Последно актуализиране :
18/03/2026
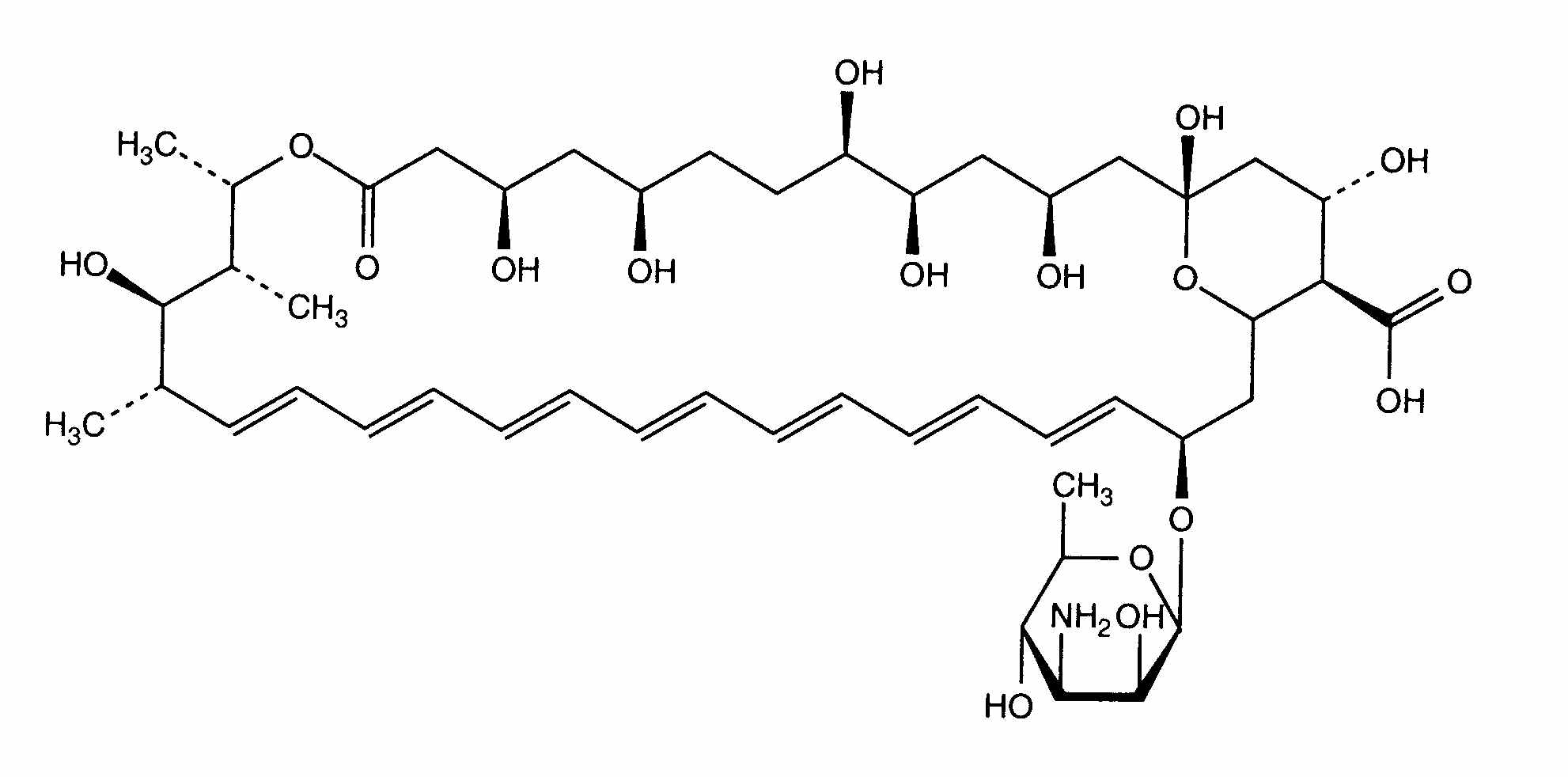
Противогъбично средство   Amphotericin B liposomale  
Инжекция/Инжекционен
Капки за очи
Стабилност на разтвори Стабилност на смеси Фактори, повлияващи стабилността Съвместимост Път на въвеждане Библиография Pdf
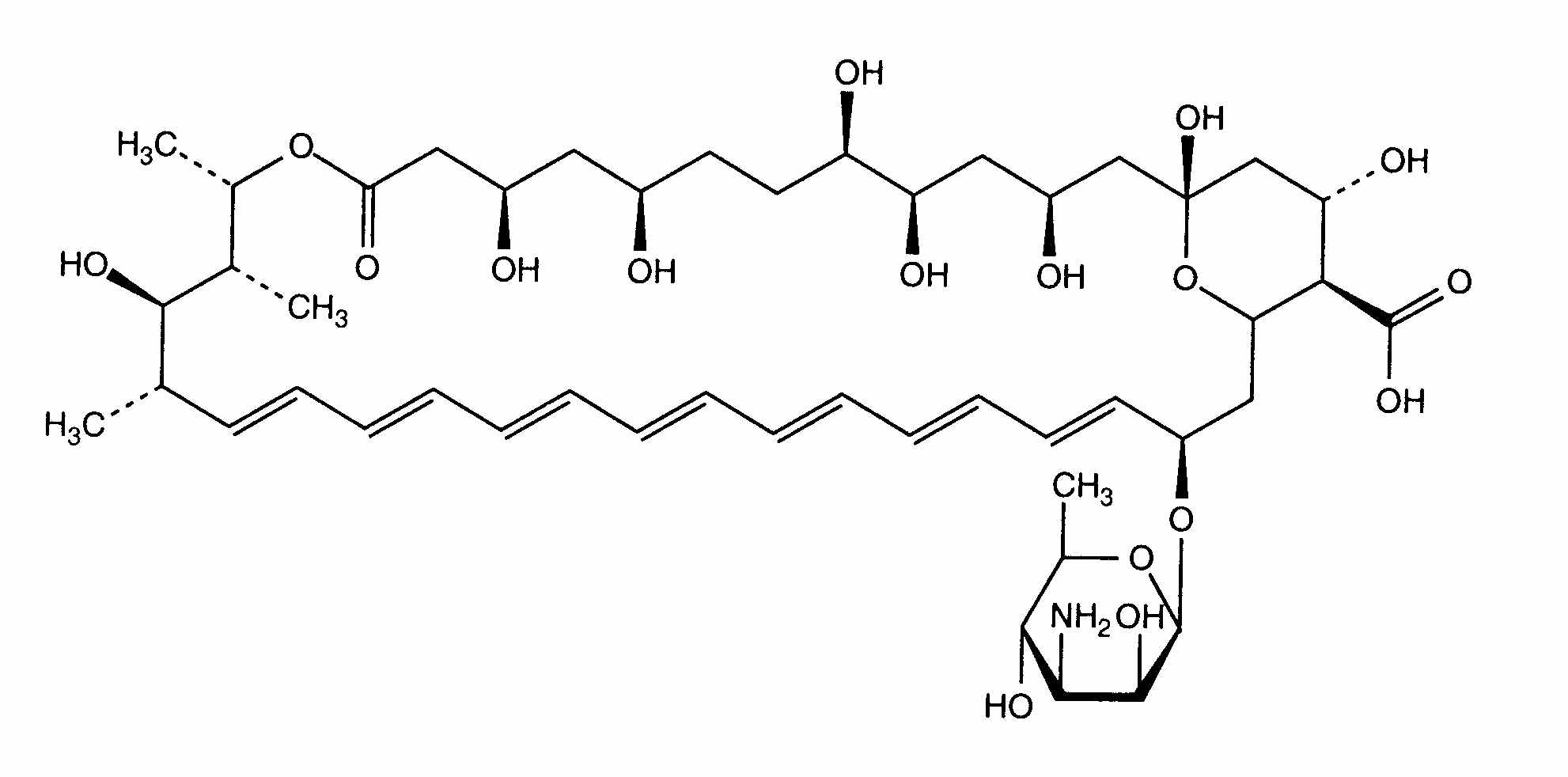
липозомен   Химична структура  

Търговско наименование   Търговско наименование     

Търговските имена са примерни и съставът на помощните вещества може да бъде различен в зависимост от държавата и лабораториите

Ambisome Австрия, Аржентина, Белгия, Бразилия, Великобритания, Германия, Гърция, Дания, Египет, Индия, Ирландия, Исландия, Испания, Италия, Канада, Люксенбург, нова Зеландия, Норвегия, Обединени арабски емирства, Перу, Полша, Португалия, Саудитска Арабия, Съединени Американски щати / САЩ, Тайланд, Турция, Унгария, Финландия, Франция, Холандия, Чили, Швейцария, Швеция, Япония
Съвместимост   Инжекция/Инжекционен   Съвместимост : Amphotericin B liposomale              
Този екран показва съвместимостта или несъвместимостта с, в този случай, вида на несъвместимостта (утаяване, промяна на цвета, модификация на емулсия и др.). Показаните тук съвместимости са предимно физически, като рядко се оценява химическата стабилност на всяка молекула. Оценката на тези смеси беше проучена, за да се разгледа възможността за приложение на Y-място на пациента. Тези данни не могат да се използват за предварително приготвяне на смеси в торбички или спринцовки. Този тип информация е достъпна на екрана "Стабилност в сместа".
