Cập nhật lần cuối :
18/03/2026
Thuốc chống nấm   Amphotericin B liposomale  
Dạng tiêm
Thuốc nhỏ mắt
Tính ổn định của các dung dịch Độ ổn định khi trộn lẫn Những yếu tố ảnh hưởng đến độ ổn định Khả năng tương thích Đường dùng Tài liệu tham khảo Pdf
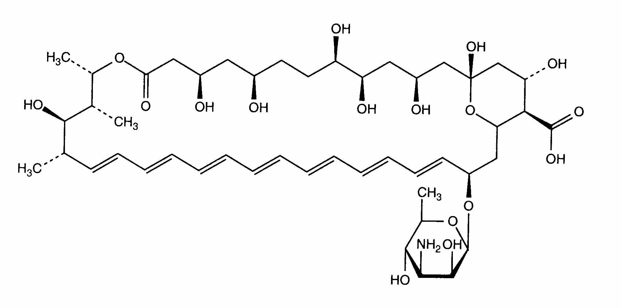
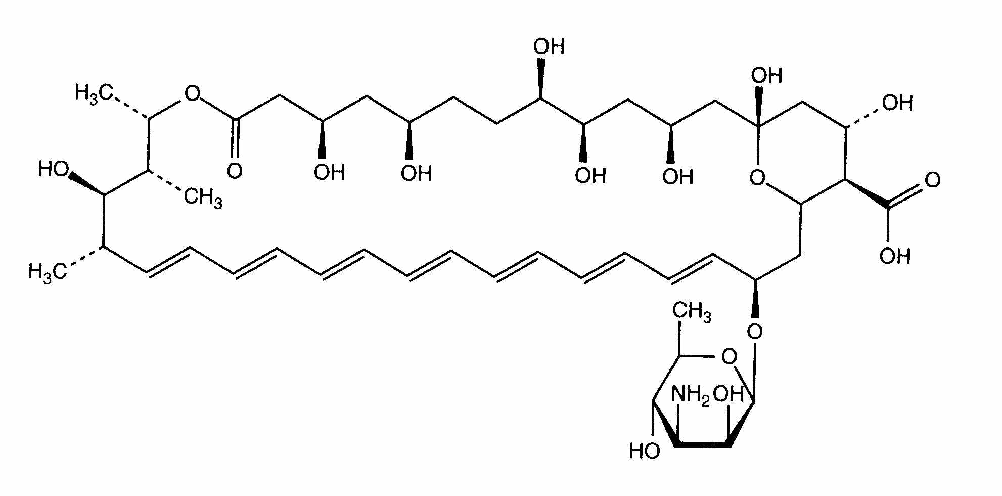
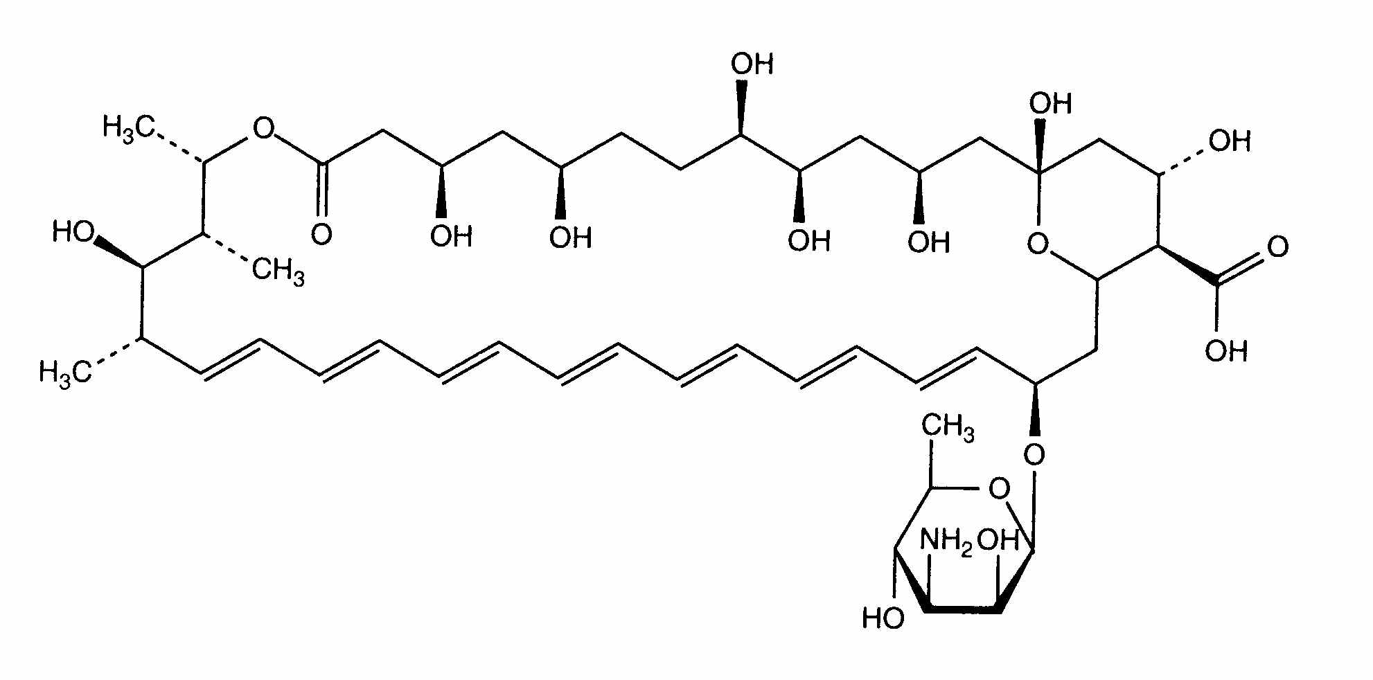
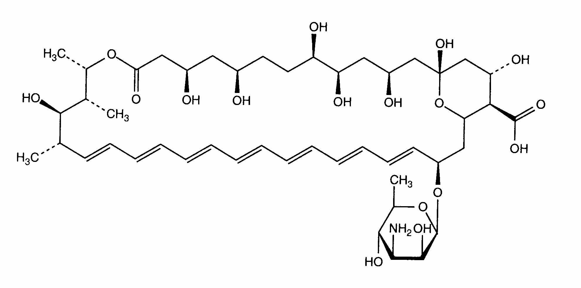
