Posledná aktualizácia :
18/03/2026
antimykotikum   Amphotericin B liposomale  
Injekcia
Očná instilácia
Stabilita roztokov Stabilita v zmesiach Faktory ovplyvňujúce stabilitu Kompatibility spôsob podania Odkazy na literatúru PDF
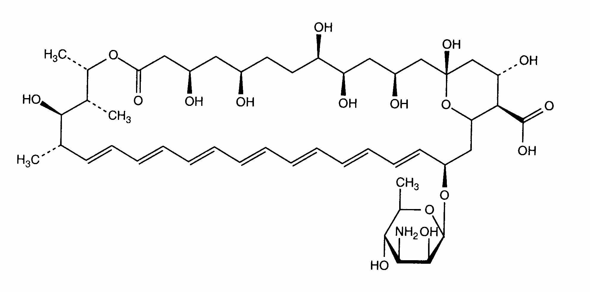
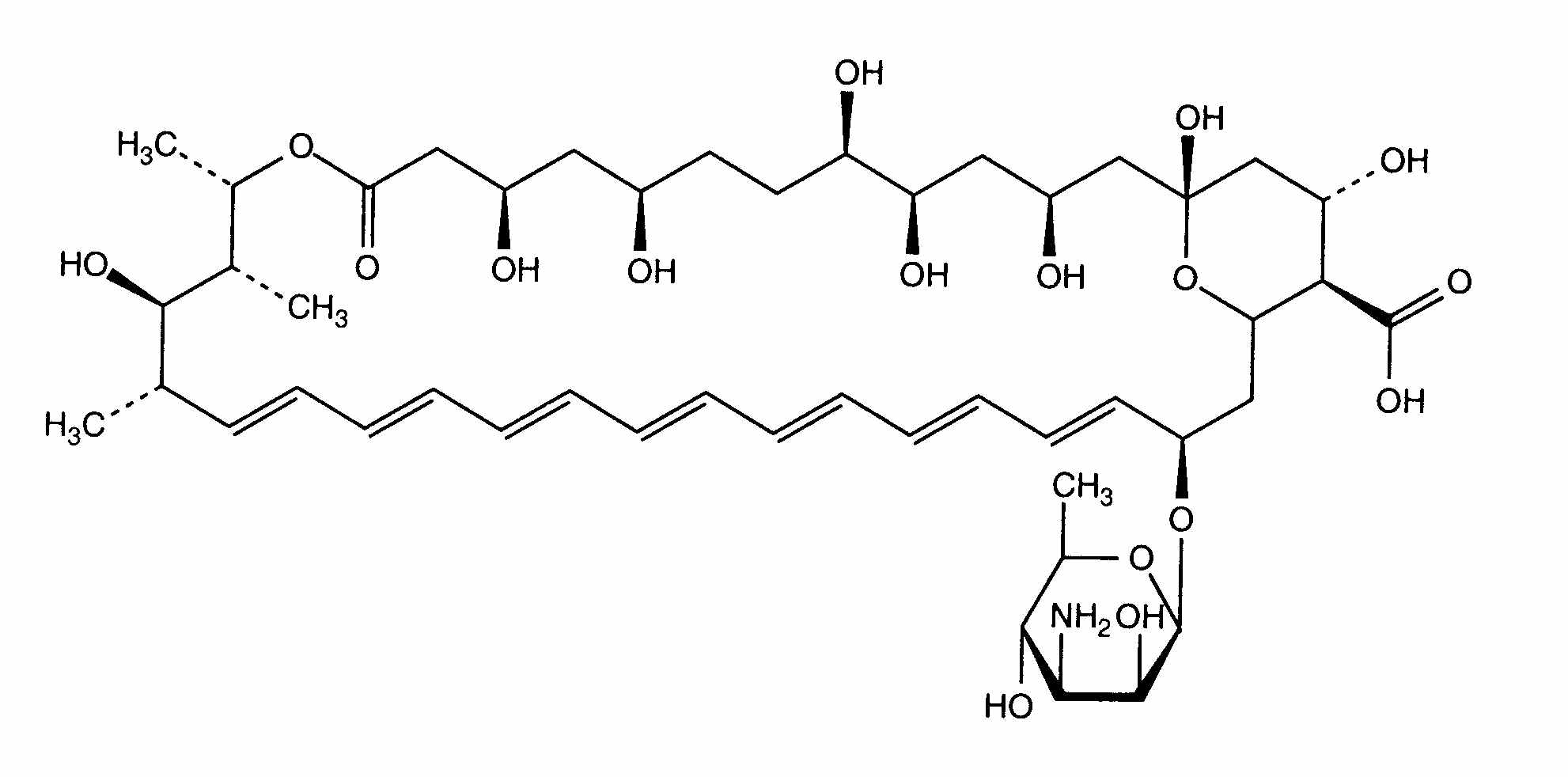
lipozóm   Chemický vzorec  

Obchodný názov   Obchodný názov     

Obchodné názvy sú orientačné, a zloženie pomocných látok sa môže líšiť v závislosti od krajiny a výrobcu.

