Ostatnia aktualizacja :
18/03/2026
Lek przeciwgrzybiczny   Amphotericin B liposomale  
Injekcje
Krople oczne
Trwałość roztworów Trwałość w mieszaninie Czynnik wpływający na trwałość Zgodność Sposób podania Bibliografia pdf
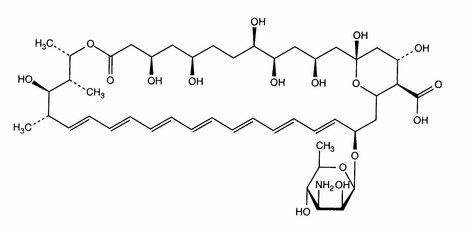
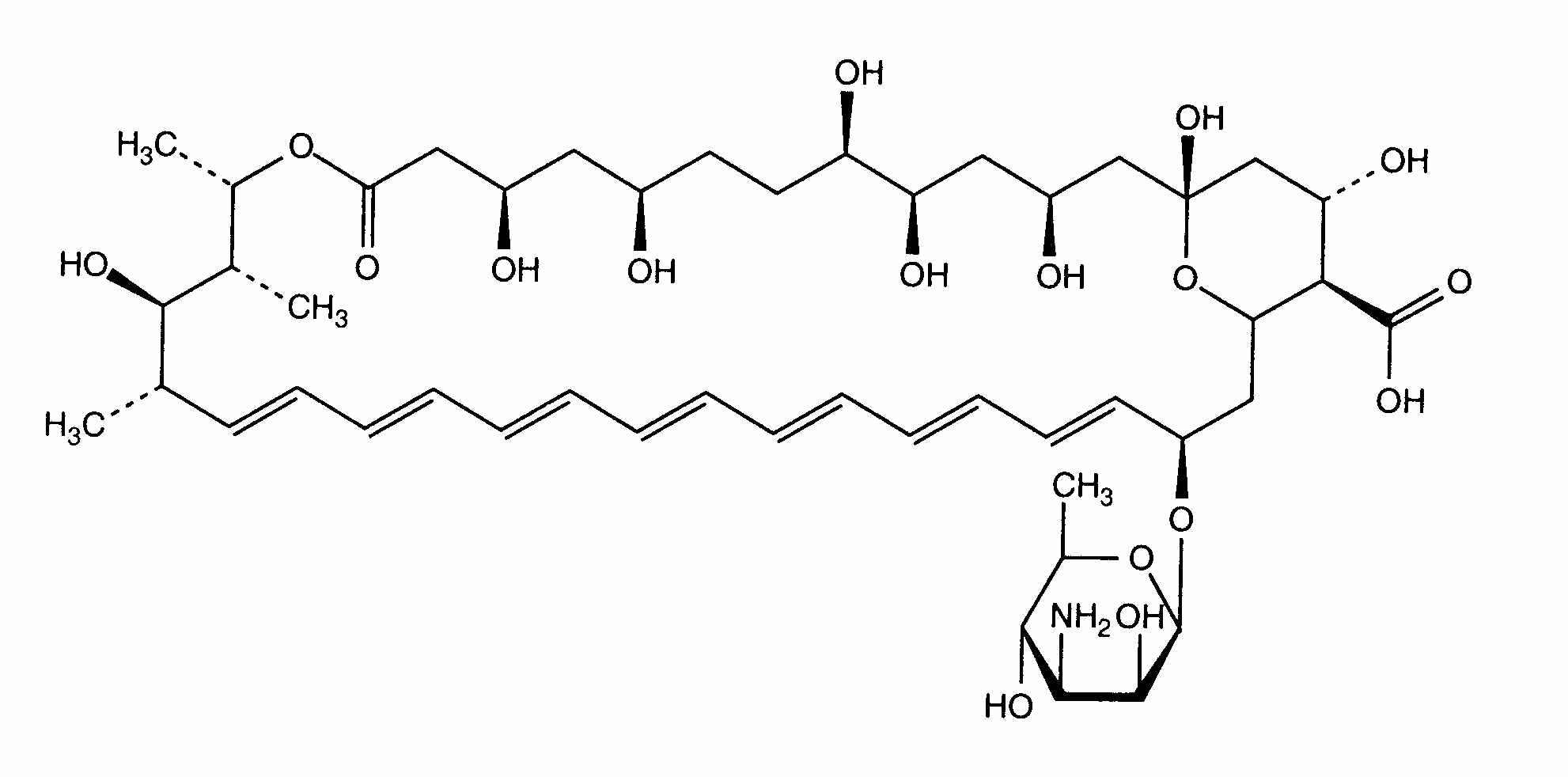
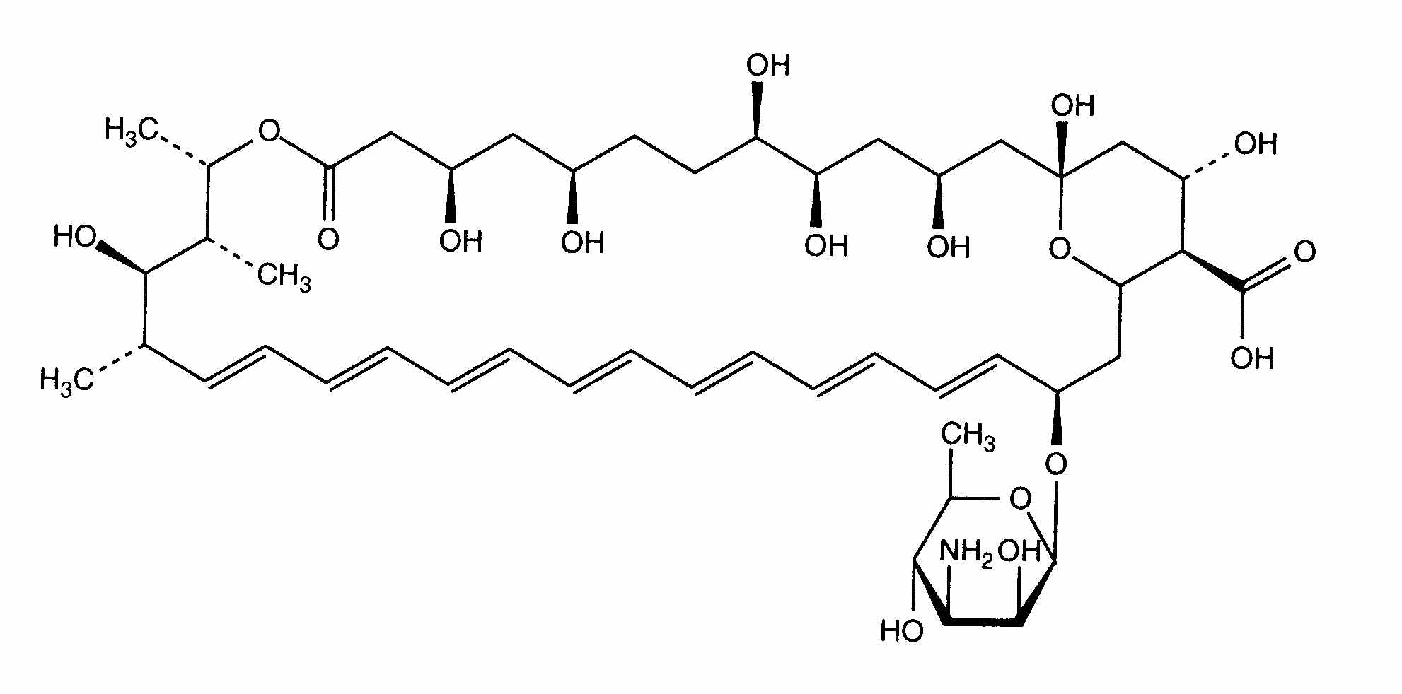
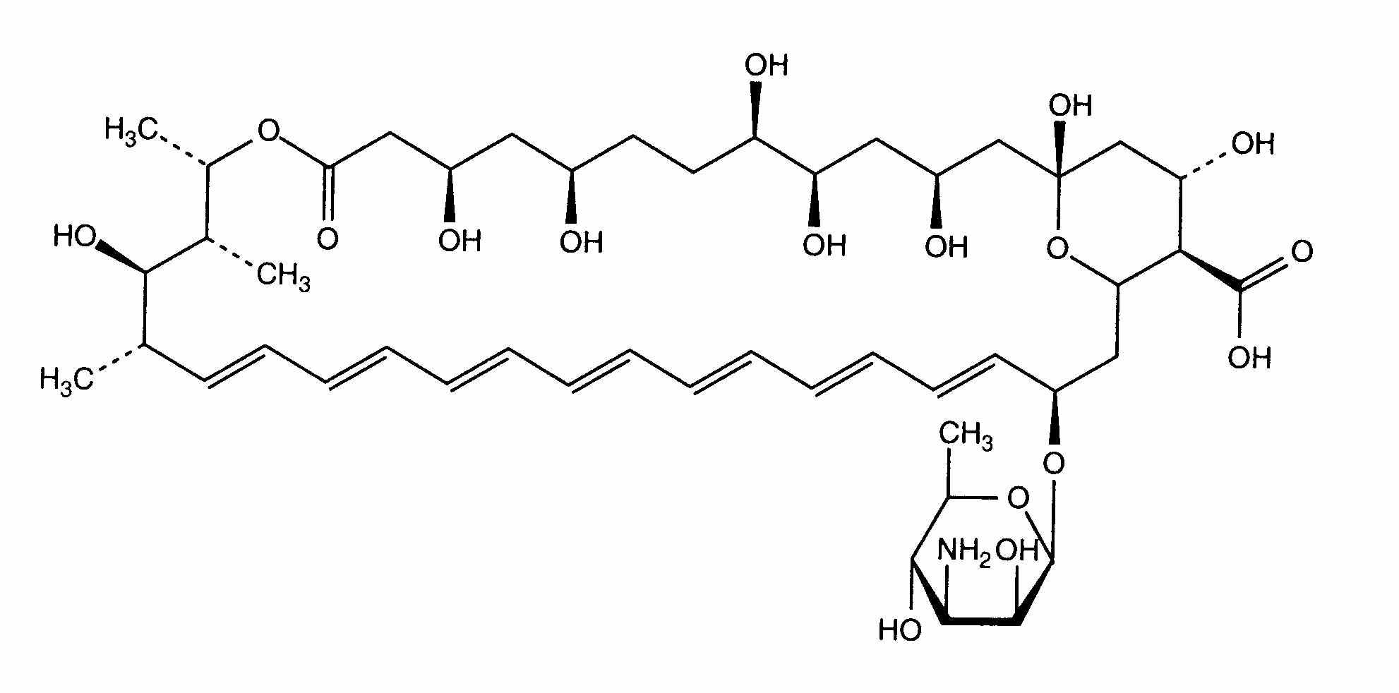
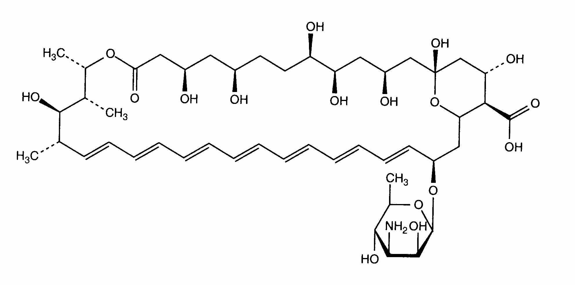
Liposomy   Struktura chemiczna  

Nazwa handlowa   Nazwa handlowa     

