viimane versioon :
18/03/2026
Seenevastane ravim   Amphotericin B liposomale  
Süsteravim
Silmatilgad
Stabiilsus lahustes Stabiilsust mõjutavad tegurid stabiilsust mõjutavad faktorid Sobimatus Manustamis viis Viited pdf
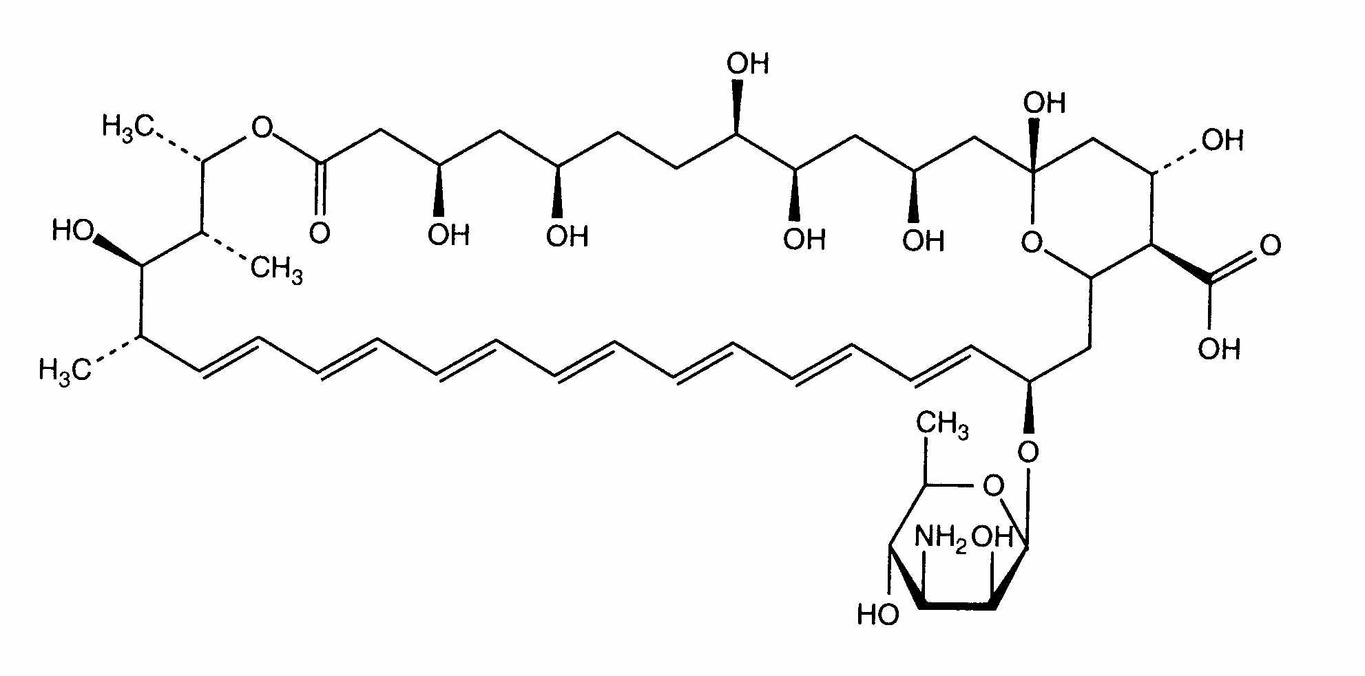
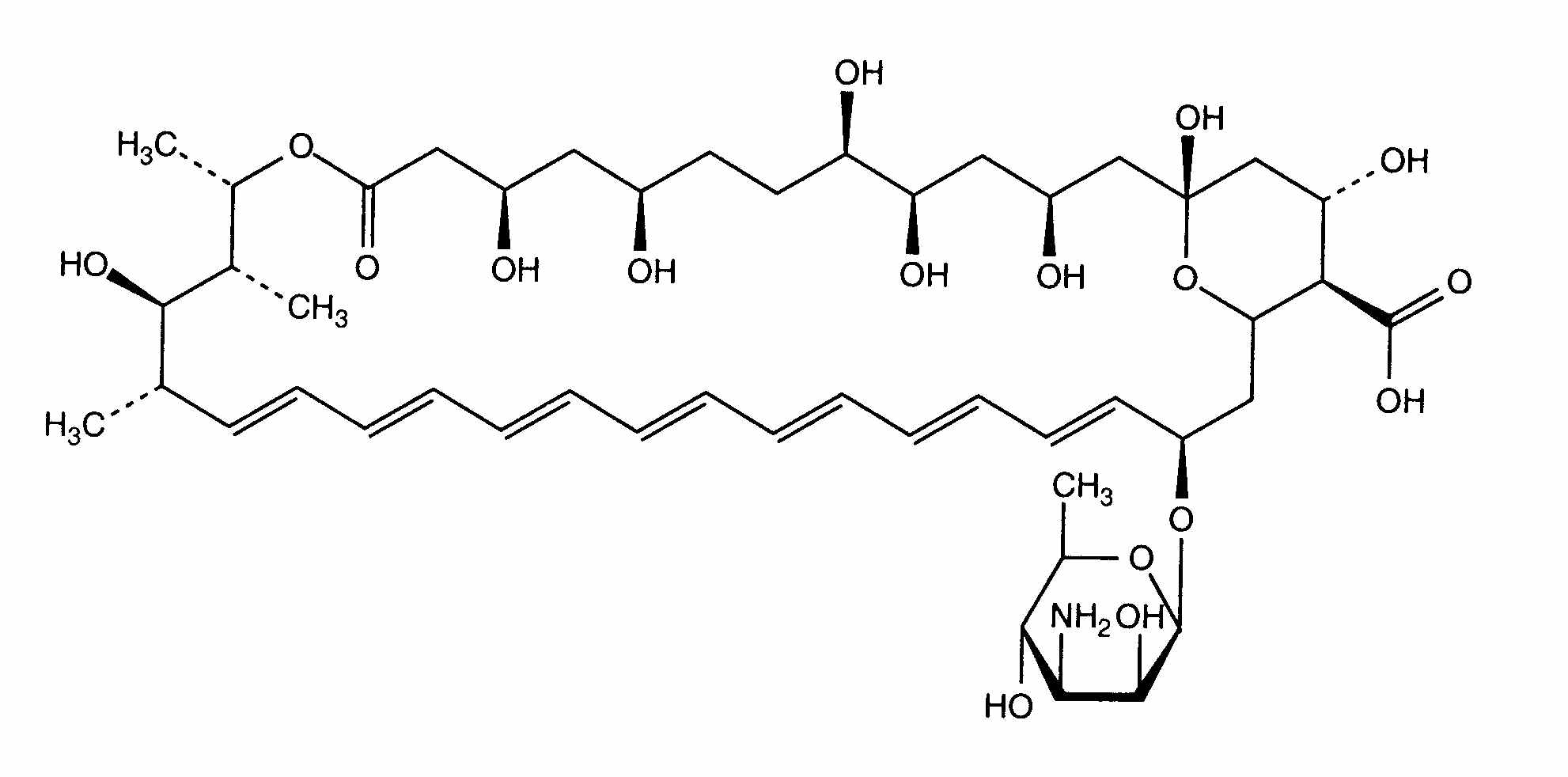
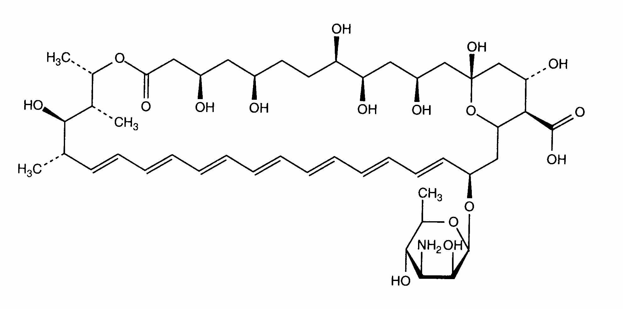
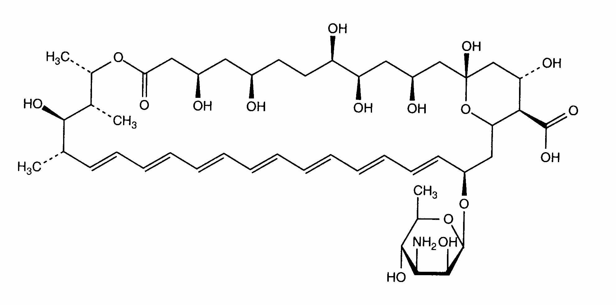
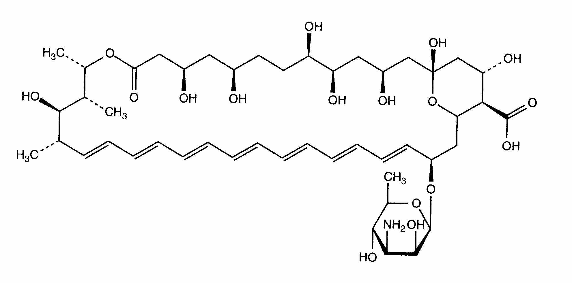
