Laatste update :
18/03/2026
Antibioticum   Daptomycin  
injecteerbaar geneesmiddel
Stabiliteit in oplossing Stabiliteit in mengsels Factoren die de stabiliteit beïnvloeden Verenigbaarheden Toedieningswijze Literatuur pdf
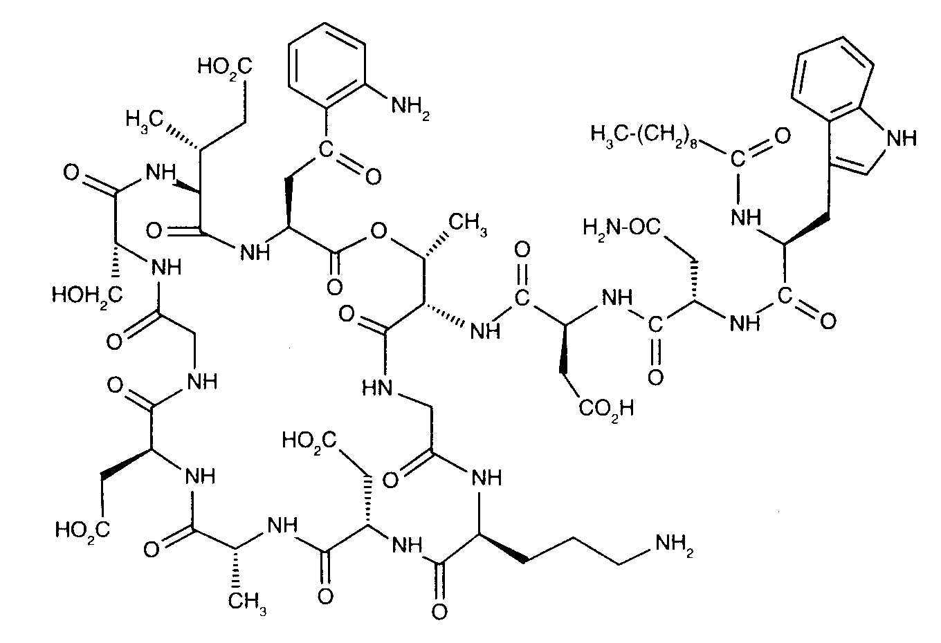
   Molecuulstructuur  

Merknamen in verschillende landen   Merknamen in verschillende landen     

Handelsnamen zijn slechts een indicatie; de samenstelling van hulpstoffen kan per land variëren afhankelijk van de fabrikant

Cubicin Argentinië, Australië, Canada, Chili, Colombia, Denemarken, Duitsland, Finland, Frankrijk, Griekenland, Groot Britannië, Hongarije, Ierland, IJsland, Indië, Italië, Japan, Maleisië, Mexico, Nederland, nieuw Zeeland, Noorwegen, Oostenrijk, Polen, Portugal, Roemenië, Spanje, Turkije, USA, Venezuela, Zweden, Zwitserland
Daptomicina Argentinië, Italië, Spanje
Daptomicine Duitsland, Finland, Groot Britannië, Hongarije, Noorwegen
Exfuno Brazilië, Chili
Stenkivar Nigeria
Trisk Brazilië
Stabiliteit in mengsels   injecteerbaar geneesmiddel   Stabiliteit in mengsels : Daptomycin     
Verpakking Oplosmiddel Concentratie Stof Temperatuur Bewaring Duur van de stabiliteit Literatuur
injectiespuit polypropyleen Ringer-lactaat 5 mg/ml
injecteerbaar geneesmiddel   Daptomycin   
injecteerbaar geneesmiddel   Heparin sodium 100 UI/ml
-20°C
14 Dag
Buiten invloed van licht 3665
Bewijsniveau B
injectiespuit polypropyleen Ringer-lactaat 5 mg/ml
injecteerbaar geneesmiddel   Daptomycin   
injecteerbaar geneesmiddel   Heparin sodium 100 UI/ml
4°C
14 Dag
Niet gespecificeerd 3665
Bewijsniveau B
Niet gespecificeerd Natriumchloride 0,9% 16,7 mg/ml
injecteerbaar geneesmiddel   Daptomycin   
injecteerbaar geneesmiddel   Aztreonam 16,7 mg/ml
22°C-28°C
2 Uur
Niet gespecificeerd 1937
Bewijsniveau C+
Niet gespecificeerd Natriumchloride 0,9% 16,7 mg/ml
injecteerbaar geneesmiddel   Daptomycin   
injecteerbaar geneesmiddel   Ceftazidime 16,7 mg/ml
22°C-28°C
2 Uur
Niet gespecificeerd 1937
Bewijsniveau C+
Niet gespecificeerd Natriumchloride 0,9% 16,7 mg/ml
injecteerbaar geneesmiddel   Daptomycin   
injecteerbaar geneesmiddel   Ceftriaxone disodium 16,7 mg/ml
22°C-28°C
2 Uur
Niet gespecificeerd 1937
Bewijsniveau C+
Niet gespecificeerd Natriumchloride 0,9% 16,7 mg/ml
injecteerbaar geneesmiddel   Daptomycin   
injecteerbaar geneesmiddel   Lidocaine hydrochloride 3,3 mg/ml
22°C-28°C
2 Uur
Niet gespecificeerd 1937
Bewijsniveau C+
Niet gespecificeerd Natriumchloride 0,9% 18,2 mg/ml
injecteerbaar geneesmiddel   Daptomycin   
injecteerbaar geneesmiddel   Dopamine hydrochloride 3,6 mg/ml
22°C-28°C
2 Uur
Niet gespecificeerd 1937
Bewijsniveau C+
Niet gespecificeerd Natriumchloride 0,9% 19,2 mg/ml
injecteerbaar geneesmiddel   Daptomycin   
injecteerbaar geneesmiddel   Gentamicin sulfate 1,5 mg/ml
22°C-28°C
2 Uur
Niet gespecificeerd 1937
Bewijsniveau C+
Niet gespecificeerd Natriumchloride 0,9% 6,3 mg/ml
injecteerbaar geneesmiddel   Daptomycin   
injecteerbaar geneesmiddel   Fluconazole 1,3 mg/ml
22°C-28°C
2 Uur
Niet gespecificeerd 1937
Bewijsniveau C+
Niet gespecificeerd Natriumchloride 0,9% 19,6 mg/ml
injecteerbaar geneesmiddel   Daptomycin   
injecteerbaar geneesmiddel   Heparin sodium 5000 UI/ml
22°C-28°C
2 Uur
Niet gespecificeerd 1937
Bewijsniveau C+
Niet gespecificeerd Natriumchloride 0,9% 14,3 mg/ml
injecteerbaar geneesmiddel   Daptomycin   
injecteerbaar geneesmiddel   Levofloxacine 7,1 mg/ml
22°C-28°C
2 Uur
Niet gespecificeerd 1937
Bewijsniveau C+

  Mentions Légales