Seneste opdatering :
18/03/2026
Antisvampe   Amphotericin B liposomale  
Injektion
Øjendråber
Stabilitet i (vandige) opløsninger Stabilitet i blandinger Faktorer der påvirker stabiliteten Kompatibilitet Administrationsvej Bibliografi pdf
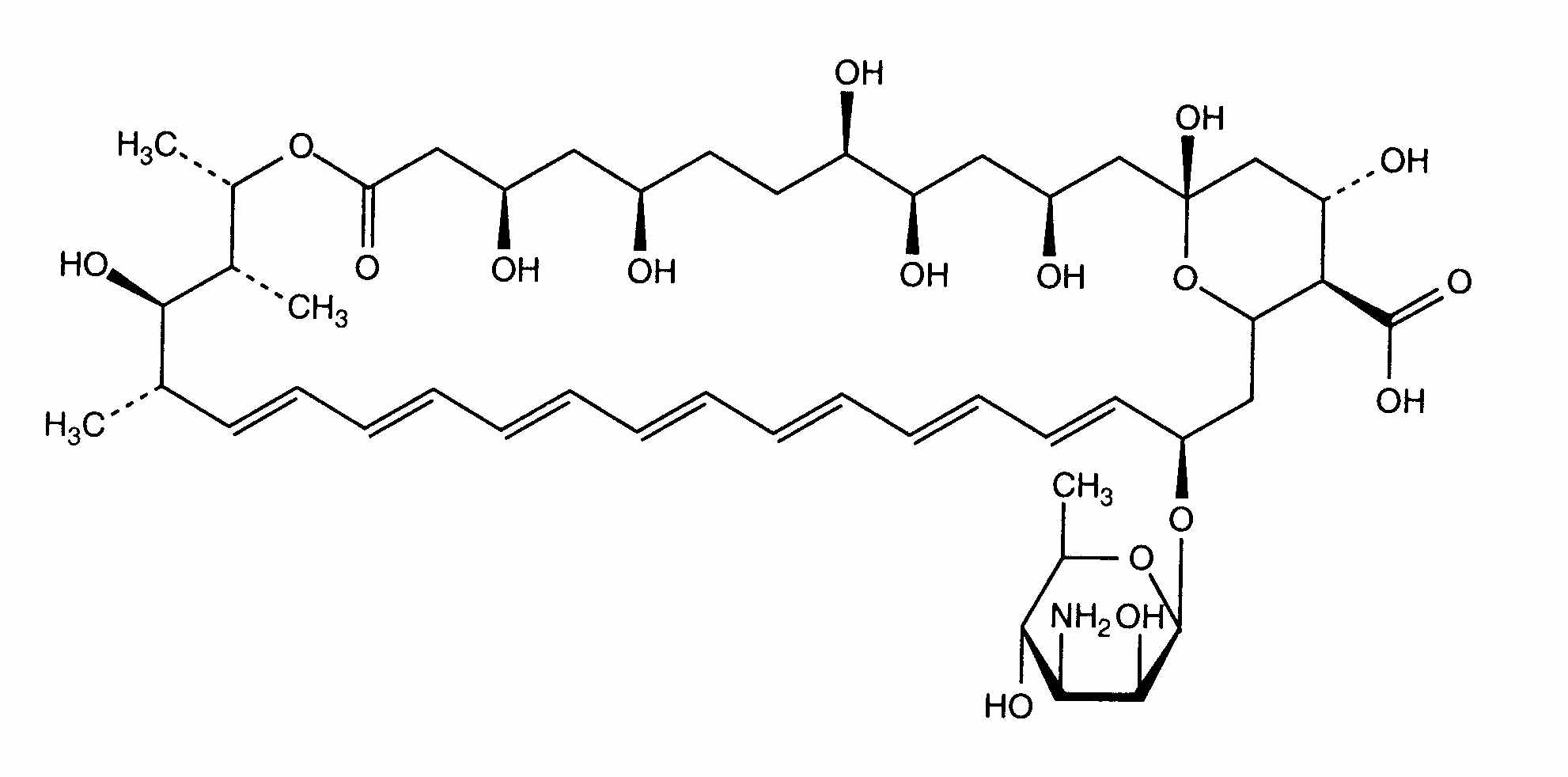
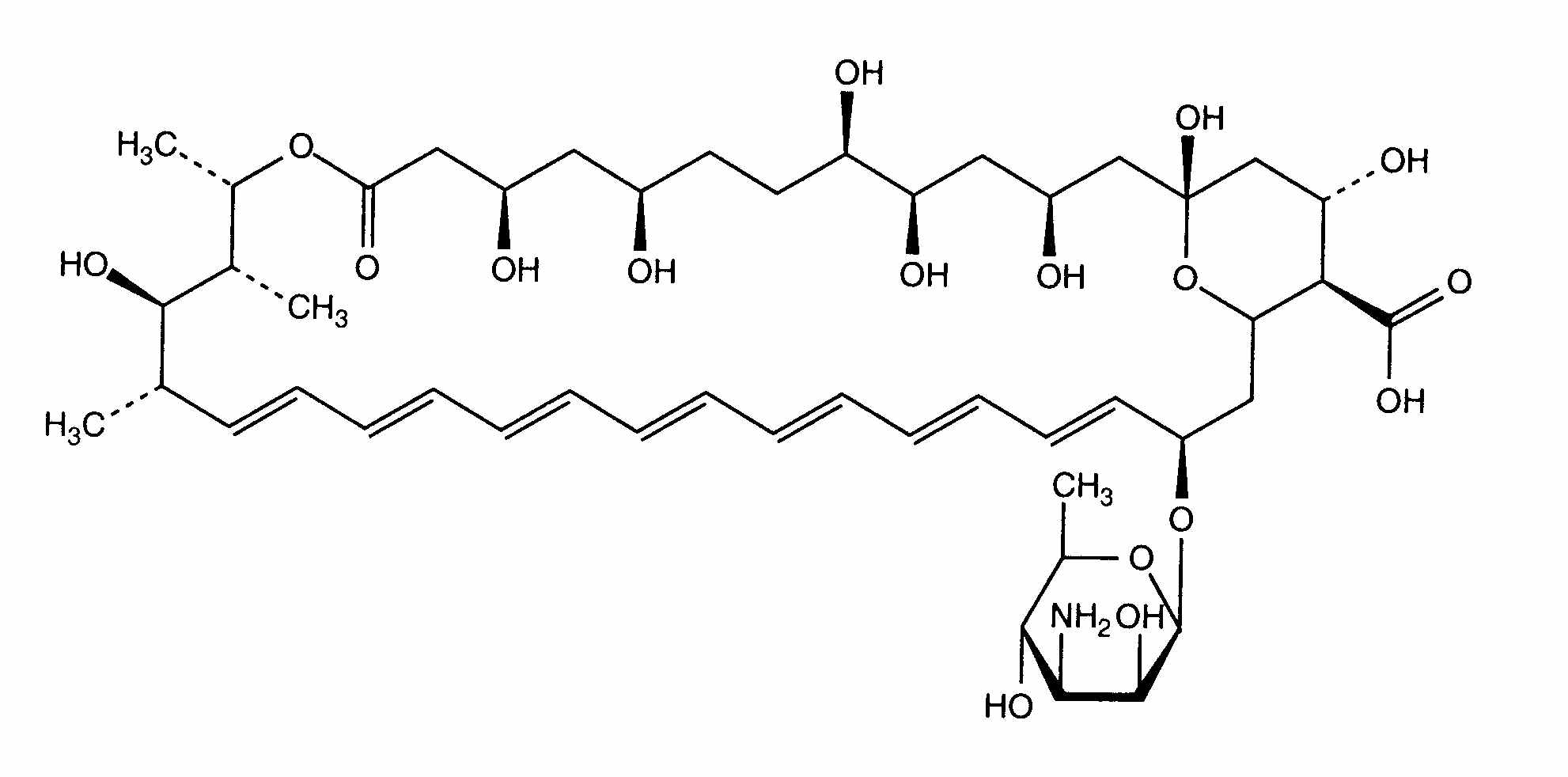
Liposom   Kemisk struktur  

Handelsnavn   Handelsnavn     

Handel navne er vejledende og hjælpestoffer sammensætning kan være forskellig afhængigt af landet og laboratorier

Ambisome Argentina, Belgien, Brasilien, Canada, Chile, Danmark, Finland, Forenede Arabiske Emirater, Frankrig, Grækenland, Holland, Indien, Irland, Island, Italien, Japan, Luxemborg, Marokko, New Zealand, Norge, Polen, Portugal, Saudi-Arabien, Schweiz, Spanien, Storbritanien, Sverige, Thailand, Tyrkiet, Tyskland, Ungarn, USA, Ægypten, Østrig
Kompatibilitet   Injektion   Kompatibilitet : Amphotericin B liposomale              
Denne skærm viser kompatibilitet eller uforenelighed med, i dette tilfælde typen af inkompatibilitet (udfældning, farveændring, ændring af en emulsion osv.). Kompatibiliteterne vist her er for det meste kun fysiske, idet den kemiske stabilitet af hvert molekyle sjældent vurderes. Evalueringen af disse blandinger blev undersøgt for at overveje muligheden for Y-sted-administration til patienten. Disse data kan ikke bruges til at fremstille blandinger på forhånd i poser eller sprøjter. Denne type information findes på skærmen "Stabilitet i blanding".
