Última actualización :
18/03/2026
Antifúngico   Amphotericin B liposomale  
Inyectables
Gotas oculares
Estabilidad en solucion Estabilidad en mezcla Factores que influyen sobre la estabilidad Compatibilidades método de inyección Bibliografía pdf
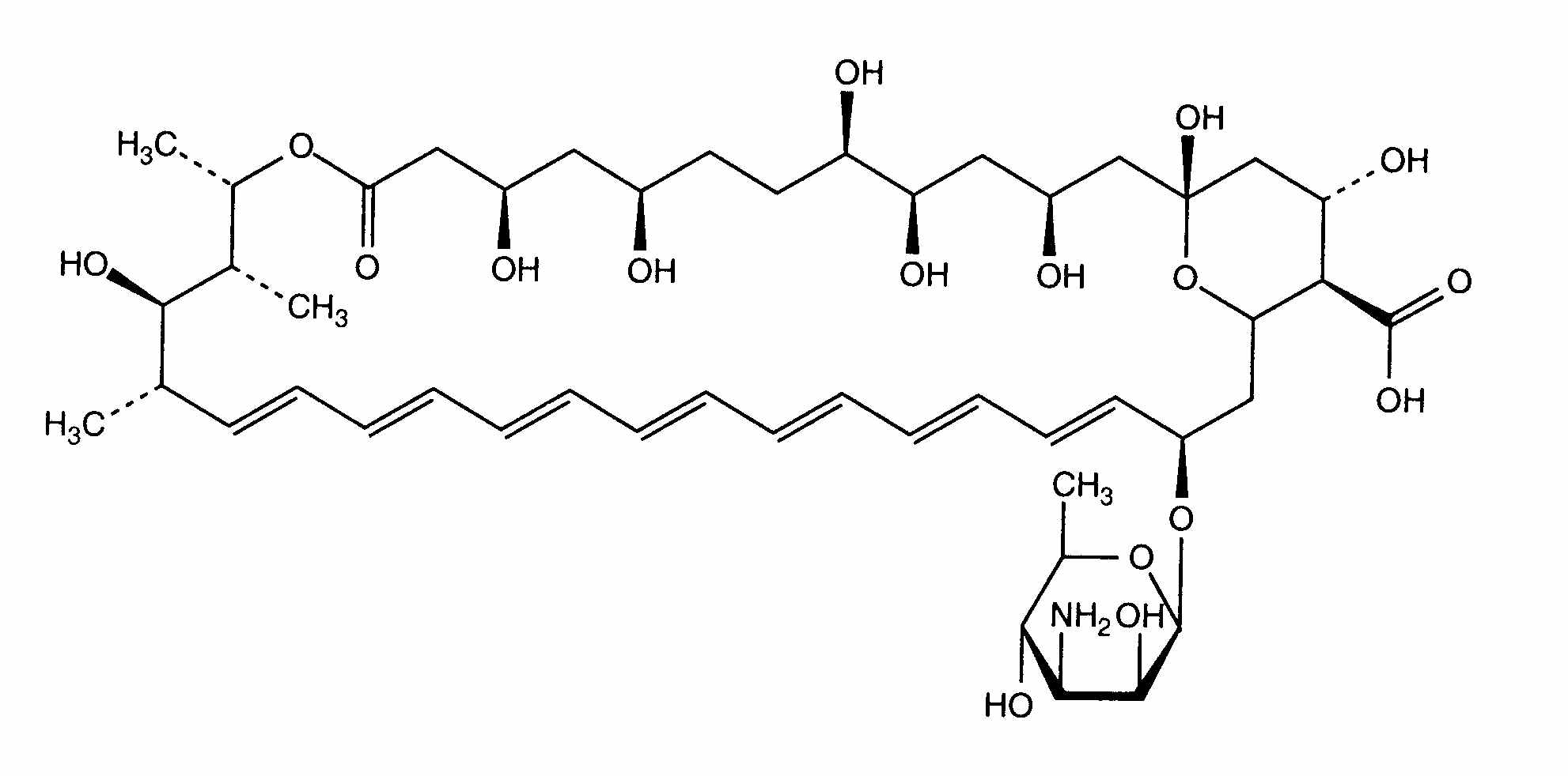
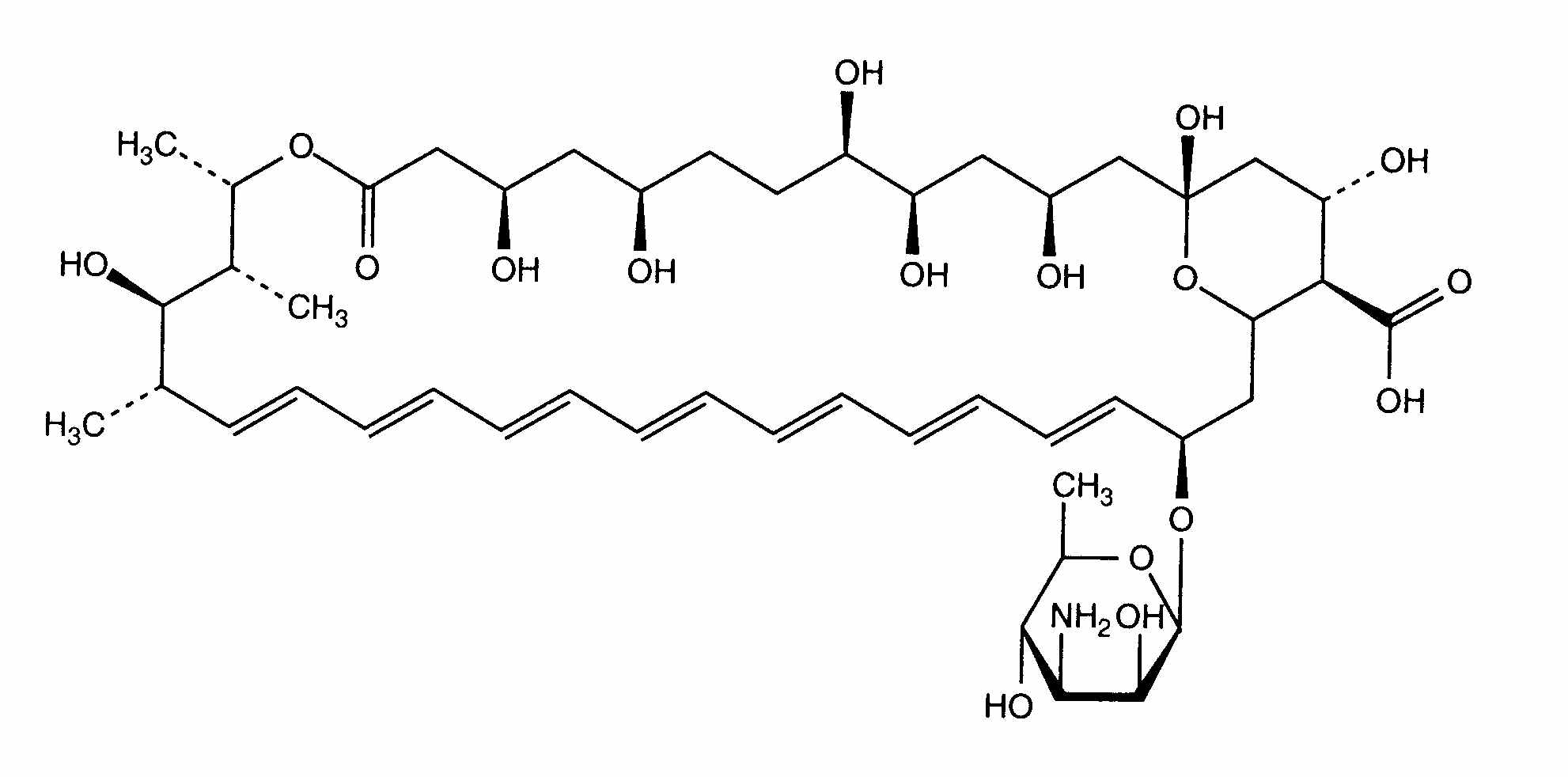
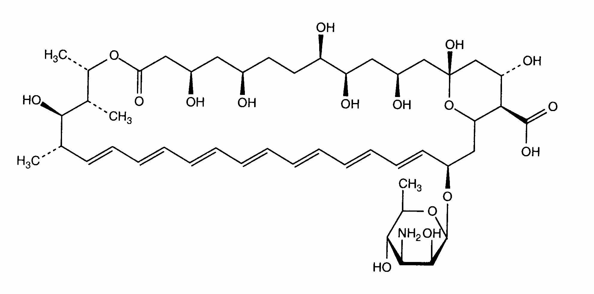