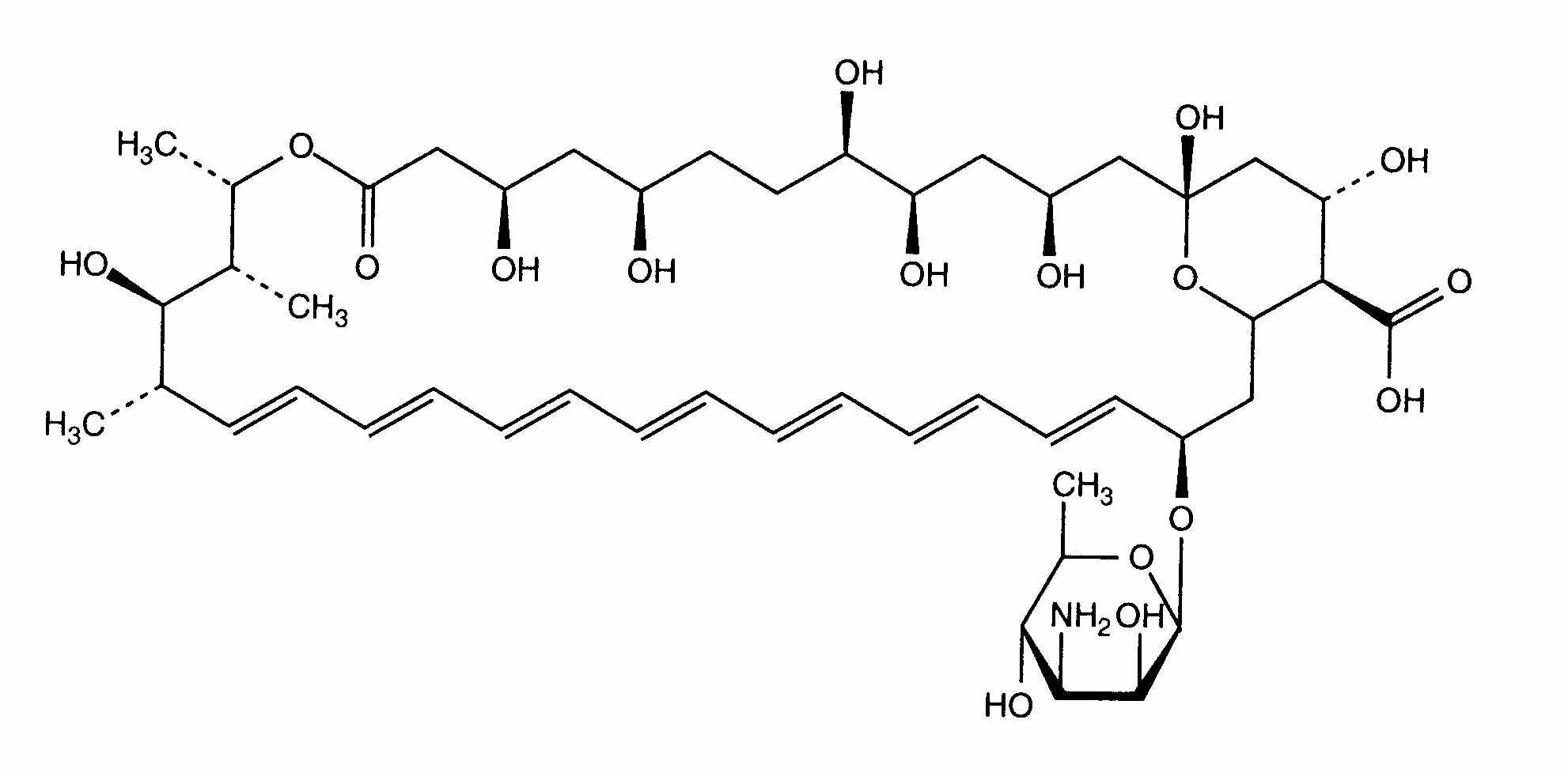
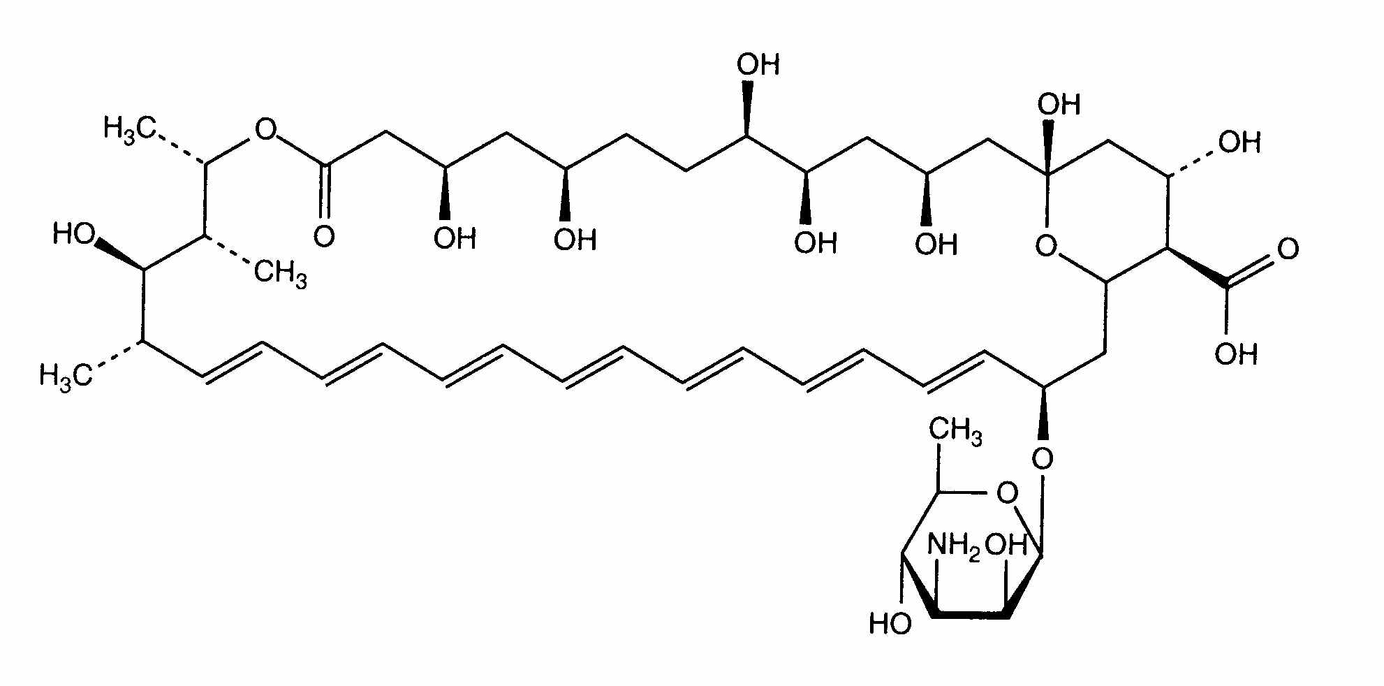
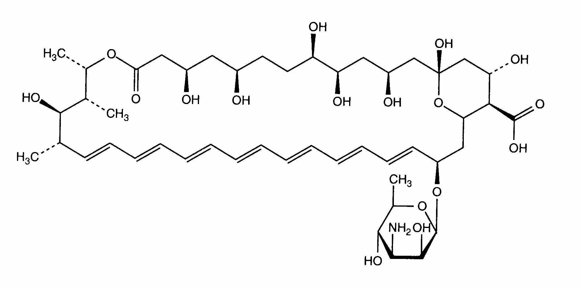
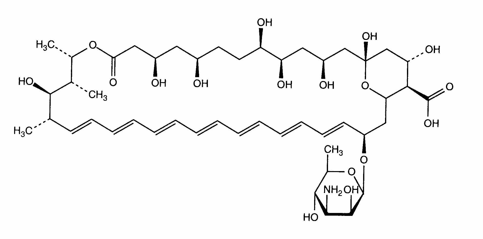
liposoom   keemiline struktuur  

Kaubanduslikud nimed erinevates maades   Kaubanduslikud nimed erinevates maades     

Preparaatide nimed on näitlikud ja abianete sisaldus võib erineda sõltuvalt riigist ja laborist

Ambisome Ameerika ühendriigid, Araabia Ühendemiraadid, Argentiina, Austria, Belgia, Brasiilia, Egiptus, Hispaania, Holland, Iirimaa, India, Island, Itaalia, Jaapan, Kanada, Kreeka, Luksemburg, Maroko, Norra, Poola, Portugal, Prantsusmaa, Rootsi, Saksamaa, Saudi Araabia, Soome, Suurbritannia, Sveits, Taani, Tai, Tšiili, Türgi, Ungari, uus-Meremaa
Sobimatus   Süsteravim   Sobimatus : Amphotericin B liposomale              
Sellel lehel kuvatakse sobimatusi ja sobimatuse tüüpi (sadenemine, värvuse muutus, emulsiooni modifitseerumine jne). Enamasti on siin lehel kuvatud füüsikalised sobimatused, kuna molekulide keemilist stabiilsust hinnatakse harva. Hinnatud on segude sobivust Y-liinis. Antud infot ei saa kasutada ravimite sobivuse hindamiseks juhul, kui ravimid on segatud süstaldes või infusioonikottides. See info on lehel « stabiilsus segudes ».
