Seneste opdatering :
18/03/2026
Antibiotisk   Daptomycin  
Injektion
Stabilitet i (vandige) opløsninger Stabilitet i blandinger Faktorer der påvirker stabiliteten Kompatibilitet Administrationsvej Bibliografi pdf
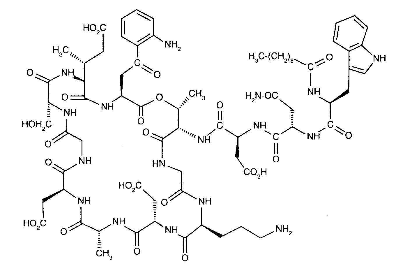
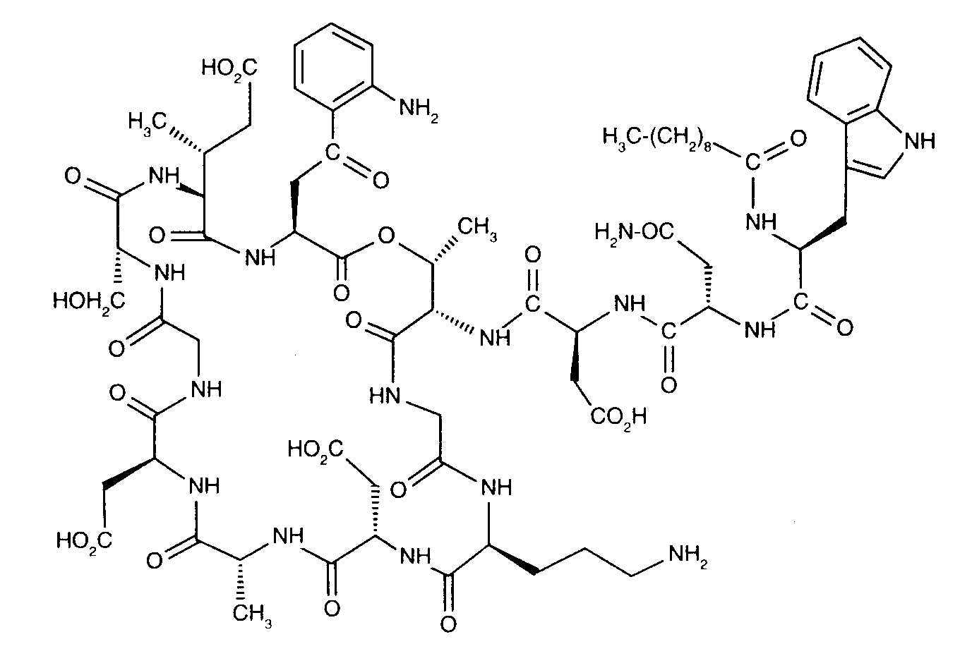
   Kemisk struktur  

Handelsnavn   Handelsnavn     

Handel navne er vejledende og hjælpestoffer sammensætning kan være forskellig afhængigt af landet og laboratorier

Cubicin Argentina, Australien, Canada, Chile, Colombia, Danmark, Finland, Frankrig, Grækenland, Holland, Indien, Irland, Island, Italien, Japan, Malaysia, Mexico, New Zealand, Norge, Polen, Portugal, Rumænien, Schweiz, Spanien, Storbritanien, Sverige, Tyrkiet, Tyskland, Ungarn, USA, Venezuela, Østrig
Daptomicina Argentina, Italien, Spanien
Daptomicine Finland, Norge, Storbritanien, Tyskland, Ungarn
Exfuno Brasilien, Chile
Stenkivar Nigeria
Trisk Brasilien
Stabilitet i blandinger   Injektion   Stabilitet i blandinger : Daptomycin     
Beholder Opløsningsmiddel Koncentration Molekyle Temperatur Konservering Varighed af stabilitet Bibliografi
sprøjte polypropylen Ringer laktat 5 mg/ml
Injektion   Daptomycin   
Injektion   Heparin sodium 100 UI/ml
-20°C
14 Dag
Beskyt mod lys 3665
Level af bevismateriale B
sprøjte polypropylen Ringer laktat 5 mg/ml
Injektion   Daptomycin   
Injektion   Heparin sodium 100 UI/ml
4°C
14 Dag
Ikke nærmere angivet 3665
Level af bevismateriale B
Ikke angivet nærmere 0,9 % Natriumklorid 16,7 mg/ml
Injektion   Daptomycin   
Injektion   Aztreonam 16,7 mg/ml
22°C-28°C
2 Time
Ikke nærmere angivet 1937
Level af bevismateriale C+
Ikke angivet nærmere 0,9 % Natriumklorid 16,7 mg/ml
Injektion   Daptomycin   
Injektion   Ceftazidime 16,7 mg/ml
22°C-28°C
2 Time
Ikke nærmere angivet 1937
Level af bevismateriale C+
Ikke angivet nærmere 0,9 % Natriumklorid 16,7 mg/ml
Injektion   Daptomycin   
Injektion   Ceftriaxone disodium 16,7 mg/ml
22°C-28°C
2 Time
Ikke nærmere angivet 1937
Level af bevismateriale C+
Ikke angivet nærmere 0,9 % Natriumklorid 16,7 mg/ml
Injektion   Daptomycin   
Injektion   Lidocaine hydrochloride 3,3 mg/ml
22°C-28°C
2 Time
Ikke nærmere angivet 1937
Level af bevismateriale C+
Ikke angivet nærmere 0,9 % Natriumklorid 18,2 mg/ml
Injektion   Daptomycin   
Injektion   Dopamine hydrochloride 3,6 mg/ml
22°C-28°C
2 Time
Ikke nærmere angivet 1937
Level af bevismateriale C+
Ikke angivet nærmere 0,9 % Natriumklorid 19,2 mg/ml
Injektion   Daptomycin   
Injektion   Gentamicin sulfate 1,5 mg/ml
22°C-28°C
2 Time
Ikke nærmere angivet 1937
Level af bevismateriale C+
Ikke angivet nærmere 0,9 % Natriumklorid 6,3 mg/ml
Injektion   Daptomycin   
Injektion   Fluconazole 1,3 mg/ml
22°C-28°C
2 Time
Ikke nærmere angivet 1937
Level af bevismateriale C+
Ikke angivet nærmere 0,9 % Natriumklorid 19,6 mg/ml
Injektion   Daptomycin   
Injektion   Heparin sodium 5000 UI/ml
22°C-28°C
2 Time
Ikke nærmere angivet 1937
Level af bevismateriale C+
Ikke angivet nærmere 0,9 % Natriumklorid 14,3 mg/ml
Injektion   Daptomycin   
Injektion   Levofloxacine 7,1 mg/ml
22°C-28°C
2 Time
Ikke nærmere angivet 1937
Level af bevismateriale C+

  Mentions Légales