Състав / молекула Разтворител Библиография
Незабавни валежи Несъвместим
Инжекция/Инжекционен Amphotericin B liposomale
Вода за инжекции + антибактериално 3398
съвместим
Инжекция/Инжекционен Amphotericin B liposomale 2 mg/ml
Инжекция/Инжекционен Amoxicillin sodium / clavulanic acid 100/10 mg/ml
3824
съвместим
Инжекция/Инжекционен Amphotericin B liposomale 4 mg/ml
Инжекция/Инжекционен Caffeine 10 mg/ml
Няма 3964
Незабавна мътност Несъвместим
Инжекция/Инжекционен Amphotericin B liposomale 2 mg/ml
Инжекция/Инжекционен Caffeine citrate 20 mg/ml
4837
Неопределена несъвместимост Несъвместим
Инжекция/Инжекционен Amphotericin B liposomale
Инжекция/Инжекционен Calcium gluconate
3644
Несъвместим
Инжекция/Инжекционен Amphotericin B liposomale
Инжекция/Инжекционен Calcium gluconate
4964
съвместим
Инжекция/Инжекционен Amphotericin B liposomale 4 mg/ml
Ринтер лактат 4603
съвместим
Инжекция/Инжекционен Amphotericin B liposomale
Glucose 5% 3398
съвместим
Инжекция/Инжекционен Amphotericin B liposomale 1 mg/ml
Инжекция/Инжекционен Anidulafungin 0.5 mg/ml
Glucose 5% 1982
съвместим
Инжекция/Инжекционен Amphotericin B liposomale 1 mg/ml
Инжекция/Инжекционен Blinatumomab 0.125 & 0.375 µg/ml
Sodium chloride 0,9% 3976
съвместим
Инжекция/Инжекционен Amphotericin B liposomale 2 mg/ml
Инжекция/Инжекционен Caffeine 10 mg/ml
Glucose 5% 4837
Незабавни валежи Несъвместим
Инжекция/Инжекционен Amphotericin B liposomale 1 mg/ml
Инжекция/Инжекционен Caspofungin acetate 0,7 mg/ml
Sodium chloride 0,9% 2247
Незабавна мътност Несъвместим
Инжекция/Инжекционен Amphotericin B liposomale 2 mg/ml
Инжекция/Инжекционен Ceftolozane / tazobactam 10/5 mg/ml
Glucose 5% 3828
съвместим
Инжекция/Инжекционен Amphotericin B liposomale 4 mg/ml
Инжекция/Инжекционен Cloxacillin sodium 100 mg/ml
Вода за инжекции 3012
съвместим
Инжекция/Инжекционен Amphotericin B liposomale 2 mg/ml
Инжекция/Инжекционен Defibrotide 8 mg/ml
Sodium chloride 0,9% 3728
съвместим
Инжекция/Инжекционен Amphotericin B liposomale 1 mg/ml
Инжекция/Инжекционен Doripenem 5 mg/ml
Glucose 5% 2262
Незабавна мътност Несъвместим
Инжекция/Инжекционен Amphotericin B liposomale 1 mg/ml
Инжекция/Инжекционен Doripenem 5 mg/ml
Sodium chloride 0,9% 2262
Загуба на мътност Несъвместим
Инжекция/Инжекционен Amphotericin B liposomale 2 mg/ml
Инжекция/Инжекционен Fosfomycin 30 mg/ml
Glucose 5% 4055
Незабавна мътност Несъвместим
Инжекция/Инжекционен Amphotericin B liposomale 2 mg/ml
Инжекция/Инжекционен Isavuconazonium sulfate 1.5 mg/ml
Glucose 5% 3829
съвместим
Инжекция/Инжекционен Amphotericin B liposomale 2 mg/ml
Инжекция/Инжекционен Meropenem 50 mg/ml
4319
съвместим
Инжекция/Инжекционен Amphotericin B liposomale 2 mg/ml
Инжекция/Инжекционен Paracetamol 10 mg/ml
4742
съвместим
Инжекция/Инжекционен Amphotericin B liposomale 2 mg/ml
Инжекция/Инжекционен Pentoxifyllin 5 mg/ml
Glucose 5% 4543
Незабавни валежи Несъвместим
Инжекция/Инжекционен Amphotericin B liposomale 1 mg/ml
Инжекция/Инжекционен Telavancin hydrochloride 7,5 mg/ml
Glucose 5% 3254
Незабавни валежи Несъвместим
Инжекция/Инжекционен Amphotericin B liposomale 1.16 mg/ml
Инжекция/Инжекционен Vancomycin hydrochloride 10 & 62.5 & 83.3 mg/ml
Glucose 5% 4254
Незабавни валежи Несъвместим
Инжекция/Инжекционен Amphotericin B liposomale
Sodium chloride 0,9% 3398
съвместим
Инжекция/Инжекционен Amphotericin B liposomale 2 mg/ml
Инжекция/Инжекционен Sildenafil citrate 0,6 mg/ml
Glucose 5% 4845

  Mentions Légales