Molekyle Opløsningsmiddel Bibliografi
Umiddelbar nedbør Uforenelig
Injektion Amphotericin B liposomale
Vand til injektion + antibakteriel 3398
Kompatibel
Injektion Amphotericin B liposomale 2 mg/ml
Injektion Amoxicillin sodium / clavulanic acid 100/10 mg/ml
3824
Kompatibel
Injektion Amphotericin B liposomale 4 mg/ml
Injektion Caffeine 10 mg/ml
Ingen 3964
Umiddelbar turbiditet Uforenelig
Injektion Amphotericin B liposomale 2 mg/ml
Injektion Caffeine citrate 20 mg/ml
4837
Uspecificeret inkompatibilitet Uforenelig
Injektion Amphotericin B liposomale
Injektion Calcium gluconate
3644
Uforenelig
Injektion Amphotericin B liposomale
Injektion Calcium gluconate
4964
Kompatibel
Injektion Amphotericin B liposomale 4 mg/ml
Ringer laktat 4603
Kompatibel
Injektion Amphotericin B liposomale
5 % Glukose 3398
Kompatibel
Injektion Amphotericin B liposomale 1 mg/ml
Injektion Anidulafungin 0.5 mg/ml
5 % Glukose 1982
Kompatibel
Injektion Amphotericin B liposomale 1 mg/ml
Injektion Blinatumomab 0.125 & 0.375 µg/ml
0,9 % Natriumklorid 3976
Kompatibel
Injektion Amphotericin B liposomale 2 mg/ml
Injektion Caffeine 10 mg/ml
5 % Glukose 4837
Umiddelbar nedbør Uforenelig
Injektion Amphotericin B liposomale 1 mg/ml
Injektion Caspofungin acetate 0,7 mg/ml
0,9 % Natriumklorid 2247
Umiddelbar turbiditet Uforenelig
Injektion Amphotericin B liposomale 2 mg/ml
Injektion Ceftolozane / tazobactam 10/5 mg/ml
5 % Glukose 3828
Kompatibel
Injektion Amphotericin B liposomale 4 mg/ml
Injektion Cloxacillin sodium 100 mg/ml
Vand til injektion 3012
Kompatibel
Injektion Amphotericin B liposomale 2 mg/ml
Injektion Defibrotide 8 mg/ml
0,9 % Natriumklorid 3728
Kompatibel
Injektion Amphotericin B liposomale 1 mg/ml
Injektion Doripenem 5 mg/ml
5 % Glukose 2262
Umiddelbar turbiditet Uforenelig
Injektion Amphotericin B liposomale 1 mg/ml
Injektion Doripenem 5 mg/ml
0,9 % Natriumklorid 2262
Tab af uklarhed Uforenelig
Injektion Amphotericin B liposomale 2 mg/ml
Injektion Fosfomycin 30 mg/ml
5 % Glukose 4055
Umiddelbar turbiditet Uforenelig
Injektion Amphotericin B liposomale 2 mg/ml
Injektion Isavuconazonium sulfate 1.5 mg/ml
5 % Glukose 3829
Kompatibel
Injektion Amphotericin B liposomale 2 mg/ml
Injektion Meropenem 50 mg/ml
4319
Kompatibel
Injektion Amphotericin B liposomale 2 mg/ml
Injektion Paracetamol 10 mg/ml
4742
Kompatibel
Injektion Amphotericin B liposomale 2 mg/ml
Injektion Pentoxifyllin 5 mg/ml
5 % Glukose 4543
Umiddelbar nedbør Uforenelig
Injektion Amphotericin B liposomale 1 mg/ml
Injektion Telavancin hydrochloride 7,5 mg/ml
5 % Glukose 3254
Umiddelbar nedbør Uforenelig
Injektion Amphotericin B liposomale 1.16 mg/ml
Injektion Vancomycin hydrochloride 10 & 62.5 & 83.3 mg/ml
5 % Glukose 4254
Umiddelbar nedbør Uforenelig
Injektion Amphotericin B liposomale
0,9 % Natriumklorid 3398
Kompatibel
Injektion Amphotericin B liposomale 2 mg/ml
Injektion Sildenafil citrate 0,6 mg/ml
5 % Glukose 4845

  Mentions Légales