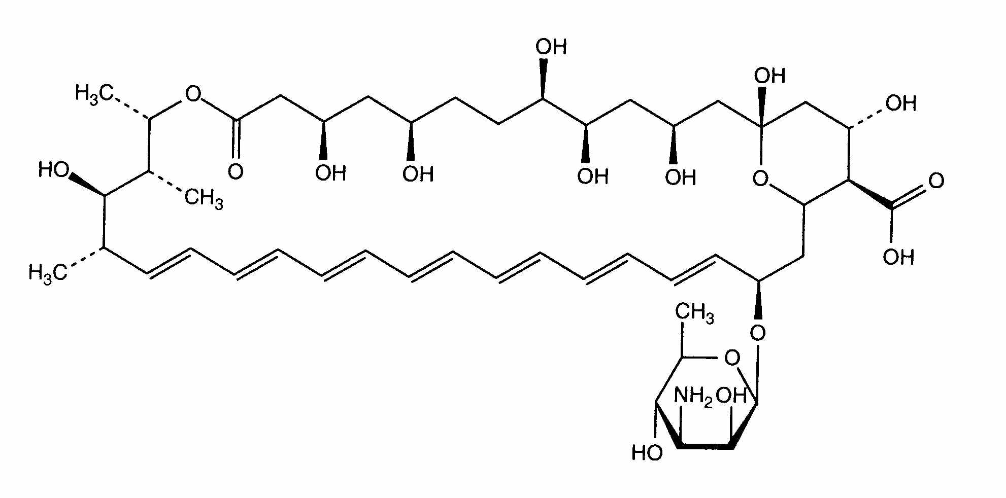
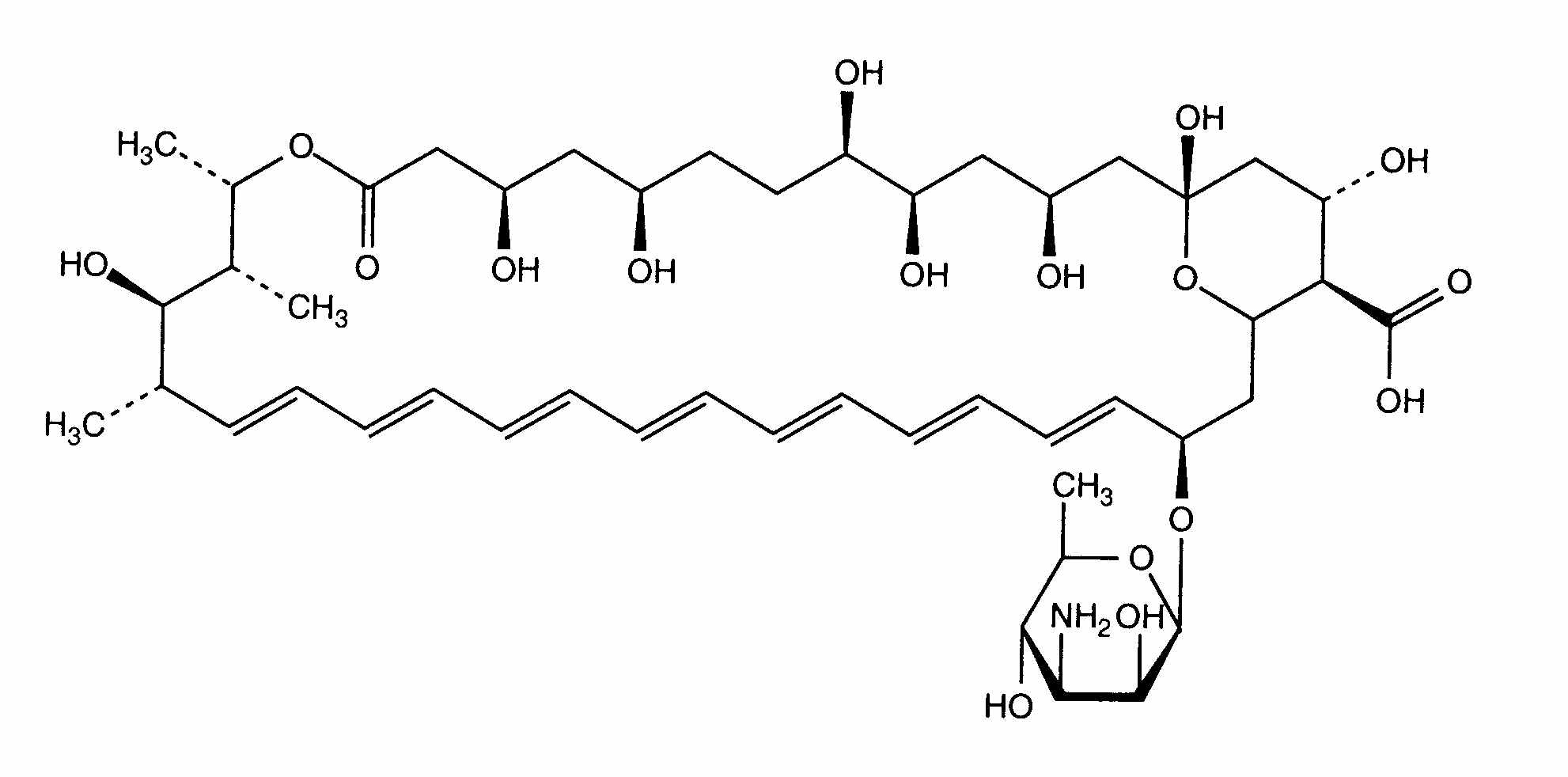
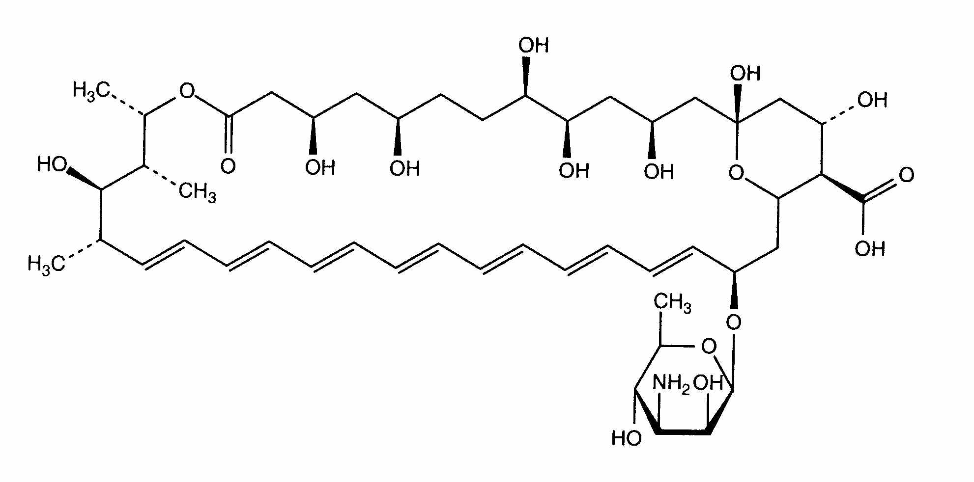
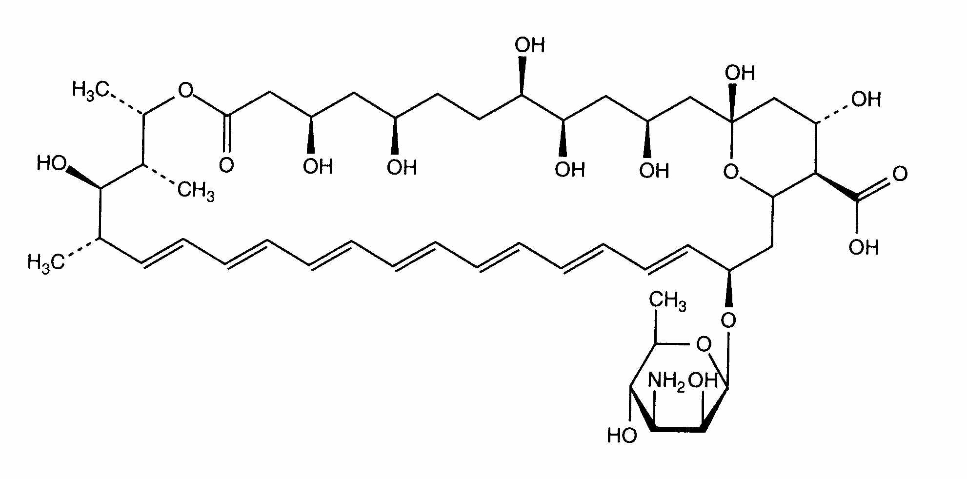
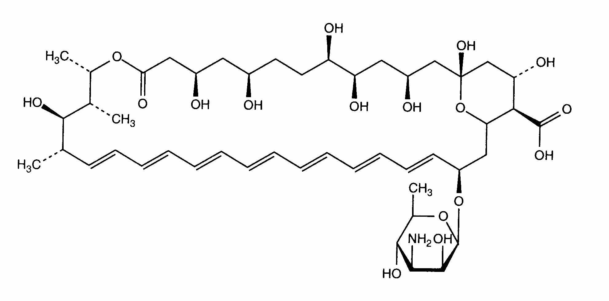
Liposoma   Estructura química  

Nombre comercial   Nombre comercial     

Los nombres comerciales son orientativos y los excipientes de la formulación pueden ser distintos dependiendo del país y del laboratorio fabricante.

Ambisome Alemania, Arabia Saudita, Argentina, Austria, Bélgica, Brasil, Canadá, Chile, Dinamarca, Egipto, Emiratos Árabes Unidos, España, Estados Unidos de América, Finlandia, Francia, Gran Bretaña, Grecia, Hungría, India, Irlanda, Islandia, Italia, Japón, Luxemburgo, Marruecos, Noruega, Nueva Zelanda, Países Bajos, Polonia, Portugal, Suecia, Suiza, Tailandia, Turquía
Compatibilidades   Inyectables   Compatibilidades : Amphotericin B liposomale              
Esta pantalla muestra las compatibilidades o incompatibilidades, así como el tipo de incompatibilidad (precipitación, cambio de color, modificación de una emulsión, etc). Las compatibilidades que se recogen aquí son fundamentalmente físicas, mostrando raramente la estabilidad química de la molécula. La evaluación de estas mezclas se estudió con el fin de de comprobar la posibilidad de administración en Y al paciente. Estos datos no pueden utilizarse en el caso de la preparación de mezclas dentro de bolsas o jeringas. Este tipo de información está disponible en la pantalla “Estabilidad en mezcla”.
