Seneste opdatering :
18/03/2026
Antisvampe   Amphotericin B liposomale  
Injektion
Øjendråber
Stabilitet i (vandige) opløsninger Stabilitet i blandinger Faktorer der påvirker stabiliteten Kompatibilitet Administrationsvej Bibliografi pdf
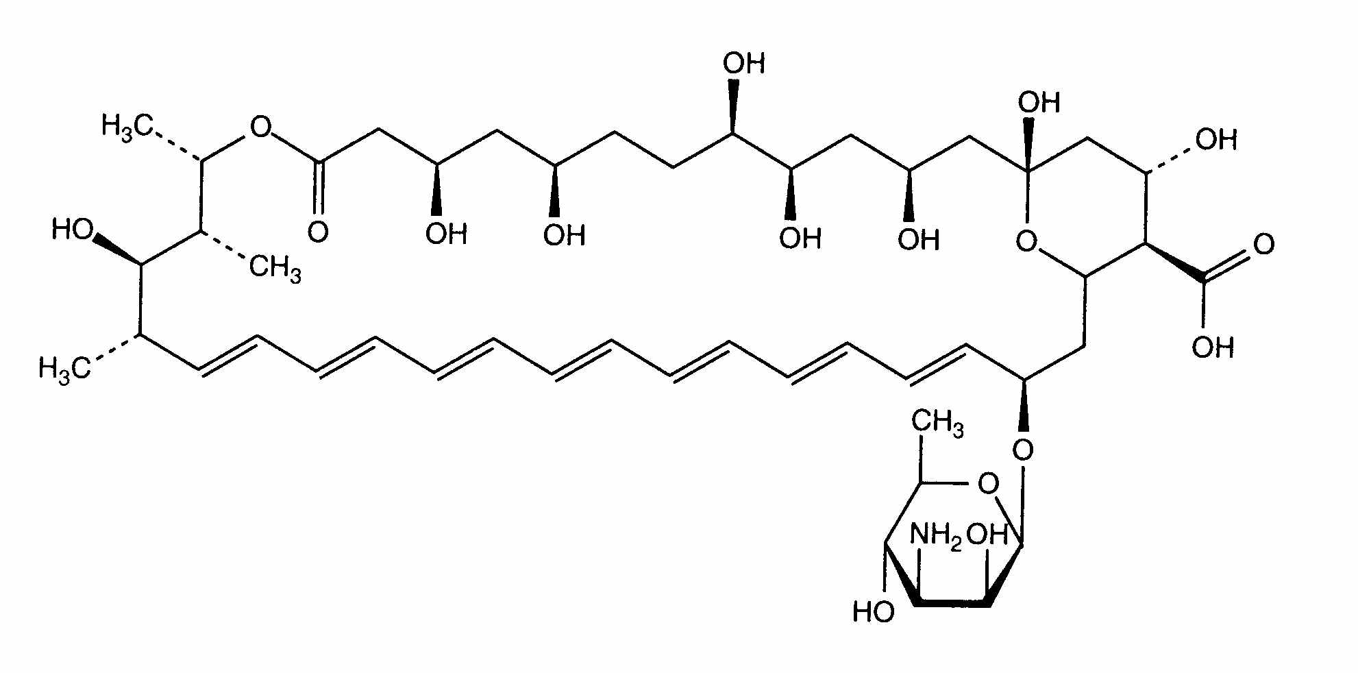
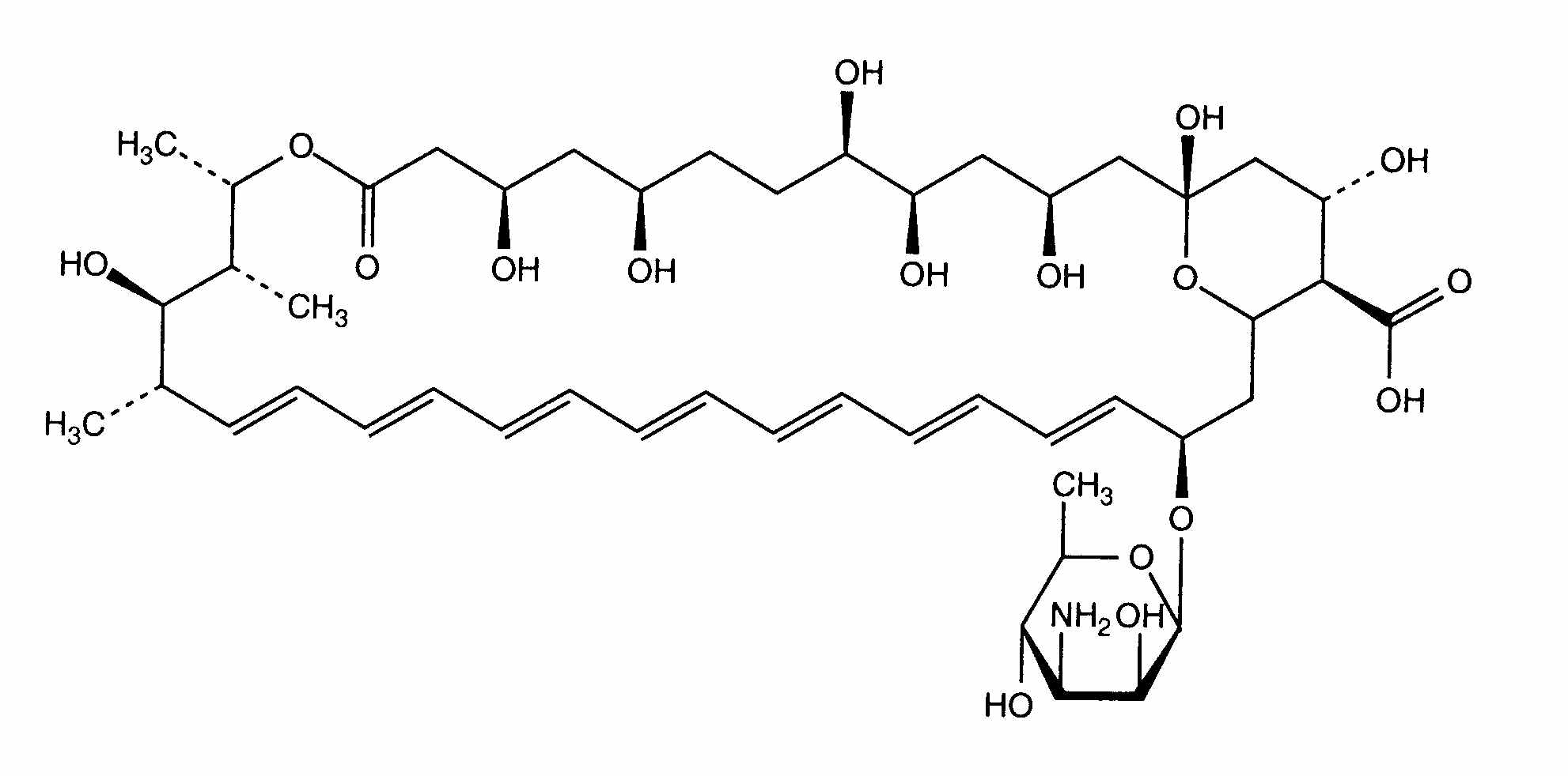
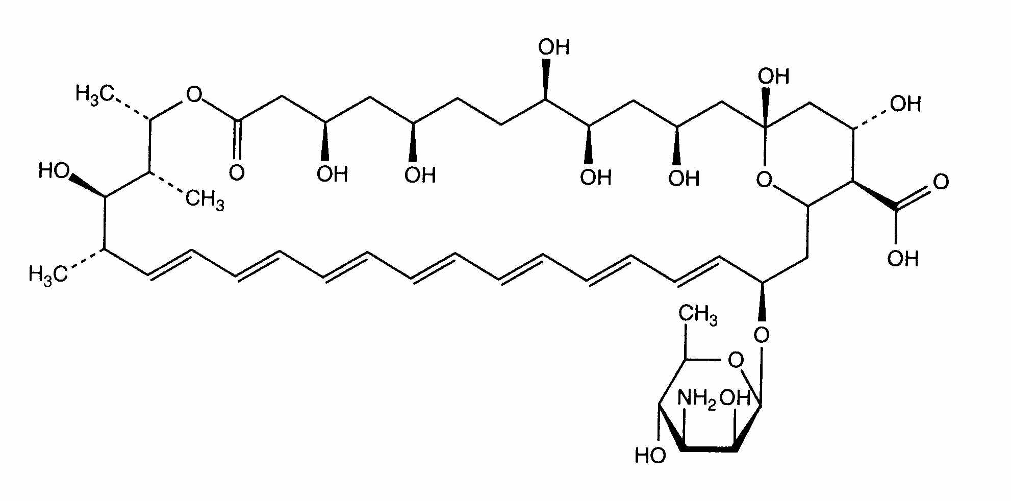
Liposom   Kemisk struktur  

