Última actualização :
18/03/2026
Antifúngico   Amphotericin B liposomale  
injetável
solução oftálmica
Estabilidade em soluções simples Estabilidade em misturas Factores que afectam a sua estabilidade Compatibilidade Método de administração Bibliografía pdf
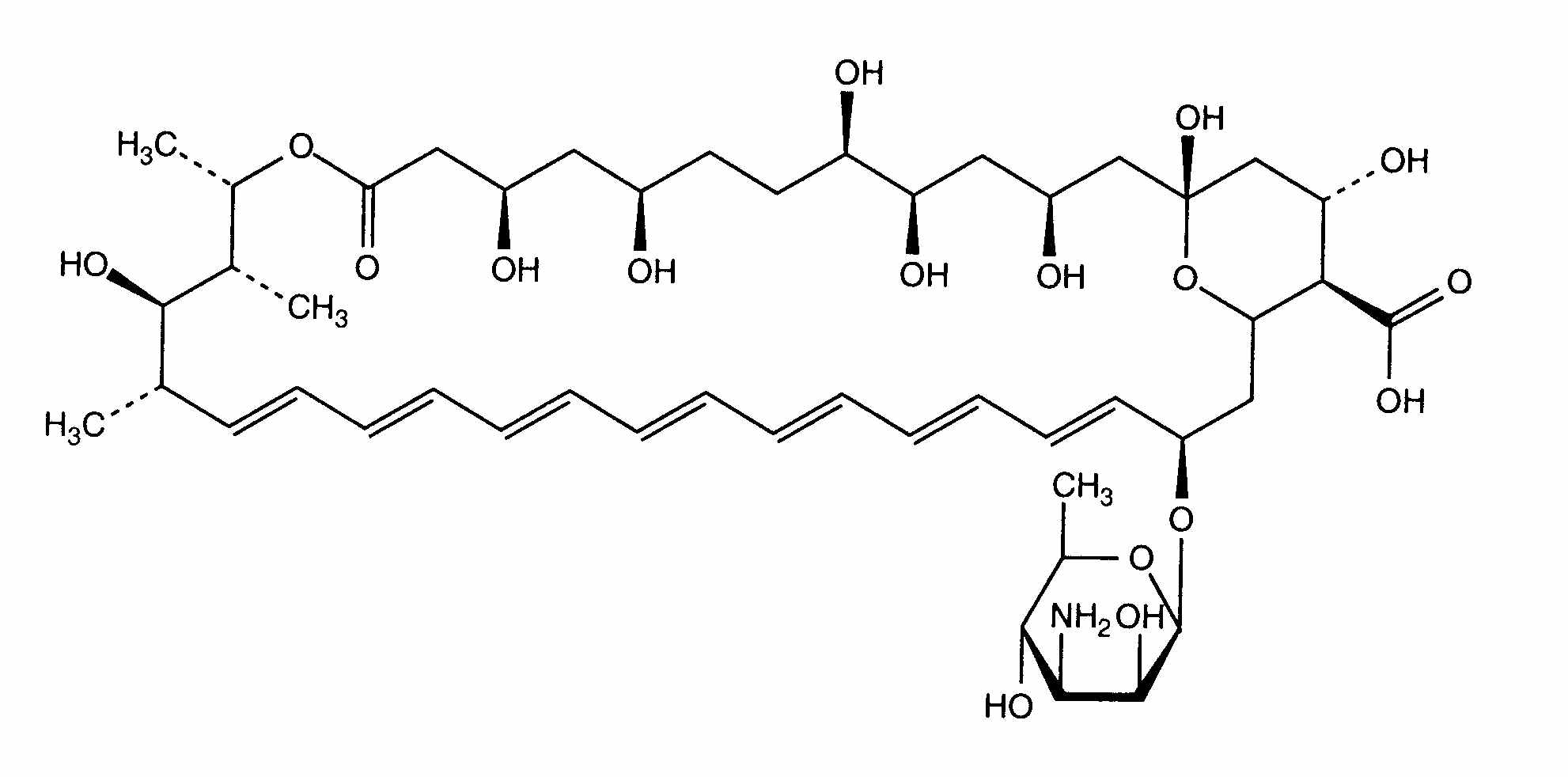
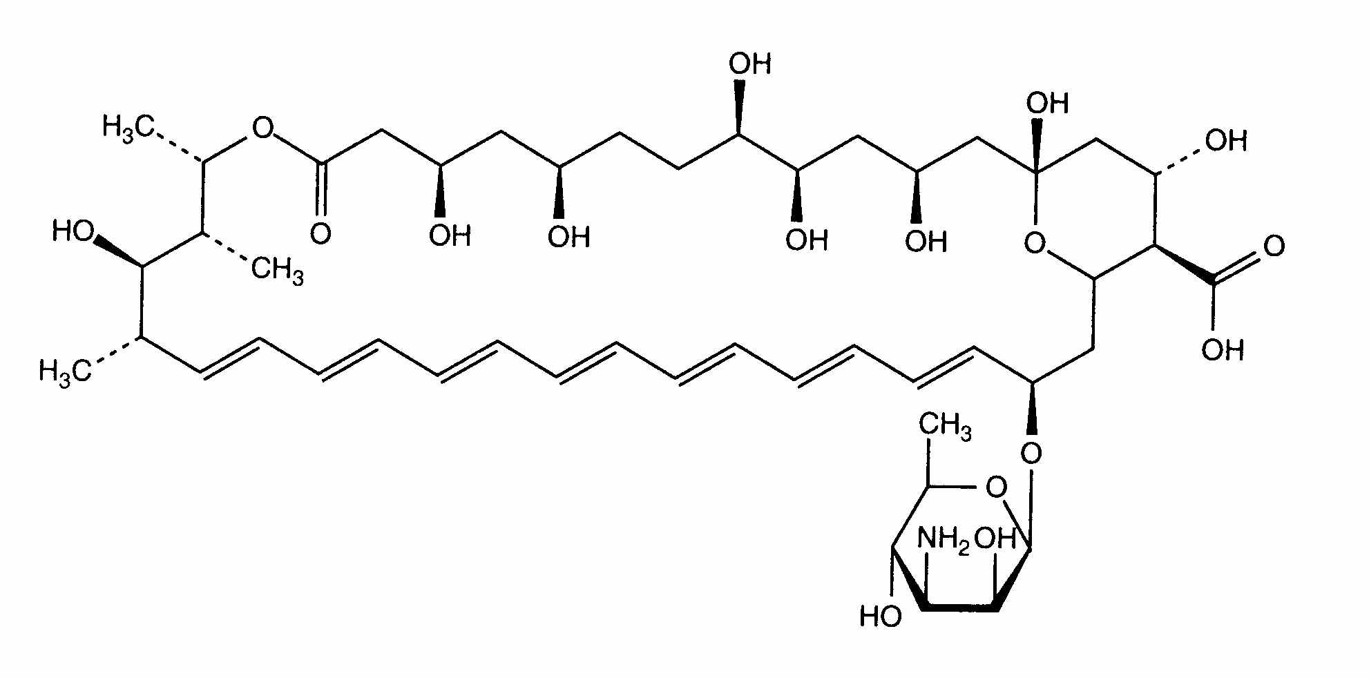
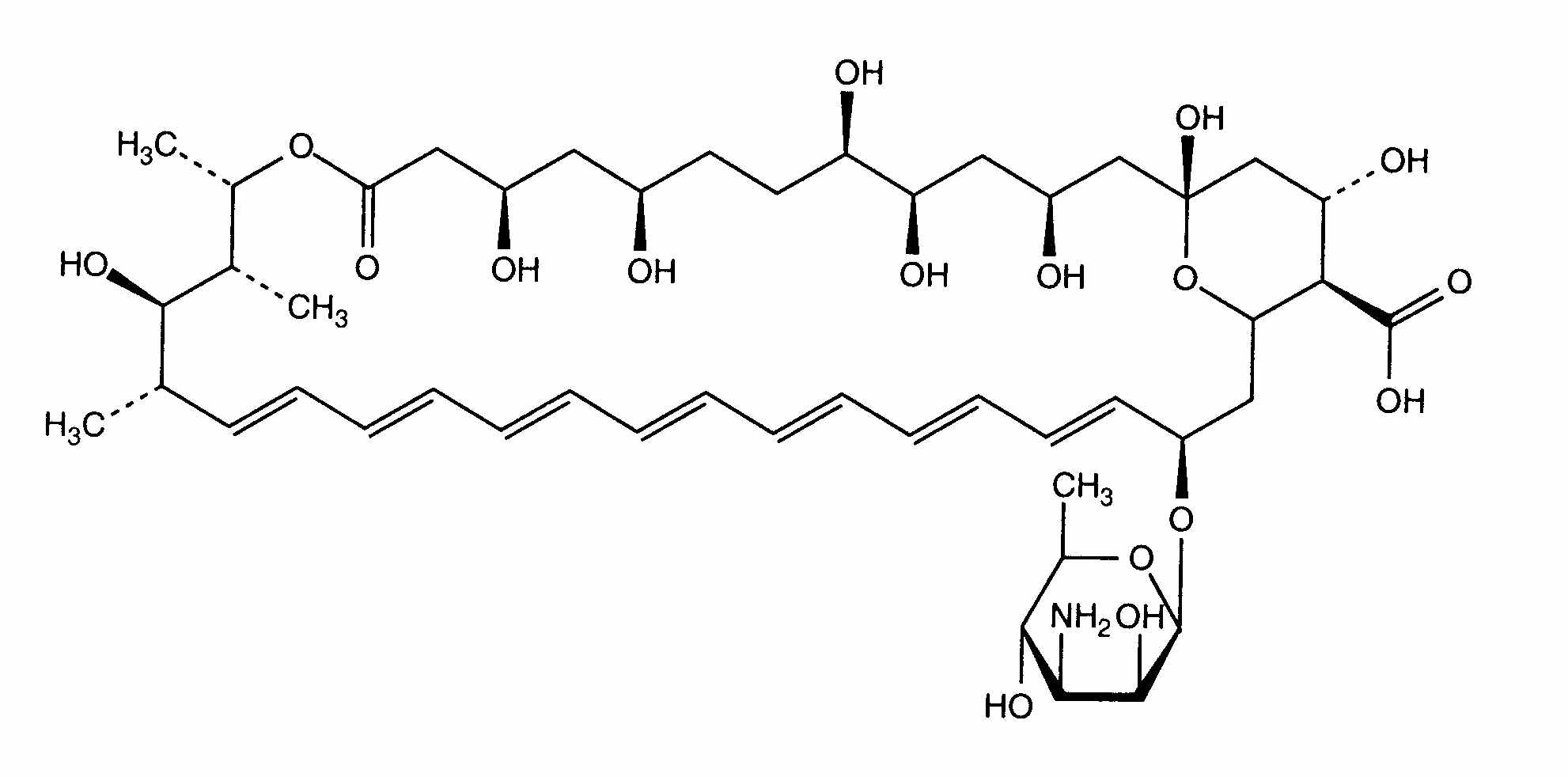
