  

Nome commerciale   Nome commerciale     

Trade names are indicative and excipients composition can be different depending on the country and manufacturers

Cubicin Argentina, Australia, Austria, Canada, Chile, Colombia, Danimarca, Finlandia, Francia, Germania, Giappone, Gran Bretagna, Grecia, India, Irlanda, Islanda, Italia, Malaysia, Messico, Norvegia, nuova Zelanda, Paesi Bassi, Polonia, Portogallo, Romania, Spagna, Stati Uniti d’America, Svezia, Svizzera, Turchia, Ungheria, Venezuela
Daptomicina Argentina, Italia, Spagna
Daptomicine Finlandia, Germania, Gran Bretagna, Norvegia, Ungheria
Exfuno Brasile, Chile
Stenkivar Nigeria
Trisk Brasile
Stabilità in miscela   Iniezione   Stabilità in miscela : Daptomycin     
contenitore Solvente Concentrazione Molecola Temperatura Conservazione Durata della stabilità Bibliografia
siringa polipropilene Ringer lattato 5 mg/ml
Iniezione   Daptomycin   
Iniezione   Heparin sodium 100 UI/ml
-20°C
14 Giorno
Al riparo dalla luce 3665
Livello di evidenza B
siringa polipropilene Ringer lattato 5 mg/ml
Iniezione   Daptomycin   
Iniezione   Heparin sodium 100 UI/ml
4°C
14 Giorno
Non precisata 3665
Livello di evidenza B
Non precisato Cloruro di sodio 0,9% 16,7 mg/ml
Iniezione   Daptomycin   
Iniezione   Aztreonam 16,7 mg/ml
22°C-28°C
2 Ora
Non precisata 1937
Livello di evidenza C+
Non precisato Cloruro di sodio 0,9% 16,7 mg/ml
Iniezione   Daptomycin   
Iniezione   Ceftazidime 16,7 mg/ml
22°C-28°C
2 Ora
Non precisata 1937
Livello di evidenza C+
Non precisato Cloruro di sodio 0,9% 16,7 mg/ml
Iniezione   Daptomycin   
Iniezione   Ceftriaxone disodium 16,7 mg/ml
22°C-28°C
2 Ora
Non precisata 1937
Livello di evidenza C+
Non precisato Cloruro di sodio 0,9% 16,7 mg/ml
Iniezione   Daptomycin   
Iniezione   Lidocaine hydrochloride 3,3 mg/ml
22°C-28°C
2 Ora
Non precisata 1937
Livello di evidenza C+
Non precisato Cloruro di sodio 0,9% 18,2 mg/ml
Iniezione   Daptomycin   
Iniezione   Dopamine hydrochloride 3,6 mg/ml
22°C-28°C
2 Ora
Non precisata 1937
Livello di evidenza C+
Non precisato Cloruro di sodio 0,9% 19,2 mg/ml
Iniezione   Daptomycin   
Iniezione   Gentamicin sulfate 1,5 mg/ml
22°C-28°C
2 Ora
Non precisata 1937
Livello di evidenza C+
Non precisato Cloruro di sodio 0,9% 6,3 mg/ml
Iniezione   Daptomycin   
Iniezione   Fluconazole 1,3 mg/ml
22°C-28°C
2 Ora
Non precisata 1937
Livello di evidenza C+
Non precisato Cloruro di sodio 0,9% 19,6 mg/ml
Iniezione   Daptomycin   
Iniezione   Heparin sodium 5000 UI/ml
22°C-28°C
2 Ora
Non precisata 1937
Livello di evidenza C+
Non precisato Cloruro di sodio 0,9% 14,3 mg/ml
Iniezione   Daptomycin   
Iniezione   Levofloxacine 7,1 mg/ml
22°C-28°C
2 Ora
Non precisata 1937
Livello di evidenza C+

  Mentions Légales