zadnja posodobitev :
27/11/2025
Antibiotik   Daptomycin  
Brizgalka
Stabilnost raztopine Stabilnost mešanice Faktorji, ki vplivajo na stabilnost Kompatibilnost način aplikacije Viri pdf
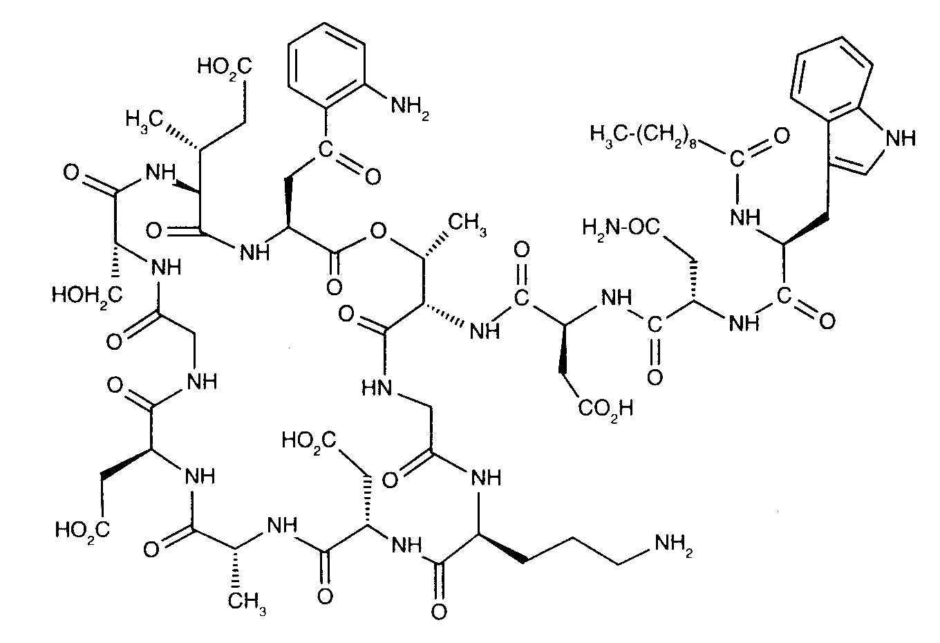
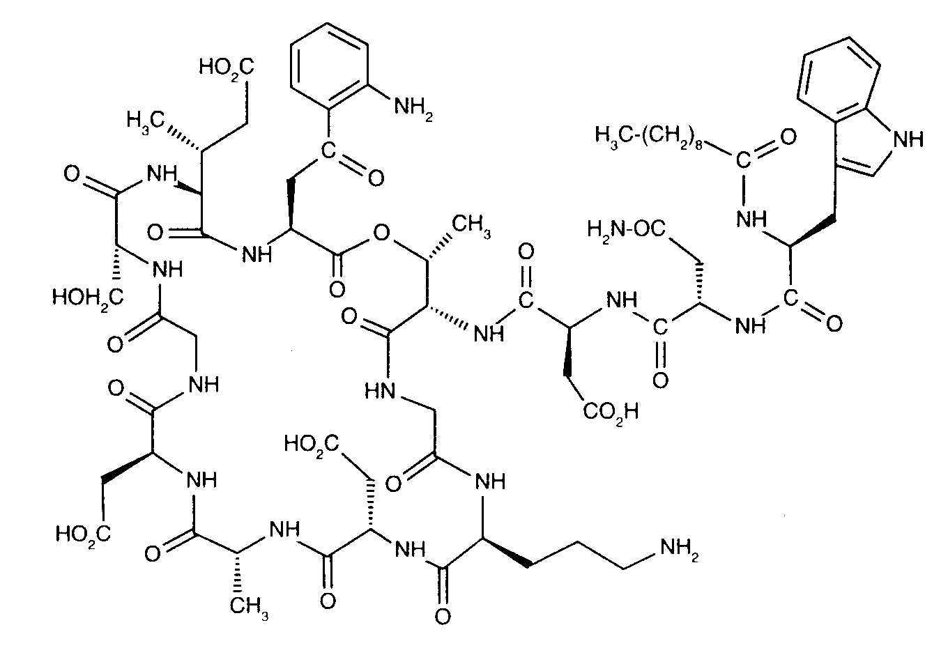
   Kemična formula  

