最新更新 :
18/03/2026
抗真菌薬   Amphotericin B liposomale  
注射薬
点眼薬
溶媒内の安定性 混合時の安定性 安定性に影響する因子 互換性 投与経路 引用文献 PDF
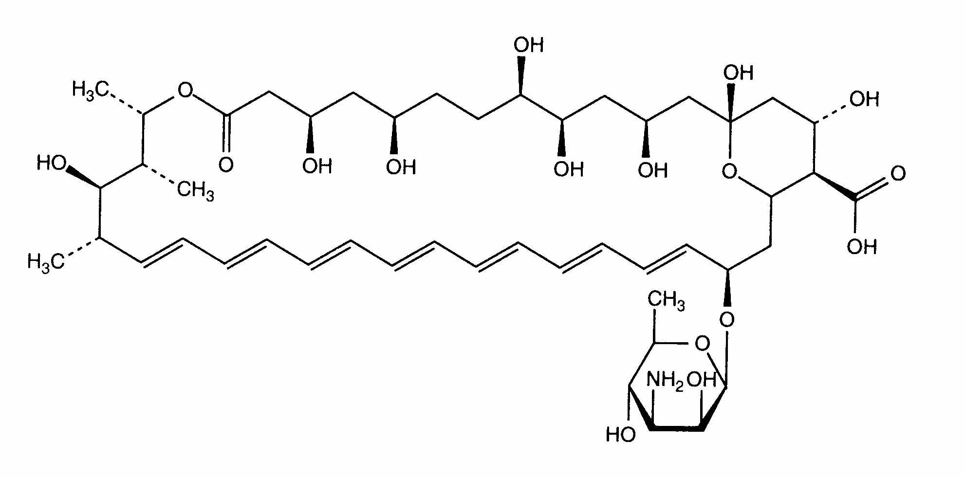
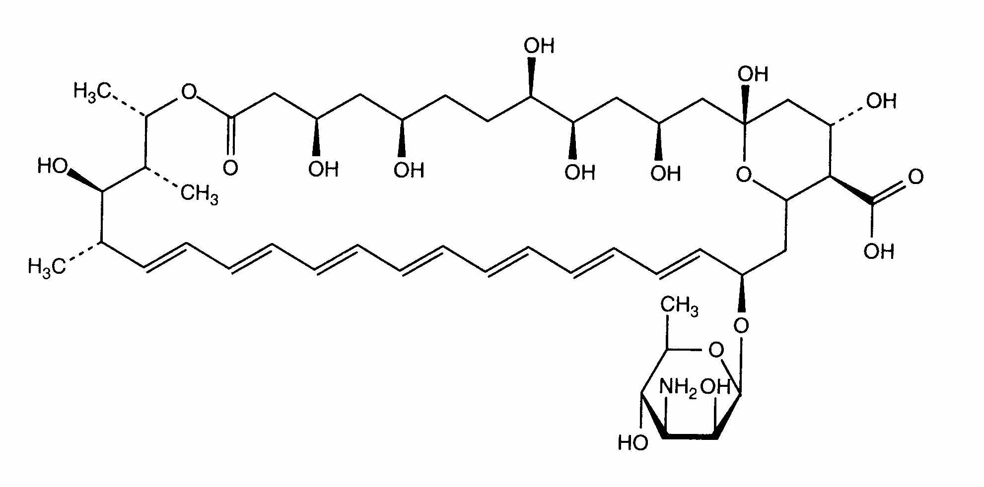
リポソーム   化学構造  