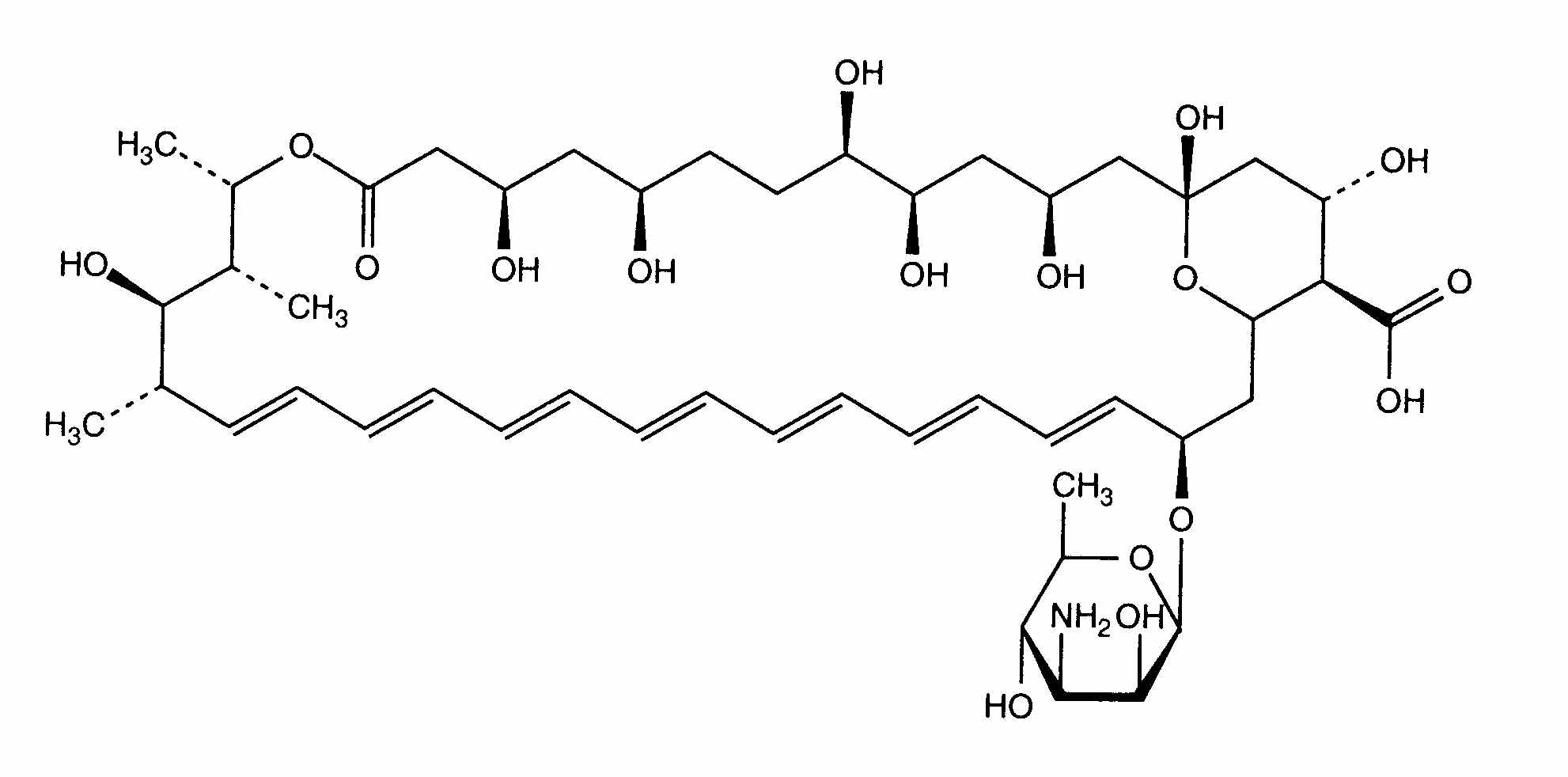
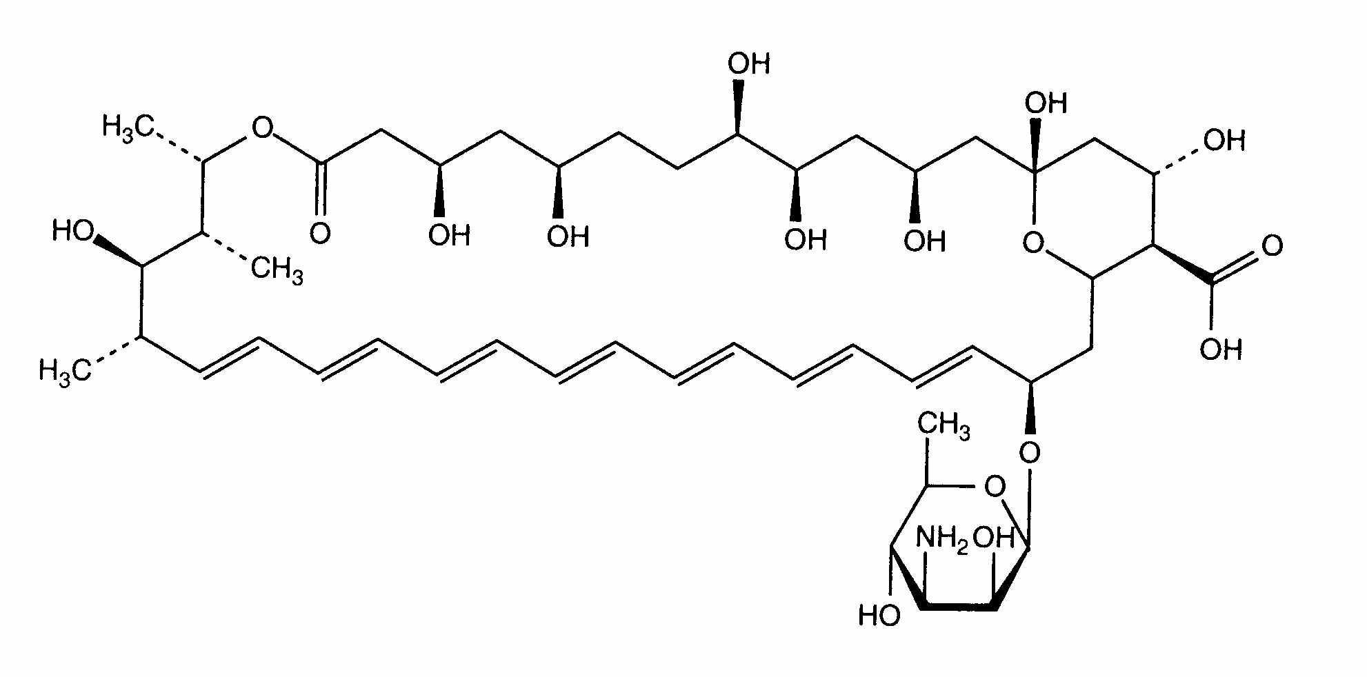
Liposome   Cấu trúc hóa học  

Tên thương mại   Tên thương mại     

Các tên thương mại được cung cấp và thành phần tá dược có thể khác nhau giữa các quốc gia và các hãng dược

Ambisome Ả Rập, Ả Rập Saudi, Ấn Độ, Anh, Áo, Argentina, Ba Lan, Bỉ, Bồ Đào Nha, Brazil, Canada, Chile, Hà Lan, Hoa Kỳ, Hungary, Hy Lạp, Iceland, Ireland, Luxembourg, Na Uy, new zealand, Nhật, Peru, Phần Lan, Pháp, Tây Ban Nha, Thái Lan, Thổ Nhĩ Kỳ, Thụy Sỹ, Thụy Điển, United Arab Emirates, Ý, Đan Mạch, Đức
Khả năng tương thích   Dạng tiêm   Khả năng tương thích : Amphotericin B liposomale              
Màn hình này cho biết khả năng tương thích hoặc không tương thích, trong trường hợp này là loại không tương thích (kết tủa, thay đổi màu sắc, sửa đổi nhũ tương, v.v.). Sự tương hợp được chỉ ra ở đây chủ yếu chỉ là vật lý, với độ ổn định hóa học của mỗi phân tử hiếm khi được đánh giá. Việc đánh giá các hỗn hợp này được nghiên cứu để xem xét khả năng sử dụng vị trí Y cho bệnh nhân. Những dữ liệu này không thể được sử dụng để tạo hỗn hợp trước trong túi hoặc ống tiêm. Loại thông tin này có sẵn trong màn hình "Độ ổn định trong hỗn hợp».