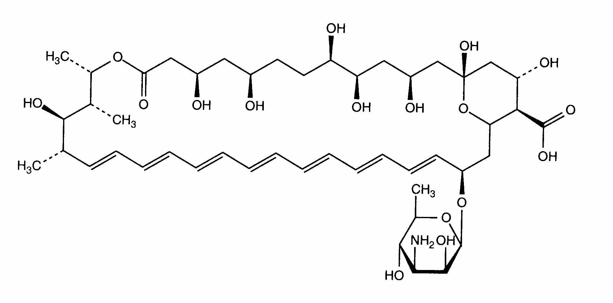
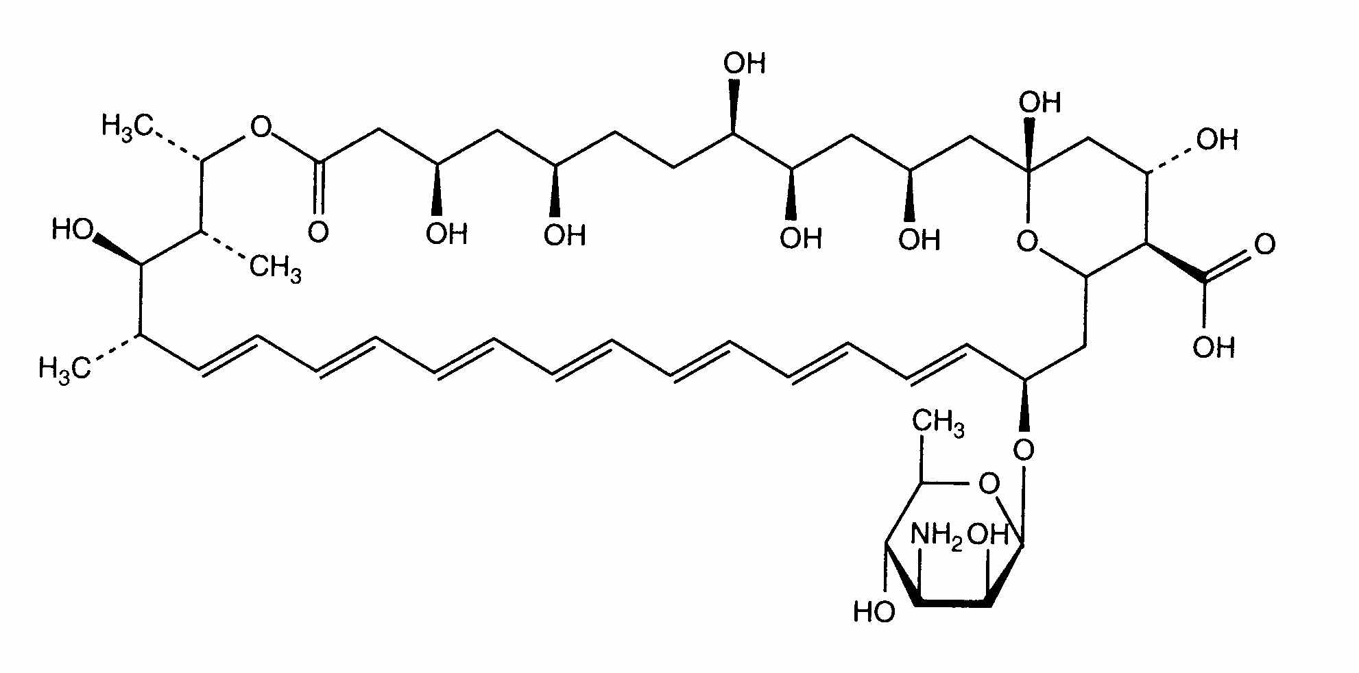
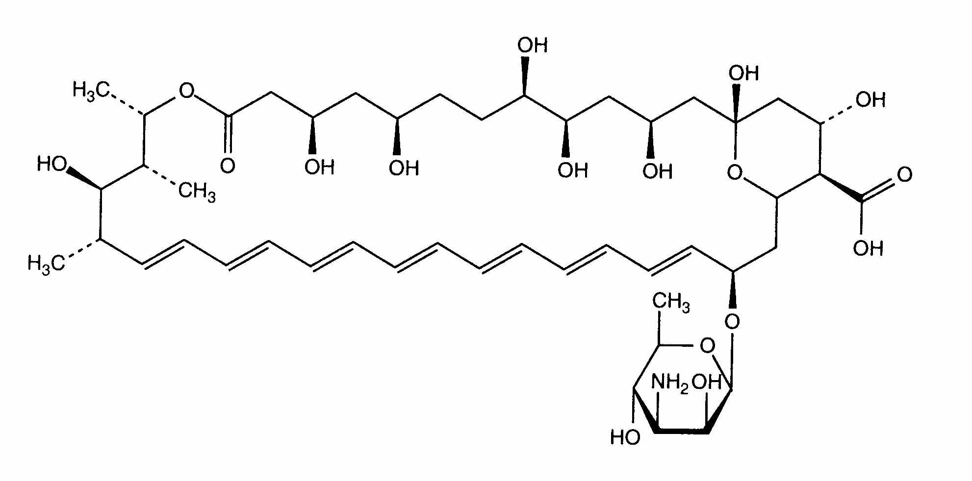
