Utolsó frissítés :
18/03/2026
Antibiotikum   Daptomycin  
Injekció
Az oldatok stabilitása A keverékek stabilitása Stabilitást befolyásoló tényezők Kompatibilitás Az alkalmazás módja Irodalom pdf
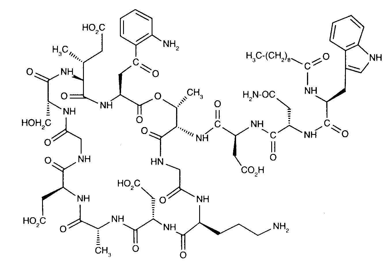
   Kémiai szerkezet   

Kereskedelmi név   Kereskedelmi név     

A kereskedelmi név meghatározó jelentőségű: a készítmények összetétele országonként, előállítóként eltérő lehet

Cubicin Amerikai Egyesült Államok, Argentína, Ausztrália, Ausztria, Chile, Colombia, Dánia, Finnország, Franciaország, Görögország, Hollandia, India, Írország, Izland, Japán, Kanada, Lengyelország, Magyarország, Malaysia, Mexikó, Nagy-Britannia, Németország, Norvégia, Olaszország, Portugália, Románia, Spanyolország, Svájc, Svédország, Törökország, új-Zéland, Venezuela
Daptomicina Argentína, Olaszország, Spanyolország
Daptomicine Finnország, Magyarország, Nagy-Britannia, Németország, Norvégia
Exfuno Brazília, Chile
Stenkivar Nigéria
Trisk Brazília
A keverékek stabilitása   Injekció   A keverékek stabilitása : Daptomycin     
Csomagolás Oldószer Koncentráció Vegyület Hőmérséklet Tárolás A stabilitás időtartama Irodalom
fecskendő polipropilén Ringer-laktát oldat 5 mg/ml
Injekció   Daptomycin   
Injekció   Heparin sodium 100 UI/ml
-20°C
14 Nap
Fénytől védve tartandó 3665
Szintű bizonyítékot B
fecskendő polipropilén Ringer-laktát oldat 5 mg/ml
Injekció   Daptomycin   
Injekció   Heparin sodium 100 UI/ml
4°C
14 Nap
Nincs meghatározva 3665
Szintű bizonyítékot B
Nincs meghatározva 0,9% nátrium-klorid 16,7 mg/ml
Injekció   Daptomycin   
Injekció   Aztreonam 16,7 mg/ml
22°C-28°C
2 Óra
Nincs meghatározva 1937
Szintű bizonyítékot C+
Nincs meghatározva 0,9% nátrium-klorid 16,7 mg/ml
Injekció   Daptomycin   
Injekció   Ceftazidime 16,7 mg/ml
22°C-28°C
2 Óra
Nincs meghatározva 1937
Szintű bizonyítékot C+
Nincs meghatározva 0,9% nátrium-klorid 16,7 mg/ml
Injekció   Daptomycin   
Injekció   Ceftriaxone disodium 16,7 mg/ml
22°C-28°C
2 Óra
Nincs meghatározva 1937
Szintű bizonyítékot C+
Nincs meghatározva 0,9% nátrium-klorid 16,7 mg/ml
Injekció   Daptomycin   
Injekció   Lidocaine hydrochloride 3,3 mg/ml
22°C-28°C
2 Óra
Nincs meghatározva 1937
Szintű bizonyítékot C+
Nincs meghatározva 0,9% nátrium-klorid 18,2 mg/ml
Injekció   Daptomycin   
Injekció   Dopamine hydrochloride 3,6 mg/ml
22°C-28°C
2 Óra
Nincs meghatározva 1937
Szintű bizonyítékot C+
Nincs meghatározva 0,9% nátrium-klorid 19,2 mg/ml
Injekció   Daptomycin   
Injekció   Gentamicin sulfate 1,5 mg/ml
22°C-28°C
2 Óra
Nincs meghatározva 1937
Szintű bizonyítékot C+
Nincs meghatározva 0,9% nátrium-klorid 6,3 mg/ml
Injekció   Daptomycin   
Injekció   Fluconazole 1,3 mg/ml
22°C-28°C
2 Óra
Nincs meghatározva 1937
Szintű bizonyítékot C+
Nincs meghatározva 0,9% nátrium-klorid 19,6 mg/ml
Injekció   Daptomycin   
Injekció   Heparin sodium 5000 UI/ml
22°C-28°C
2 Óra
Nincs meghatározva 1937
Szintű bizonyítékot C+
Nincs meghatározva 0,9% nátrium-klorid 14,3 mg/ml
Injekció   Daptomycin   
Injekció   Levofloxacine 7,1 mg/ml
22°C-28°C
2 Óra
Nincs meghatározva 1937
Szintű bizonyítékot C+

  Mentions Légales