Trade names are indicative and excipients composition can be different depending on the country and manufacturers

Ambisome Arabia Saudyjska, Argentyna, Austria, Belgia, Brazylia, Chile, Dania, Egipt, Finlandia, Francja , Grecja, Hiszpania, Holandia, Indie, Irlandia, Islandia, Japonia, Kanada, Luksemburg, Niemcy, Norwegia, nowa Zelandia, Peru, Polska, Portugalia, Stany Zjednoczone Ameryki, Szwajcaria, Szwecja, Tajlandia, Turcja, Węgry, Wielka Brytania, Włochy, Zjednoczone Emiraty Arabskie
Zgodność   Injekcje   Zgodność : Amphotericin B liposomale              
Ekran ten wskazuje na kompatybilności lub niezgodności z, w tym przypadku, rodzajem niezgodności (strącanie, zmiana koloru, modyfikacja emulsji, itp.). Przedstawione tutaj kompatybilności są głównie fizyczne, a stabilność chemiczna każdej cząsteczki jest rzadko oceniana. Ocenę tych mieszanin badano w celu rozważenia możliwości podania pacjentowi w miejscu Y. Dane te nie mogą być wykorzystywane do sporządzania mieszanin z wyprzedzeniem w workach lub strzykawkach. Tego typu informacje są dostępne na ekranie „Stabilność w mieszaninie”.