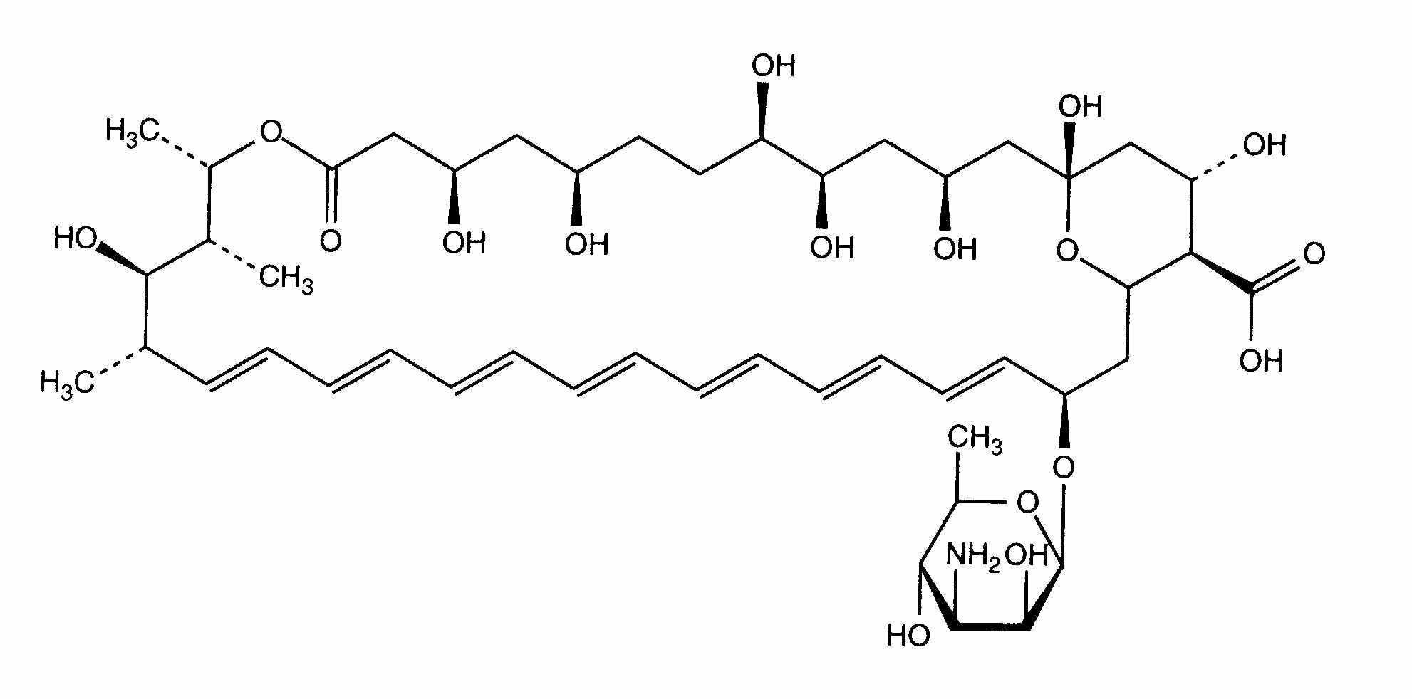
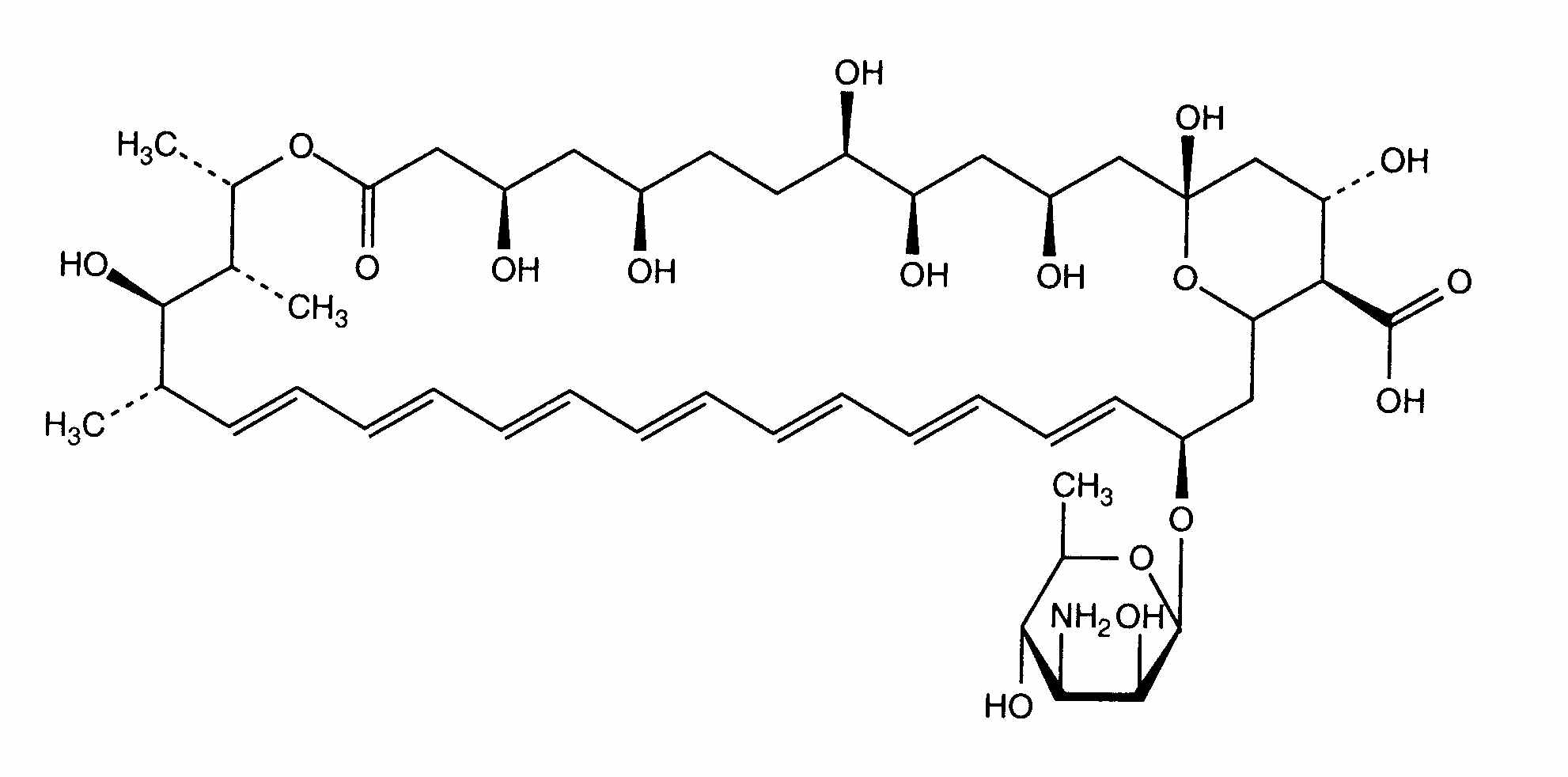
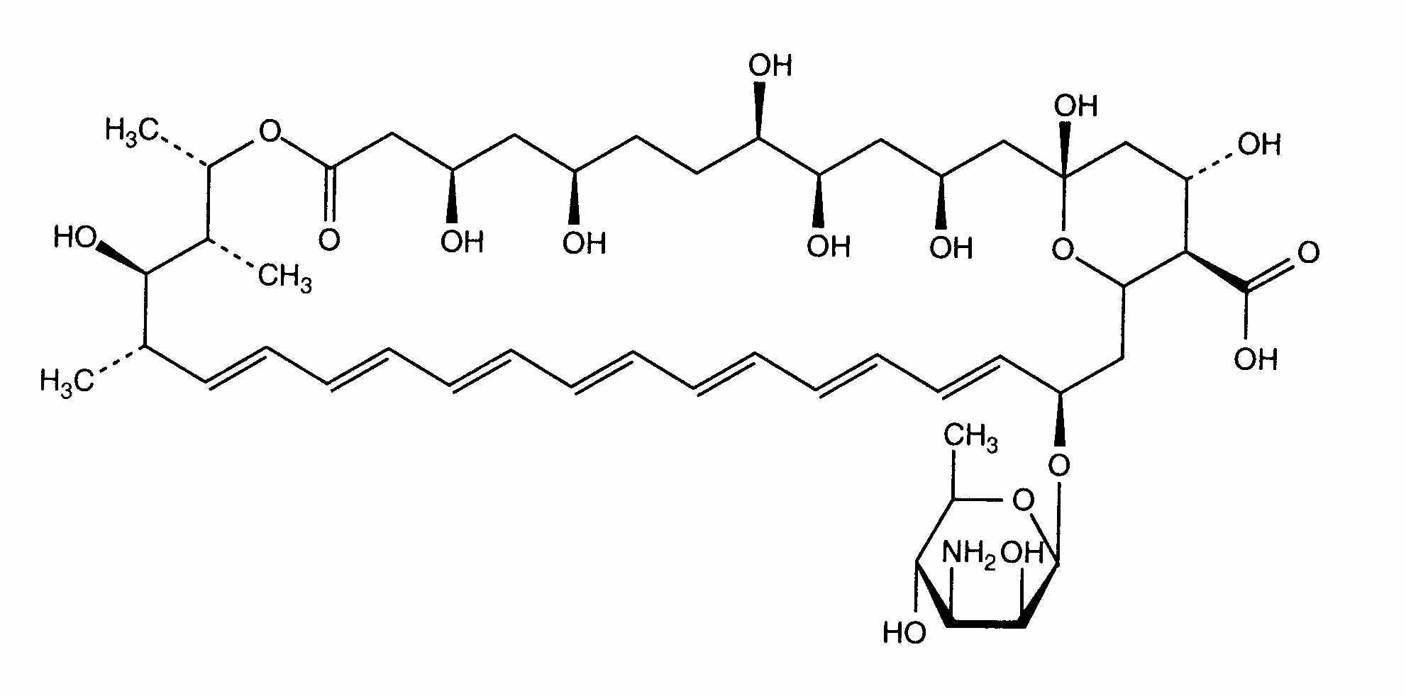
