Viimeisin päivitys :
18/03/2026
Sienilääkkeet   Amphotericin B liposomale  
Injektioneste
Silmätipat
Stabilius liuoksessa Stabilius seoksissa Tekijät, jotka vaikuttavat stabiliuteen Yhteensopivuus Antotapa Viitteet pdf
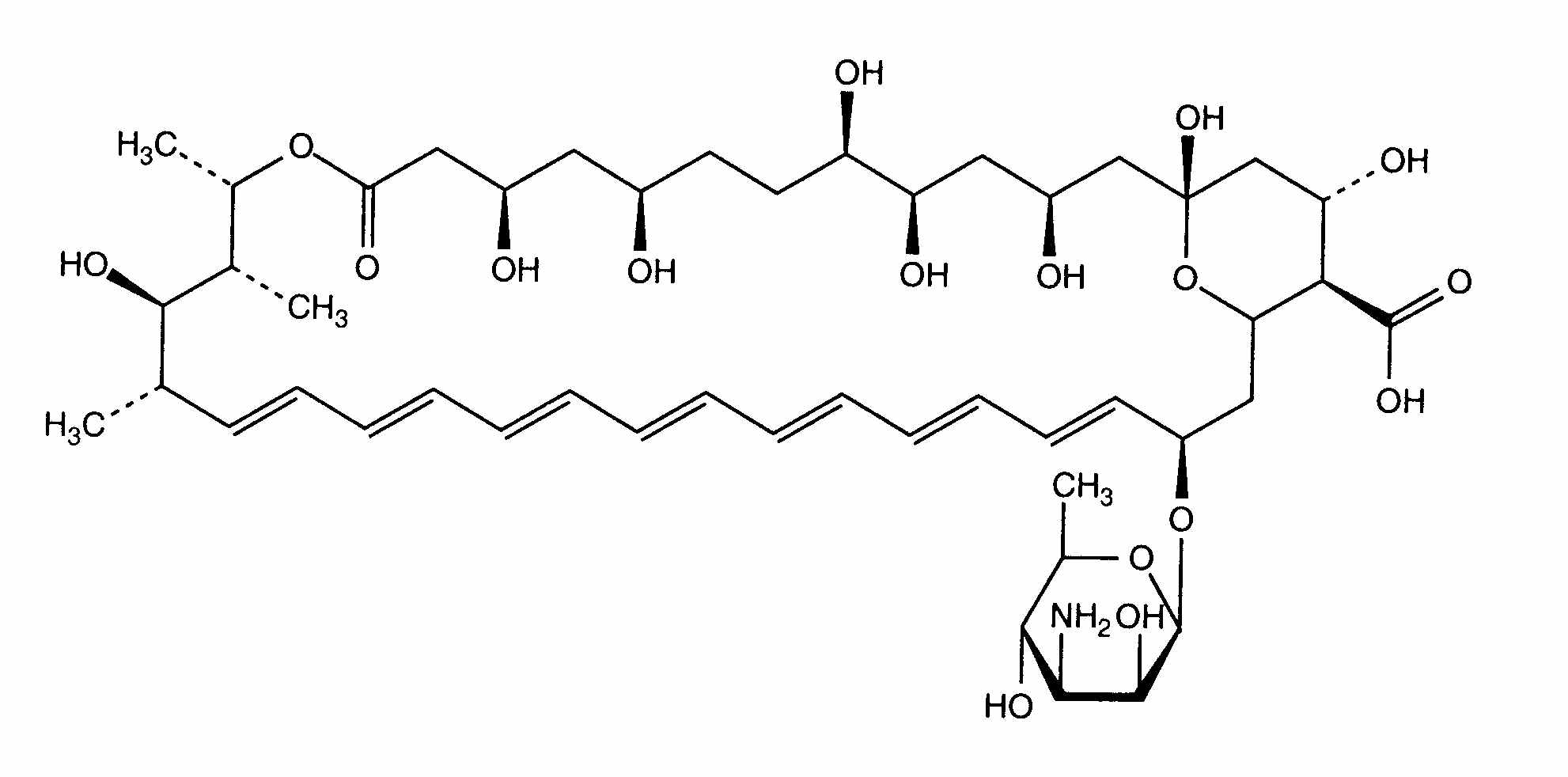
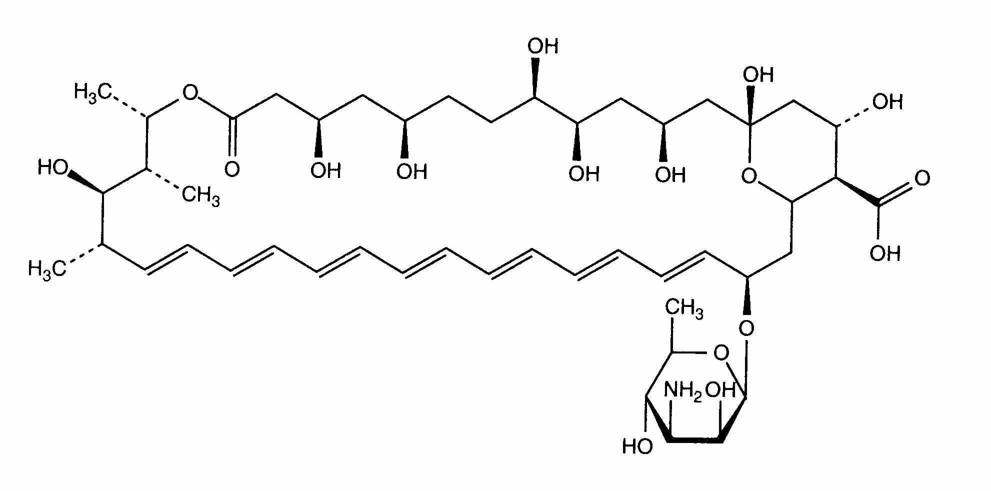
Liposomi   Kemiallinen rakenne  

Kauppanimi   Kauppanimi     

Trade names are indicative and excipients composition can be different depending on the country and manufacturers

Ambisome Argentiina, Belgia, Brasilia, Chile, Egypti, Espanja, Hollanti, Intia, Irlanti, Islanti, Iso-Britannia, Italia, Itävalta, Japani, Kanada, Kreikka, Luxemburg, Marokko, New Zealand, Norja, Portugali, Puola, Ranska, Ruotsi, Saksa, Saudi-Arabia, Suomi, Sveitsi, Tanska, Thaimaa, Turkki, Unkari, Yhdistyneet arabiemiirikunnat, Yhdysvallat
Yhteensopivuus   Injektioneste   Yhteensopivuus : Amphotericin B liposomale              
Tämä näyttö osoittaa yhteensopivuuden tai yhteensopimattomuuden yhteensopimattomuuden tyypin kanssa (saostuminen, värinmuutos, emulsiomuutos jne.). Tässä esitetty yhteensopivuus on useimmissa tapauksissa vain fysikaalinen, ja kunkin molekyylin kemiallista stabiilisuutta arvioidaan harvoin. Näiden seosten arviointia tutkittiin mahdollisuuden antaa Y-kohta potilaalle. Näitä tietoja ei voida käyttää seosten valmistamiseen etukäteen pusseissa tai ruiskuissa. Tämäntyyppiset tiedot ovat saatavilla "Stabiilisuus seoksessa" -näytössä.