Związek Rozpuszczalnik Bibliografia
Natychmiastowe opady Niekompatybilny
Injekcje Amphotericin B liposomale
Woda do wstrzyknięć + bakteriostatyk 3398
Zgodny
Injekcje Amphotericin B liposomale 2 mg/ml
Injekcje Amoxicillin sodium / clavulanic acid 100/10 mg/ml
3824
Zgodny
Injekcje Amphotericin B liposomale 4 mg/ml
Injekcje Caffeine 10 mg/ml
Żaden 3964
Natychmiastowe zmętnienie Niekompatybilny
Injekcje Amphotericin B liposomale 2 mg/ml
Injekcje Caffeine citrate 20 mg/ml
4837
Nieokreślona niezgodność Niekompatybilny
Injekcje Amphotericin B liposomale
Injekcje Calcium gluconate
3644
Niekompatybilny
Injekcje Amphotericin B liposomale
Injekcje Calcium gluconate
4964
Zgodny
Injekcje Amphotericin B liposomale 4 mg/ml
Roztwór Ringera z mleczanem sodowym 4603
Zgodny
Injekcje Amphotericin B liposomale
Glukoza 5% 3398
Zgodny
Injekcje Amphotericin B liposomale 1 mg/ml
Injekcje Anidulafungin 0.5 mg/ml
Glukoza 5% 1982
Zgodny
Injekcje Amphotericin B liposomale 1 mg/ml
Injekcje Blinatumomab 0.125 & 0.375 µg/ml
Chlorek sodu 0,9% 3976
Zgodny
Injekcje Amphotericin B liposomale 2 mg/ml
Injekcje Caffeine 10 mg/ml
Glukoza 5% 4837
Natychmiastowe opady Niekompatybilny
Injekcje Amphotericin B liposomale 1 mg/ml
Injekcje Caspofungin acetate 0,7 mg/ml
Chlorek sodu 0,9% 2247
Natychmiastowe zmętnienie Niekompatybilny
Injekcje Amphotericin B liposomale 2 mg/ml
Injekcje Ceftolozane / tazobactam 10/5 mg/ml
Glukoza 5% 3828
Zgodny
Injekcje Amphotericin B liposomale 4 mg/ml
Injekcje Cloxacillin sodium 100 mg/ml
Woda do wstrzyknięć 3012
Zgodny
Injekcje Amphotericin B liposomale 2 mg/ml
Injekcje Defibrotide 8 mg/ml
Chlorek sodu 0,9% 3728
Zgodny
Injekcje Amphotericin B liposomale 1 mg/ml
Injekcje Doripenem 5 mg/ml
Glukoza 5% 2262
Natychmiastowe zmętnienie Niekompatybilny
Injekcje Amphotericin B liposomale 1 mg/ml
Injekcje Doripenem 5 mg/ml
Chlorek sodu 0,9% 2262
Utrata zmętnienia Niekompatybilny
Injekcje Amphotericin B liposomale 2 mg/ml
Injekcje Fosfomycin 30 mg/ml
Glukoza 5% 4055
Natychmiastowe zmętnienie Niekompatybilny
Injekcje Amphotericin B liposomale 2 mg/ml
Injekcje Isavuconazonium sulfate 1.5 mg/ml
Glukoza 5% 3829
Zgodny
Injekcje Amphotericin B liposomale 2 mg/ml
Injekcje Meropenem 50 mg/ml
4319
Zgodny
Injekcje Amphotericin B liposomale 2 mg/ml
Injekcje Paracetamol 10 mg/ml
4742
Zgodny
Injekcje Amphotericin B liposomale 2 mg/ml
Injekcje Pentoxifyllin 5 mg/ml
Glukoza 5% 4543
Natychmiastowe opady Niekompatybilny
Injekcje Amphotericin B liposomale 1 mg/ml
Injekcje Telavancin hydrochloride 7,5 mg/ml
Glukoza 5% 3254
Natychmiastowe opady Niekompatybilny
Injekcje Amphotericin B liposomale 1.16 mg/ml
Injekcje Vancomycin hydrochloride 10 & 62.5 & 83.3 mg/ml
Glukoza 5% 4254
Natychmiastowe opady Niekompatybilny
Injekcje Amphotericin B liposomale
Chlorek sodu 0,9% 3398
Zgodny
Injekcje Amphotericin B liposomale 2 mg/ml
Injekcje Sildenafil citrate 0,6 mg/ml
Glukoza 5% 4845

  Mentions Légales