商品名   商品名     

商品名、賦形剤は国、製薬会社ごとに異なることがあります

Ambisome アイスランド, アイルランド, アメリカ, アラブ首長国連邦, アルゼンチン, イギリス, イタリア, インド, エジプト, オランダ, オーストリア, カナダ, ギリシア, サウジアラビア, スイス, スウェーデン, スペイン, タイ, チリ, デンマーク, トルコ, ドイツ, ニュージーランド, ノルウェー, ハンガリー, フィンランド, フランス, ブラジル, ベルギー, ペルー, ポルトガル, ポーランド, ルクセンブルグ, 日本
互換性   注射薬   互換性 : Amphotericin B liposomale              
This screen indicates the compatibilities or incompatibilities with, in this case, the type of incompatibility (precipitation, color change, modification of an emulsion, etc.). The compatibilities shown here are mostly physical only, with the chemical stability of each molecule rarely being assessed. The evaluation of these mixtures was studied to consider the possibility of Y-site administration to the patient. These data cannot be used for making mixtures in advance in bags or syringes. This type of information is available in the screen "Stability in mixture ».
化合物 溶媒 引用文献
即時降水 非互換
注射薬 Amphotericin B liposomale
注射用水 +滅菌 3398
対応
注射薬 Amphotericin B liposomale 2 mg/ml
注射薬 Amoxicillin sodium / clavulanic acid 100/10 mg/ml
3824
対応
注射薬 Amphotericin B liposomale 4 mg/ml
注射薬 Caffeine 10 mg/ml
なし 3964
すぐに濁り 非互換
注射薬 Amphotericin B liposomale 2 mg/ml
注射薬 Caffeine citrate 20 mg/ml
4837
不特定の非互換性 非互換
注射薬 Amphotericin B liposomale
注射薬 Calcium gluconate
3644
非互換
注射薬 Amphotericin B liposomale
注射薬 Calcium gluconate
4964
対応
注射薬 Amphotericin B liposomale 4 mg/ml
乳酸リンゲル 4603
対応
注射薬 Amphotericin B liposomale
グルコース5% 3398
対応
注射薬 Amphotericin B liposomale 1 mg/ml
注射薬 Anidulafungin 0.5 mg/ml
グルコース5% 1982
対応
注射薬 Amphotericin B liposomale 1 mg/ml
注射薬 Blinatumomab 0.125 & 0.375 µg/ml
NaCl 0,9% 3976
対応
注射薬 Amphotericin B liposomale 2 mg/ml
注射薬 Caffeine 10 mg/ml
グルコース5% 4837
即時降水 非互換
注射薬 Amphotericin B liposomale 1 mg/ml
注射薬 Caspofungin acetate 0,7 mg/ml
NaCl 0,9% 2247
すぐに濁り 非互換
注射薬 Amphotericin B liposomale 2 mg/ml
注射薬 Ceftolozane / tazobactam 10/5 mg/ml
グルコース5% 3828
対応
注射薬 Amphotericin B liposomale 4 mg/ml
注射薬 Cloxacillin sodium 100 mg/ml
注射用水 3012
対応
注射薬 Amphotericin B liposomale 2 mg/ml
注射薬 Defibrotide 8 mg/ml
NaCl 0,9% 3728
対応
注射薬 Amphotericin B liposomale 1 mg/ml
注射薬 Doripenem 5 mg/ml
グルコース5% 2262
すぐに濁り 非互換
注射薬 Amphotericin B liposomale 1 mg/ml
注射薬 Doripenem 5 mg/ml
NaCl 0,9% 2262
濁度の喪失 非互換
注射薬 Amphotericin B liposomale 2 mg/ml
注射薬 Fosfomycin 30 mg/ml
グルコース5% 4055
すぐに濁り 非互換
注射薬 Amphotericin B liposomale 2 mg/ml
注射薬 Isavuconazonium sulfate 1.5 mg/ml
グルコース5% 3829
対応
注射薬 Amphotericin B liposomale 2 mg/ml
注射薬 Meropenem 50 mg/ml
4319
対応
注射薬 Amphotericin B liposomale 2 mg/ml
注射薬 Paracetamol 10 mg/ml
4742
対応
注射薬 Amphotericin B liposomale 2 mg/ml
注射薬 Pentoxifyllin 5 mg/ml
グルコース5% 4543
即時降水 非互換
注射薬 Amphotericin B liposomale 1 mg/ml
注射薬 Telavancin hydrochloride 7,5 mg/ml
グルコース5% 3254
即時降水 非互換
注射薬 Amphotericin B liposomale 1.16 mg/ml
注射薬 Vancomycin hydrochloride 10 & 62.5 & 83.3 mg/ml
グルコース5% 4254
即時降水 非互換
注射薬 Amphotericin B liposomale
NaCl 0,9% 3398
対応
注射薬 Amphotericin B liposomale 2 mg/ml
注射薬 Sildenafil citrate 0,6 mg/ml
グルコース5% 4845

  Mentions Légales