Handelsnavn   Handelsnavn     

Handel navne er vejledende og hjælpestoffer sammensætning kan være forskellig afhængigt af landet og laboratorier

Ambisome Argentina, Belgien, Brasilien, Canada, Chile, Danmark, Finland, Forenede Arabiske Emirater, Frankrig, Grækenland, Holland, Indien, Irland, Island, Italien, Japan, Luxemborg, Marokko, New Zealand, Norge, Polen, Portugal, Saudi-Arabien, Schweiz, Spanien, Storbritanien, Sverige, Thailand, Tyrkiet, Tyskland, Ungarn, USA, Ægypten, Østrig
Stabilitet i (vandige) opløsninger   Injektion   Stabilitet i (vandige) opløsninger : Amphotericin B liposomale     
Beholder Opløsningsmiddel Koncentration Temperatur Konservering Varighed af stabilitet Bibliografi
Glas Vand til injektion 4 mg/ml 23-27°C Beskyt mod lys
24 Time
3398
Producentens stabilitet data

Glas Vand til injektion 4 mg/ml 4°C Ikke nærmere angivet
7 Dag
3398
Producentens stabilitet data

Glas Vand til injektion 4 mg/ml 4°C Ikke nærmere angivet
7 Dag
4821
Level af bevismateriale D

Polypropylen Vand til injektion 4 mg/ml 4°C Ikke nærmere angivet
7 Dag
3398
Producentens stabilitet data

Ikke angivet nærmere 5 % Glukose 0,2 & 2 mg/ml 4°C Ikke nærmere angivet
7 Dag
4821
Level af bevismateriale D

Ikke angivet nærmere 5 % Glukose 0,2 >> 2 mg/ml 2-8°C Ikke nærmere angivet
7 Dag
3398
Producentens stabilitet data

Ikke angivet nærmere 5 % Glukose 0,2 >> 2 mg/ml 23-27°C Ikke nærmere angivet
72 Time
3398
Producentens stabilitet data


  Mentions Légales