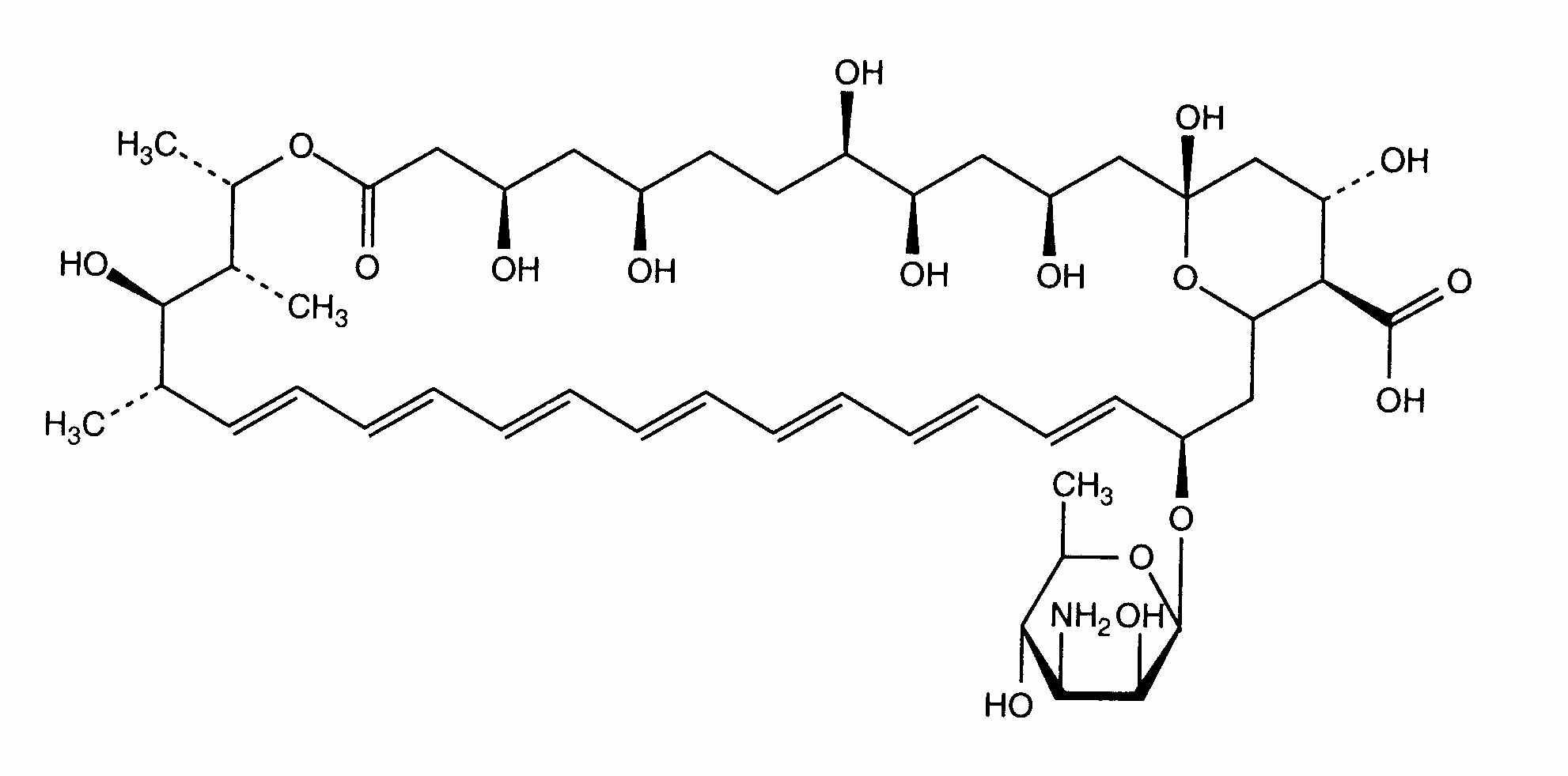
Liposoma   estrutura química  

Nomes comerciais nos diversos países   Nomes comerciais nos diversos países     

OS NOMES COMERCIAIS SÃO INDICATIVOS E OS EXCIPIENTES DA FORMULAÇÃO PODEM SER DIFERENTES CONFORME O PAÍS E FABRICANTE.