Lastniško ime   Lastniško ime     

Sestava pomožnih snovi je med paralelami lahko različna

Cubicin Argentina, Avstralija, Avstrija, Čile, Danska, Finska, Francija, Grčija, Indija, Irska, Islandija, Italija, Japonska, Kanada, Kolumbija, Madžarska, Malezija, Mehika, Nemčija, Nizozemska, Norveška, nova Zelandija, Poljska, Portugalska, Romunija, Španija, Švedska, Švica, Turčija, Velika Britanija, Venezuela, Združene države Amerike
Daptomicina Argentina, Italija, Španija
Daptomicine Finska, Madžarska, Nemčija, Norveška, Velika Britanija
Exfuno Brazilija, Čile
Stenkivar Nigerija
Trisk Brazilija
Stabilnost mešanice   Brizgalka   Stabilnost mešanice : Daptomycin     
Vsebnik Topilo Koncentracija Sestava Temperatura Shranjevanje Trajanje stabilnosti Viri
Brizgalka polipropilen Ringerjev laktat 5 mg/ml
Brizgalka   Daptomycin   
Brizgalka   Heparin sodium 100 UI/ml
-20°C
14 Dan
Zaščiteno pred svetlobo 3665
 Stopnja dokaza B
Brizgalka polipropilen Ringerjev laktat 5 mg/ml
Brizgalka   Daptomycin   
Brizgalka   Heparin sodium 100 UI/ml
4°C
14 Dan
Nedoločeno 3665
 Stopnja dokaza B
Nedoločeno Natrijev klorid 0,9% 16,7 mg/ml
Brizgalka   Daptomycin   
Brizgalka   Aztreonam 16,7 mg/ml
22°C-28°C
2 čas
Nedoločeno 1937
 Stopnja dokaza C+
Nedoločeno Natrijev klorid 0,9% 16,7 mg/ml
Brizgalka   Daptomycin   
Brizgalka   Ceftazidime 16,7 mg/ml
22°C-28°C
2 čas
Nedoločeno 1937
 Stopnja dokaza C+
Nedoločeno Natrijev klorid 0,9% 16,7 mg/ml
Brizgalka   Daptomycin   
Brizgalka   Ceftriaxone disodium 16,7 mg/ml
22°C-28°C
2 čas
Nedoločeno 1937
 Stopnja dokaza C+
Nedoločeno Natrijev klorid 0,9% 16,7 mg/ml
Brizgalka   Daptomycin   
Brizgalka   Lidocaine hydrochloride 3,3 mg/ml
22°C-28°C
2 čas
Nedoločeno 1937
 Stopnja dokaza C+
Nedoločeno Natrijev klorid 0,9% 18,2 mg/ml
Brizgalka   Daptomycin   
Brizgalka   Dopamine hydrochloride 3,6 mg/ml
22°C-28°C
2 čas
Nedoločeno 1937
 Stopnja dokaza C+
Nedoločeno Natrijev klorid 0,9% 19,2 mg/ml
Brizgalka   Daptomycin   
Brizgalka   Gentamicin sulfate 1,5 mg/ml
22°C-28°C
2 čas
Nedoločeno 1937
 Stopnja dokaza C+
Nedoločeno Natrijev klorid 0,9% 6,3 mg/ml
Brizgalka   Daptomycin   
Brizgalka   Fluconazole 1,3 mg/ml
22°C-28°C
2 čas
Nedoločeno 1937
 Stopnja dokaza C+
Nedoločeno Natrijev klorid 0,9% 19,6 mg/ml
Brizgalka   Daptomycin   
Brizgalka   Heparin sodium 5000 UI/ml
22°C-28°C
2 čas
Nedoločeno 1937
 Stopnja dokaza C+
Nedoločeno Natrijev klorid 0,9% 14,3 mg/ml
Brizgalka   Daptomycin   
Brizgalka   Levofloxacine 7,1 mg/ml
22°C-28°C
2 čas
Nedoločeno 1937
 Stopnja dokaza C+

  Mentions Légales