Son güncelleme :
18/03/2026
Antibiyotik   Daptomycin  
Enjeksiyon
Çözeltilerin stabilitesi Karışımlardaki stabilitesi Stabiliteyi etkileyen faktörler Uyumluluk Uygulama yöntemi Kaynaklar pdf
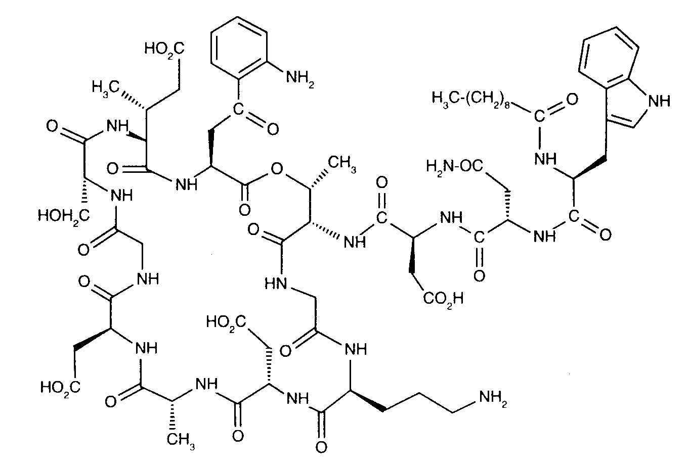
   Kimyasal yapı   

Ticari isim   Ticari isim     

Trade names are indicative and excipients composition can be different depending on the country and manufacturers

Cubicin Almanya, Amerika Birleşik Devletleri, Arjantin, Avustralya, Avusturya, Büyük Britanya, Danimarka, Finlandiya, Fransa, Hindistan, Hollanda, İrlanda, İspanya, İsveç, İsviçre, İtalya, İzlanda, Japonya, Kanada, Kolombiya, Macaristan, Malezya, Meksika, Norveç, Polonya, Portekiz, Romanya, Şili, Türkiye, Venezuela, yeni Zelanda, Yunanistan
Daptomicina Arjantin, İspanya, İtalya
Daptomicine Almanya, Büyük Britanya, Finlandiya, Macaristan, Norveç
Exfuno Brezilya, Şili
Stenkivar Nijerya
Trisk Brezilya
Karışımlardaki stabilitesi   Enjeksiyon    Karışımlardaki stabilitesi : Daptomycin     
Saklama kabı Çözücü Konsantrasyon Bileşik Isı Saklama    Stabilite süresi Kaynaklar
Şırınga polipropilen Laktatlı ringer 5 mg/ml
Enjeksiyon   Daptomycin   
Enjeksiyon   Heparin sodium 100 UI/ml
-20°C
14 Gün
Işıktan koruyunuz 3665
Kanıt düzeyi B
Şırınga polipropilen Laktatlı ringer 5 mg/ml
Enjeksiyon   Daptomycin   
Enjeksiyon   Heparin sodium 100 UI/ml
4°C
14 Gün
Belirtilmemiş 3665
Kanıt düzeyi B
Belirtilmemiş Sodyum klorür % 0,9 16,7 mg/ml
Enjeksiyon   Daptomycin   
Enjeksiyon   Aztreonam 16,7 mg/ml
22°C-28°C
2 Zaman
Belirtilmemiş 1937
Kanıt düzeyi C+
Belirtilmemiş Sodyum klorür % 0,9 16,7 mg/ml
Enjeksiyon   Daptomycin   
Enjeksiyon   Ceftazidime 16,7 mg/ml
22°C-28°C
2 Zaman
Belirtilmemiş 1937
Kanıt düzeyi C+
Belirtilmemiş Sodyum klorür % 0,9 16,7 mg/ml
Enjeksiyon   Daptomycin   
Enjeksiyon   Ceftriaxone disodium 16,7 mg/ml
22°C-28°C
2 Zaman
Belirtilmemiş 1937
Kanıt düzeyi C+
Belirtilmemiş Sodyum klorür % 0,9 16,7 mg/ml
Enjeksiyon   Daptomycin   
Enjeksiyon   Lidocaine hydrochloride 3,3 mg/ml
22°C-28°C
2 Zaman
Belirtilmemiş 1937
Kanıt düzeyi C+
Belirtilmemiş Sodyum klorür % 0,9 18,2 mg/ml
Enjeksiyon   Daptomycin   
Enjeksiyon   Dopamine hydrochloride 3,6 mg/ml
22°C-28°C
2 Zaman
Belirtilmemiş 1937
Kanıt düzeyi C+
Belirtilmemiş Sodyum klorür % 0,9 19,2 mg/ml
Enjeksiyon   Daptomycin   
Enjeksiyon   Gentamicin sulfate 1,5 mg/ml
22°C-28°C
2 Zaman
Belirtilmemiş 1937
Kanıt düzeyi C+
Belirtilmemiş Sodyum klorür % 0,9 6,3 mg/ml
Enjeksiyon   Daptomycin   
Enjeksiyon   Fluconazole 1,3 mg/ml
22°C-28°C
2 Zaman
Belirtilmemiş 1937
Kanıt düzeyi C+
Belirtilmemiş Sodyum klorür % 0,9 19,6 mg/ml
Enjeksiyon   Daptomycin   
Enjeksiyon   Heparin sodium 5000 UI/ml
22°C-28°C
2 Zaman
Belirtilmemiş 1937
Kanıt düzeyi C+
Belirtilmemiş Sodyum klorür % 0,9 14,3 mg/ml
Enjeksiyon   Daptomycin   
Enjeksiyon   Levofloxacine 7,1 mg/ml
22°C-28°C
2 Zaman
Belirtilmemiş 1937
Kanıt düzeyi C+

  Mentions Légales