Ambisome Alemanha, Arábia Saudita, Argentina, Austria, Bélgica, Brasil, Canadá, Chilli, Dinamarca, Egipto, Emirados Árabes Unidos, Espanha, Estados Unidos de América, Finlandia, França, Gran-bretanha, Grècia, Hungria, Índia, Irlanda, Islandia, Itália, Japón, Luxemburgo, Noruega, nova Zelândia, Países Baixos, Peru, Polonia, Portugal, Suècia, Suicia, Tailandia, Turquia
Compatibilidade   injetável   Compatibilidade : Amphotericin B liposomale              
Este ecrã indica as compatibilidades ou incompatibilidades com, neste caso, o tipo de incompatibilidade (precipitação, mudança de cor, modificação de uma emulsão, etc.). As compatibilidades mostradas aqui são principalmente físicas, com a estabilidade química de cada molécula raramente sendo avaliada. A avaliação dessas misturas foi estudada para considerar a possibilidade de administração do local Y ao paciente. Estes dados não podem ser usados para fazer misturas antecipadamente em sacos ou seringas. Este tipo de informação está disponível na tela “Estabilidade na mistura».
molécula Solvente Bibliografia
Precipitação imediata Incompatível
injetável Amphotericin B liposomale
Agua+bacteriostático 3398
Compatível
injetável Amphotericin B liposomale 2 mg/ml
injetável Amoxicillin sodium / clavulanic acid 100/10 mg/ml
3824
Compatível
injetável Amphotericin B liposomale 4 mg/ml
injetável Caffeine 10 mg/ml
nenhum 3964
Turvação imediata Incompatível
injetável Amphotericin B liposomale 2 mg/ml
injetável Caffeine citrate 20 mg/ml
4837
Incompatibilidade não especificada Incompatível
injetável Amphotericin B liposomale
injetável Calcium gluconate
3644
Incompatível
injetável Amphotericin B liposomale
injetável Calcium gluconate
4964
Compatível
injetável Amphotericin B liposomale 4 mg/ml
Ringer lactato 4603
Compatível
injetável Amphotericin B liposomale
Glucose 5% 3398
Compatível
injetável Amphotericin B liposomale 1 mg/ml
injetável Anidulafungin 0.5 mg/ml
Glucose 5% 1982
Compatível
injetável Amphotericin B liposomale 1 mg/ml
injetável Blinatumomab 0.125 & 0.375 µg/ml
cloreto de sódio 0,9% 3976
Compatível
injetável Amphotericin B liposomale 2 mg/ml
injetável Caffeine 10 mg/ml
Glucose 5% 4837
Precipitação imediata Incompatível
injetável Amphotericin B liposomale 1 mg/ml
injetável Caspofungin acetate 0,7 mg/ml
cloreto de sódio 0,9% 2247
Turvação imediata Incompatível
injetável Amphotericin B liposomale 2 mg/ml
injetável Ceftolozane / tazobactam 10/5 mg/ml
Glucose 5% 3828
Compatível
injetável Amphotericin B liposomale 4 mg/ml
injetável Cloxacillin sodium 100 mg/ml
Agua para injectaveis 3012
Compatível
injetável Amphotericin B liposomale 2 mg/ml
injetável Defibrotide 8 mg/ml
cloreto de sódio 0,9% 3728
Compatível
injetável Amphotericin B liposomale 1 mg/ml
injetável Doripenem 5 mg/ml
Glucose 5% 2262
Turvação imediata Incompatível
injetável Amphotericin B liposomale 1 mg/ml
injetável Doripenem 5 mg/ml
cloreto de sódio 0,9% 2262
Perda de turbidez Incompatível
injetável Amphotericin B liposomale 2 mg/ml
injetável Fosfomycin 30 mg/ml
Glucose 5% 4055
Turvação imediata Incompatível
injetável Amphotericin B liposomale 2 mg/ml
injetável Isavuconazonium sulfate 1.5 mg/ml
Glucose 5% 3829
Compatível
injetável Amphotericin B liposomale 2 mg/ml
injetável Meropenem 50 mg/ml
4319
Compatível
injetável Amphotericin B liposomale 2 mg/ml
injetável Paracetamol 10 mg/ml
4742
Compatível
injetável Amphotericin B liposomale 2 mg/ml
injetável Pentoxifyllin 5 mg/ml
Glucose 5% 4543
Precipitação imediata Incompatível
injetável Amphotericin B liposomale 1 mg/ml
injetável Telavancin hydrochloride 7,5 mg/ml
Glucose 5% 3254
Precipitação imediata Incompatível
injetável Amphotericin B liposomale 1.16 mg/ml
injetável Vancomycin hydrochloride 10 & 62.5 & 83.3 mg/ml
Glucose 5% 4254
Precipitação imediata Incompatível
injetável Amphotericin B liposomale
cloreto de sódio 0,9% 3398
Compatível
injetável Amphotericin B liposomale 2 mg/ml
injetável Sildenafil citrate 0,6 mg/ml
Glucose 5% 4845

  Mentions Légales