Phân tử Dung môi Mục lục
Lượng mưa ngay lập tức Không tương thích
Dạng tiêm Amphotericin B liposomale
Nước cất pha tiêm + chất kháng khuẩn 3398
Tương thích
Dạng tiêm Amphotericin B liposomale 2 mg/ml
Dạng tiêm Amoxicillin sodium / clavulanic acid 100/10 mg/ml
3824
Tương thích
Dạng tiêm Amphotericin B liposomale 4 mg/ml
Dạng tiêm Caffeine 10 mg/ml
Không 3964
Độ đục ngay lập tức Không tương thích
Dạng tiêm Amphotericin B liposomale 2 mg/ml
Dạng tiêm Caffeine citrate 20 mg/ml
4837
Không tương thích không xác định Không tương thích
Dạng tiêm Amphotericin B liposomale
Dạng tiêm Calcium gluconate
3644
Không tương thích
Dạng tiêm Amphotericin B liposomale
Dạng tiêm Calcium gluconate
4964
Tương thích
Dạng tiêm Amphotericin B liposomale 4 mg/ml
Dung dịch Ringer’s lactate 4603
Tương thích
Dạng tiêm Amphotericin B liposomale
Glucose 5% 3398
Tương thích
Dạng tiêm Amphotericin B liposomale 1 mg/ml
Dạng tiêm Anidulafungin 0.5 mg/ml
Glucose 5% 1982
Tương thích
Dạng tiêm Amphotericin B liposomale 1 mg/ml
Dạng tiêm Blinatumomab 0.125 & 0.375 µg/ml
NaCl 0,9% 3976
Tương thích
Dạng tiêm Amphotericin B liposomale 2 mg/ml
Dạng tiêm Caffeine 10 mg/ml
Glucose 5% 4837
Lượng mưa ngay lập tức Không tương thích
Dạng tiêm Amphotericin B liposomale 1 mg/ml
Dạng tiêm Caspofungin acetate 0,7 mg/ml
NaCl 0,9% 2247
Độ đục ngay lập tức Không tương thích
Dạng tiêm Amphotericin B liposomale 2 mg/ml
Dạng tiêm Ceftolozane / tazobactam 10/5 mg/ml
Glucose 5% 3828
Tương thích
Dạng tiêm Amphotericin B liposomale 4 mg/ml
Dạng tiêm Cloxacillin sodium 100 mg/ml
Nước cất pha tiêm 3012
Tương thích
Dạng tiêm Amphotericin B liposomale 2 mg/ml
Dạng tiêm Defibrotide 8 mg/ml
NaCl 0,9% 3728
Tương thích
Dạng tiêm Amphotericin B liposomale 1 mg/ml
Dạng tiêm Doripenem 5 mg/ml
Glucose 5% 2262
Độ đục ngay lập tức Không tương thích
Dạng tiêm Amphotericin B liposomale 1 mg/ml
Dạng tiêm Doripenem 5 mg/ml
NaCl 0,9% 2262
Mất độ đục Không tương thích
Dạng tiêm Amphotericin B liposomale 2 mg/ml
Dạng tiêm Fosfomycin 30 mg/ml
Glucose 5% 4055
Độ đục ngay lập tức Không tương thích
Dạng tiêm Amphotericin B liposomale 2 mg/ml
Dạng tiêm Isavuconazonium sulfate 1.5 mg/ml
Glucose 5% 3829
Tương thích
Dạng tiêm Amphotericin B liposomale 2 mg/ml
Dạng tiêm Meropenem 50 mg/ml
4319
Tương thích
Dạng tiêm Amphotericin B liposomale 2 mg/ml
Dạng tiêm Paracetamol 10 mg/ml
4742
Tương thích
Dạng tiêm Amphotericin B liposomale 2 mg/ml
Dạng tiêm Pentoxifyllin 5 mg/ml
Glucose 5% 4543
Lượng mưa ngay lập tức Không tương thích
Dạng tiêm Amphotericin B liposomale 1 mg/ml
Dạng tiêm Telavancin hydrochloride 7,5 mg/ml
Glucose 5% 3254
Lượng mưa ngay lập tức Không tương thích
Dạng tiêm Amphotericin B liposomale 1.16 mg/ml
Dạng tiêm Vancomycin hydrochloride 10 & 62.5 & 83.3 mg/ml
Glucose 5% 4254
Lượng mưa ngay lập tức Không tương thích
Dạng tiêm Amphotericin B liposomale
NaCl 0,9% 3398
Tương thích
Dạng tiêm Amphotericin B liposomale 2 mg/ml
Dạng tiêm Sildenafil citrate 0,6 mg/ml
Glucose 5% 4845

  Mentions Légales