Dernière mise à jour :
27/11/2025
Antifongique   Amphotericin B liposomale  
injectable
Collyre
Stabilité des solutions Stabilité en mélange Facteur influençant la stabilité Compatibilités Voie d’administration Bibliographie pdf
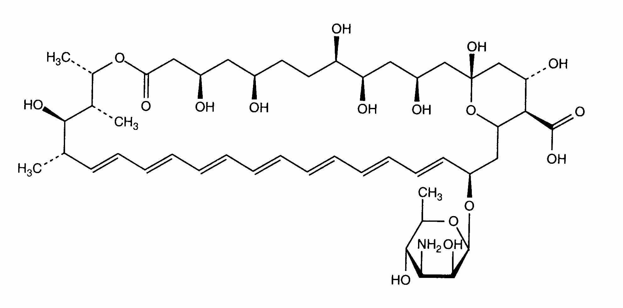
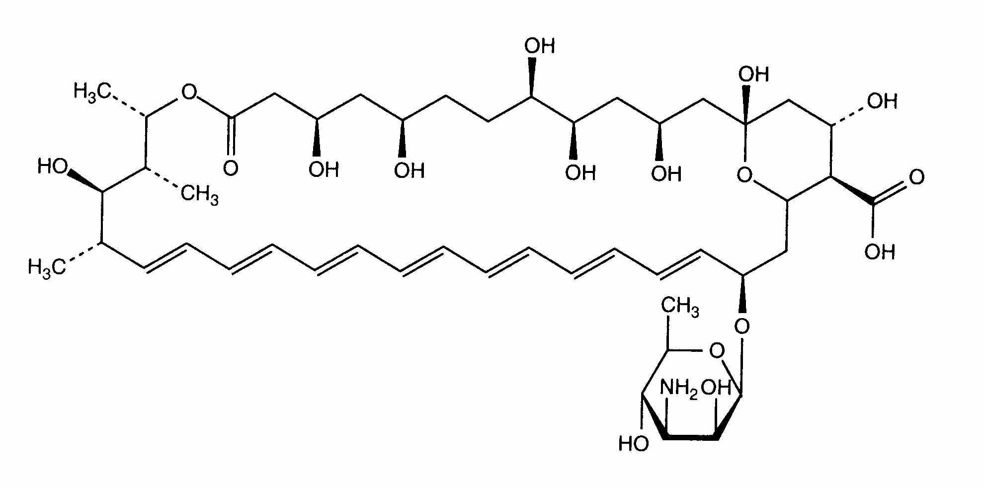
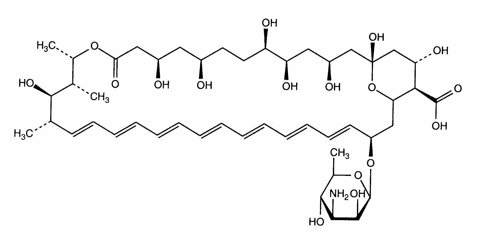
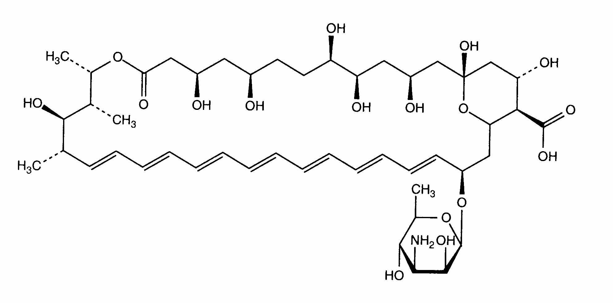
Liposome   Structure chimique  

Noms commerciaux   Noms commerciaux     

Les noms commerciaux sont donnés à titre indicatif et la composition en excipients peut être différente selon les pays et selon les laboratoires

Ambisome Allemagne, Arabie Saoudite, Argentine, Autriche, Belgique, Brésil, Canada, Chili, Danemark, Egypte, Emirats Arabes Unis , Espagne, Etats Unis d’Amérique, Finlande, France, Grande Bretagne, Grèce, Hongrie, Inde, Irlande, Islande, Italie, Japon, Luxembourg, Norvège, Nouvelle Zélande, Pays bas, Pérou, Pologne, Portugal, Suède, Suisse, Thaïlande, Turquie

Facteur influençant la stabilité   injectable   Facteur influençant la stabilité : Amphotericin B liposomale        
Bibliographie
Solvant Chlorure de sodium 0,9% Provoque Dégradation 3398
Solvant Eau ppi  + bactériostatique Provoque Dégradation 3398
Température 25°C Provoque Diminution de la stabilité 4821

  Mentions Légales