Molécula Solvente Bibliografía
Precipitación inmediata Incompatible
Inyectables Amphotericin B liposomale
Agua + bacteriostático 3398
Compatible
Inyectables Amphotericin B liposomale 2 mg/ml
Inyectables Amoxicillin sodium / clavulanic acid 100/10 mg/ml
3824
Compatible
Inyectables Amphotericin B liposomale 4 mg/ml
Inyectables Caffeine 10 mg/ml
Ninguno 3964
Turbidez inmediata Incompatible
Inyectables Amphotericin B liposomale 2 mg/ml
Inyectables Caffeine citrate 20 mg/ml
4837
Incompatibilidad no especificada Incompatible
Inyectables Amphotericin B liposomale
Inyectables Calcium gluconate
3644
Incompatible
Inyectables Amphotericin B liposomale
Inyectables Calcium gluconate
4964
Compatible
Inyectables Amphotericin B liposomale 4 mg/ml
Ringer lactato 4603
Compatible
Inyectables Amphotericin B liposomale
Glucosa 5% 3398
Compatible
Inyectables Amphotericin B liposomale 1 mg/ml
Inyectables Anidulafungin 0.5 mg/ml
Glucosa 5% 1982
Compatible
Inyectables Amphotericin B liposomale 1 mg/ml
Inyectables Blinatumomab 0.125 & 0.375 µg/ml
Cloruro de sodio 0,9% 3976
Compatible
Inyectables Amphotericin B liposomale 2 mg/ml
Inyectables Caffeine 10 mg/ml
Glucosa 5% 4837
Precipitación inmediata Incompatible
Inyectables Amphotericin B liposomale 1 mg/ml
Inyectables Caspofungin acetate 0,7 mg/ml
Cloruro de sodio 0,9% 2247
Turbidez inmediata Incompatible
Inyectables Amphotericin B liposomale 2 mg/ml
Inyectables Ceftolozane / tazobactam 10/5 mg/ml
Glucosa 5% 3828
Compatible
Inyectables Amphotericin B liposomale 4 mg/ml
Inyectables Cloxacillin sodium 100 mg/ml
Agua para preparación inyectable 3012
Compatible
Inyectables Amphotericin B liposomale 2 mg/ml
Inyectables Defibrotide 8 mg/ml
Cloruro de sodio 0,9% 3728
Compatible
Inyectables Amphotericin B liposomale 1 mg/ml
Inyectables Doripenem 5 mg/ml
Glucosa 5% 2262
Turbidez inmediata Incompatible
Inyectables Amphotericin B liposomale 1 mg/ml
Inyectables Doripenem 5 mg/ml
Cloruro de sodio 0,9% 2262
Pérdida de turbidez Incompatible
Inyectables Amphotericin B liposomale 2 mg/ml
Inyectables Fosfomycin 30 mg/ml
Glucosa 5% 4055
Turbidez inmediata Incompatible
Inyectables Amphotericin B liposomale 2 mg/ml
Inyectables Isavuconazonium sulfate 1.5 mg/ml
Glucosa 5% 3829
Compatible
Inyectables Amphotericin B liposomale 2 mg/ml
Inyectables Meropenem 50 mg/ml
4319
Compatible
Inyectables Amphotericin B liposomale 2 mg/ml
Inyectables Paracetamol 10 mg/ml
4742
Compatible
Inyectables Amphotericin B liposomale 2 mg/ml
Inyectables Pentoxifyllin 5 mg/ml
Glucosa 5% 4543
Precipitación inmediata Incompatible
Inyectables Amphotericin B liposomale 1 mg/ml
Inyectables Telavancin hydrochloride 7,5 mg/ml
Glucosa 5% 3254
Precipitación inmediata Incompatible
Inyectables Amphotericin B liposomale 1.16 mg/ml
Inyectables Vancomycin hydrochloride 10 & 62.5 & 83.3 mg/ml
Glucosa 5% 4254
Precipitación inmediata Incompatible
Inyectables Amphotericin B liposomale
Cloruro de sodio 0,9% 3398
Compatible
Inyectables Amphotericin B liposomale 2 mg/ml
Inyectables Sildenafil citrate 0,6 mg/ml
Glucosa 5% 4845

  Mentions Légales