Yhdiste Liuotin Viitteet
Välittömät sateet yhteensopimaton
Injektioneste Amphotericin B liposomale
Injektionesteisiin käytettävä vesi, sisältää säilytysaineen 3398
Yhteensopiva
Injektioneste Amphotericin B liposomale 2 mg/ml
Injektioneste Amoxicillin sodium / clavulanic acid 100/10 mg/ml
3824
Yhteensopiva
Injektioneste Amphotericin B liposomale 4 mg/ml
Injektioneste Caffeine 10 mg/ml
Ei mikään 3964
Välitön sameus yhteensopimaton
Injektioneste Amphotericin B liposomale 2 mg/ml
Injektioneste Caffeine citrate 20 mg/ml
4837
Määrittelemätön yhteensopimattomuus yhteensopimaton
Injektioneste Amphotericin B liposomale
Injektioneste Calcium gluconate
3644
yhteensopimaton
Injektioneste Amphotericin B liposomale
Injektioneste Calcium gluconate
4964
Yhteensopiva
Injektioneste Amphotericin B liposomale 4 mg/ml
Ringerlaktaattiliuos 4603
Yhteensopiva
Injektioneste Amphotericin B liposomale
Glukoosi 5% 3398
Yhteensopiva
Injektioneste Amphotericin B liposomale 1 mg/ml
Injektioneste Anidulafungin 0.5 mg/ml
Glukoosi 5% 1982
Yhteensopiva
Injektioneste Amphotericin B liposomale 1 mg/ml
Injektioneste Blinatumomab 0.125 & 0.375 µg/ml
Natriumkloridi 0,9% 3976
Yhteensopiva
Injektioneste Amphotericin B liposomale 2 mg/ml
Injektioneste Caffeine 10 mg/ml
Glukoosi 5% 4837
Välittömät sateet yhteensopimaton
Injektioneste Amphotericin B liposomale 1 mg/ml
Injektioneste Caspofungin acetate 0,7 mg/ml
Natriumkloridi 0,9% 2247
Välitön sameus yhteensopimaton
Injektioneste Amphotericin B liposomale 2 mg/ml
Injektioneste Ceftolozane / tazobactam 10/5 mg/ml
Glukoosi 5% 3828
Yhteensopiva
Injektioneste Amphotericin B liposomale 4 mg/ml
Injektioneste Cloxacillin sodium 100 mg/ml
Injektionesteisiin käytettävä vesi 3012
Yhteensopiva
Injektioneste Amphotericin B liposomale 2 mg/ml
Injektioneste Defibrotide 8 mg/ml
Natriumkloridi 0,9% 3728
Yhteensopiva
Injektioneste Amphotericin B liposomale 1 mg/ml
Injektioneste Doripenem 5 mg/ml
Glukoosi 5% 2262
Välitön sameus yhteensopimaton
Injektioneste Amphotericin B liposomale 1 mg/ml
Injektioneste Doripenem 5 mg/ml
Natriumkloridi 0,9% 2262
Sameuden menetys yhteensopimaton
Injektioneste Amphotericin B liposomale 2 mg/ml
Injektioneste Fosfomycin 30 mg/ml
Glukoosi 5% 4055
Välitön sameus yhteensopimaton
Injektioneste Amphotericin B liposomale 2 mg/ml
Injektioneste Isavuconazonium sulfate 1.5 mg/ml
Glukoosi 5% 3829
Yhteensopiva
Injektioneste Amphotericin B liposomale 2 mg/ml
Injektioneste Meropenem 50 mg/ml
4319
Yhteensopiva
Injektioneste Amphotericin B liposomale 2 mg/ml
Injektioneste Paracetamol 10 mg/ml
4742
Yhteensopiva
Injektioneste Amphotericin B liposomale 2 mg/ml
Injektioneste Pentoxifyllin 5 mg/ml
Glukoosi 5% 4543
Välittömät sateet yhteensopimaton
Injektioneste Amphotericin B liposomale 1 mg/ml
Injektioneste Telavancin hydrochloride 7,5 mg/ml
Glukoosi 5% 3254
Välittömät sateet yhteensopimaton
Injektioneste Amphotericin B liposomale 1.16 mg/ml
Injektioneste Vancomycin hydrochloride 10 & 62.5 & 83.3 mg/ml
Glukoosi 5% 4254
Välittömät sateet yhteensopimaton
Injektioneste Amphotericin B liposomale
Natriumkloridi 0,9% 3398
Yhteensopiva
Injektioneste Amphotericin B liposomale 2 mg/ml
Injektioneste Sildenafil citrate 0,6 mg/ml
Glukoosi 5% 4845

  Mentions Légales