Última actualización :
27/11/2025
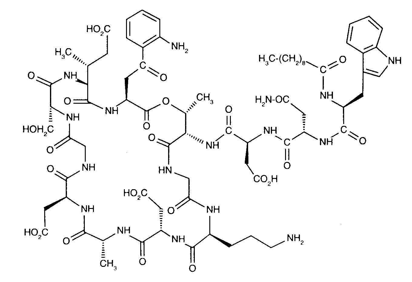
Antibiótico   Daptomycin  
Inyectables
Estabilidad en solucion Estabilidad en mezcla Factores que influyen sobre la estabilidad Compatibilidades método de inyección Bibliografía pdf
   Estructura química  

Nombre comercial   Nombre comercial     

Los nombres comerciales son orientativos y los excipientes de la formulación pueden ser distintos dependiendo del país y del laboratorio fabricante.

Cubicin Alemania, Argentina, Australia, Austria, Canadá, Chile, Colombia, Dinamarca, España, Estados Unidos de América, Finlandia, Francia, Gran Bretaña, Grecia, Hungría, India, Irlanda, Islandia, Italia, Japón, Malasia, México, Noruega, Nueva Zelanda, Países Bajos, Polonia, Portugal, Rumania, Suecia, Suiza, Turquía, Venezuela
Daptomicina Argentina, España, Italia
Daptomicine Alemania, Finlandia, Gran Bretaña, Hungría, Noruega
Exfuno Brasil, Chile
Stenkivar Nigeria
Trisk Brasil
Estabilidad en mezcla   Inyectables   Estabilidad en mezcla : Daptomycin     
Envase Solvente Concentración Molécula Temperatura Conservación Duración de la estabilidad Bibliografía
jeringa polipropileno Ringer lactato 5 mg/ml
Inyectables   Daptomycin   
Inyectables   Heparin sodium 100 UI/ml
-20°C
14 Día
A cubierto de la luz 3665
Nivel de evidencia B
jeringa polipropileno Ringer lactato 5 mg/ml
Inyectables   Daptomycin   
Inyectables   Heparin sodium 100 UI/ml
4°C
14 Día
No precisada 3665
Nivel de evidencia B
No precisado Cloruro de sodio 0,9% 16,7 mg/ml
Inyectables   Daptomycin   
Inyectables   Aztreonam 16,7 mg/ml
22°C-28°C
2 Hora
No precisada 1937
Nivel de evidencia C+
No precisado Cloruro de sodio 0,9% 16,7 mg/ml
Inyectables   Daptomycin   
Inyectables   Ceftazidime 16,7 mg/ml
22°C-28°C
2 Hora
No precisada 1937
Nivel de evidencia C+
No precisado Cloruro de sodio 0,9% 16,7 mg/ml
Inyectables   Daptomycin   
Inyectables   Ceftriaxone disodium 16,7 mg/ml
22°C-28°C
2 Hora
No precisada 1937
Nivel de evidencia C+
No precisado Cloruro de sodio 0,9% 16,7 mg/ml
Inyectables   Daptomycin   
Inyectables   Lidocaine hydrochloride 3,3 mg/ml
22°C-28°C
2 Hora
No precisada 1937
Nivel de evidencia C+
No precisado Cloruro de sodio 0,9% 18,2 mg/ml
Inyectables   Daptomycin   
Inyectables   Dopamine hydrochloride 3,6 mg/ml
22°C-28°C
2 Hora
No precisada 1937
Nivel de evidencia C+
No precisado Cloruro de sodio 0,9% 19,2 mg/ml
Inyectables   Daptomycin   
Inyectables   Gentamicin sulfate 1,5 mg/ml
22°C-28°C
2 Hora
No precisada 1937
Nivel de evidencia C+
No precisado Cloruro de sodio 0,9% 6,3 mg/ml
Inyectables   Daptomycin   
Inyectables   Fluconazole 1,3 mg/ml
22°C-28°C
2 Hora
No precisada 1937
Nivel de evidencia C+
No precisado Cloruro de sodio 0,9% 19,6 mg/ml
Inyectables   Daptomycin   
Inyectables   Heparin sodium 5000 UI/ml
22°C-28°C
2 Hora
No precisada 1937
Nivel de evidencia C+
No precisado Cloruro de sodio 0,9% 14,3 mg/ml
Inyectables   Daptomycin   
Inyectables   Levofloxacine 7,1 mg/ml
22°C-28°C
2 Hora
No precisada 1937
Nivel de evidencia C+

  Mentions Légales