ingredient lahusti Viited
Kohene sade Sobimatu
Süsteravim Amphotericin B liposomale
apürogeenne vesi 3398
Ühilduv
Süsteravim Amphotericin B liposomale 2 mg/ml
Süsteravim Amoxicillin sodium / clavulanic acid 100/10 mg/ml
3824
Ühilduv
Süsteravim Amphotericin B liposomale 4 mg/ml
Süsteravim Caffeine 10 mg/ml
mitte ükski 3964
Kohene hägusus Sobimatu
Süsteravim Amphotericin B liposomale 2 mg/ml
Süsteravim Caffeine citrate 20 mg/ml
4837
Täpsustamata sobimatus Sobimatu
Süsteravim Amphotericin B liposomale
Süsteravim Calcium gluconate
3644
Sobimatu
Süsteravim Amphotericin B liposomale
Süsteravim Calcium gluconate
4964
Ühilduv
Süsteravim Amphotericin B liposomale 4 mg/ml
Ringer laktaat 4603
Ühilduv
Süsteravim Amphotericin B liposomale
glükoos 5% 3398
Ühilduv
Süsteravim Amphotericin B liposomale 1 mg/ml
Süsteravim Anidulafungin 0.5 mg/ml
glükoos 5% 1982
Ühilduv
Süsteravim Amphotericin B liposomale 1 mg/ml
Süsteravim Blinatumomab 0.125 & 0.375 µg/ml
naatriumkloriid 0.9% 3976
Ühilduv
Süsteravim Amphotericin B liposomale 2 mg/ml
Süsteravim Caffeine 10 mg/ml
glükoos 5% 4837
Kohene sade Sobimatu
Süsteravim Amphotericin B liposomale 1 mg/ml
Süsteravim Caspofungin acetate 0,7 mg/ml
naatriumkloriid 0.9% 2247
Kohene hägusus Sobimatu
Süsteravim Amphotericin B liposomale 2 mg/ml
Süsteravim Ceftolozane / tazobactam 10/5 mg/ml
glükoos 5% 3828
Ühilduv
Süsteravim Amphotericin B liposomale 4 mg/ml
Süsteravim Cloxacillin sodium 100 mg/ml
süstevesi 3012
Ühilduv
Süsteravim Amphotericin B liposomale 2 mg/ml
Süsteravim Defibrotide 8 mg/ml
naatriumkloriid 0.9% 3728
Ühilduv
Süsteravim Amphotericin B liposomale 1 mg/ml
Süsteravim Doripenem 5 mg/ml
glükoos 5% 2262
Kohene hägusus Sobimatu
Süsteravim Amphotericin B liposomale 1 mg/ml
Süsteravim Doripenem 5 mg/ml
naatriumkloriid 0.9% 2262
Hägususe kaotus Sobimatu
Süsteravim Amphotericin B liposomale 2 mg/ml
Süsteravim Fosfomycin 30 mg/ml
glükoos 5% 4055
Kohene hägusus Sobimatu
Süsteravim Amphotericin B liposomale 2 mg/ml
Süsteravim Isavuconazonium sulfate 1.5 mg/ml
glükoos 5% 3829
Ühilduv
Süsteravim Amphotericin B liposomale 2 mg/ml
Süsteravim Meropenem 50 mg/ml
4319
Ühilduv
Süsteravim Amphotericin B liposomale 2 mg/ml
Süsteravim Paracetamol 10 mg/ml
4742
Ühilduv
Süsteravim Amphotericin B liposomale 2 mg/ml
Süsteravim Pentoxifyllin 5 mg/ml
glükoos 5% 4543
Kohene sade Sobimatu
Süsteravim Amphotericin B liposomale 1 mg/ml
Süsteravim Telavancin hydrochloride 7,5 mg/ml
glükoos 5% 3254
Kohene sade Sobimatu
Süsteravim Amphotericin B liposomale 1.16 mg/ml
Süsteravim Vancomycin hydrochloride 10 & 62.5 & 83.3 mg/ml
glükoos 5% 4254
Kohene sade Sobimatu
Süsteravim Amphotericin B liposomale
naatriumkloriid 0.9% 3398
Ühilduv
Süsteravim Amphotericin B liposomale 2 mg/ml
Süsteravim Sildenafil citrate 0,6 mg/ml
glükoos 5% 4845

  Mentions Légales