Ambisome Argentína, Belgicko, Brazília, Čile, Dánsko, Egypt, Fínsko, Francúzsko, Grécko, Holandsko, India, Írsko, Island, Japonsko, Kanada, Luxembursko, Maďarsko, Nemecko, Nórsko, nový Zéland, peru, Poľsko, Portugalsko, Rakúsko, Saudská Arábia, Španielsko, Spojené arabské emiráty, Spojené štáty Americké, Švajčiarsko, Švédsko, Taliansko, Thajsko, Turecko, Veľká Británia
Kompatibility   Injekcia   Kompatibility : Amphotericin B liposomale              
Toto okno zobrazuje kompatibility alebo inkombatibility, v prípade inkompatibility aj jej typ (vyzrážanie, zmena farby, zmena emulzie atď.). Tu vymenované kompatibility sú väčšinou len fyzikálne, chemická stabilita každej zo zlúčenín sa hodnotila len zriedkavo. Tieto zmesi sa skúmali za účelom možnosti súbežného podávania pacientovi cez infúznu spojku Y. Údaje sa nedajú použiť na prípravu zmesí vo vakoch alebo striekačkách. Taká informácia sa nachádza v okne „Stabilita v zmesiach“.
Zlúčenina rozpúšťadlo odkazy na lieteratúru
Okamžité zrážanie nezlučiteľný
Injekcia Amphotericin B liposomale
voda na injekciu + antibakteriálna látka 3398
kompatibilný
Injekcia Amphotericin B liposomale 2 mg/ml
Injekcia Amoxicillin sodium / clavulanic acid 100/10 mg/ml
3824
kompatibilný
Injekcia Amphotericin B liposomale 4 mg/ml
Injekcia Caffeine 10 mg/ml
Žiadny 3964
Okamžitá zákal nezlučiteľný
Injekcia Amphotericin B liposomale 2 mg/ml
Injekcia Caffeine citrate 20 mg/ml
4837
Nešpecifikovaná nekompatibilita nezlučiteľný
Injekcia Amphotericin B liposomale
Injekcia Calcium gluconate
3644
nezlučiteľný
Injekcia Amphotericin B liposomale
Injekcia Calcium gluconate
4964
kompatibilný
Injekcia Amphotericin B liposomale 4 mg/ml
Ringerov laktátový roztok 4603
kompatibilný
Injekcia Amphotericin B liposomale
5% glukóza 3398
kompatibilný
Injekcia Amphotericin B liposomale 1 mg/ml
Injekcia Anidulafungin 0.5 mg/ml
5% glukóza 1982
kompatibilný
Injekcia Amphotericin B liposomale 1 mg/ml
Injekcia Blinatumomab 0.125 & 0.375 µg/ml
0,9% chlorid sodný 3976
kompatibilný
Injekcia Amphotericin B liposomale 2 mg/ml
Injekcia Caffeine 10 mg/ml
5% glukóza 4837
Okamžité zrážanie nezlučiteľný
Injekcia Amphotericin B liposomale 1 mg/ml
Injekcia Caspofungin acetate 0,7 mg/ml
0,9% chlorid sodný 2247
Okamžitá zákal nezlučiteľný
Injekcia Amphotericin B liposomale 2 mg/ml
Injekcia Ceftolozane / tazobactam 10/5 mg/ml
5% glukóza 3828
kompatibilný
Injekcia Amphotericin B liposomale 4 mg/ml
Injekcia Cloxacillin sodium 100 mg/ml
voda na injekciu 3012
kompatibilný
Injekcia Amphotericin B liposomale 2 mg/ml
Injekcia Defibrotide 8 mg/ml
0,9% chlorid sodný 3728
kompatibilný
Injekcia Amphotericin B liposomale 1 mg/ml
Injekcia Doripenem 5 mg/ml
5% glukóza 2262
Okamžitá zákal nezlučiteľný
Injekcia Amphotericin B liposomale 1 mg/ml
Injekcia Doripenem 5 mg/ml
0,9% chlorid sodný 2262
Strata zákalu nezlučiteľný
Injekcia Amphotericin B liposomale 2 mg/ml
Injekcia Fosfomycin 30 mg/ml
5% glukóza 4055
Okamžitá zákal nezlučiteľný
Injekcia Amphotericin B liposomale 2 mg/ml
Injekcia Isavuconazonium sulfate 1.5 mg/ml
5% glukóza 3829
kompatibilný
Injekcia Amphotericin B liposomale 2 mg/ml
Injekcia Meropenem 50 mg/ml
4319
kompatibilný
Injekcia Amphotericin B liposomale 2 mg/ml
Injekcia Paracetamol 10 mg/ml
4742
kompatibilný
Injekcia Amphotericin B liposomale 2 mg/ml
Injekcia Pentoxifyllin 5 mg/ml
5% glukóza 4543
Okamžité zrážanie nezlučiteľný
Injekcia Amphotericin B liposomale 1 mg/ml
Injekcia Telavancin hydrochloride 7,5 mg/ml
5% glukóza 3254
Okamžité zrážanie nezlučiteľný
Injekcia Amphotericin B liposomale 1.16 mg/ml
Injekcia Vancomycin hydrochloride 10 & 62.5 & 83.3 mg/ml
5% glukóza 4254
Okamžité zrážanie nezlučiteľný
Injekcia Amphotericin B liposomale
0,9% chlorid sodný 3398
kompatibilný
Injekcia Amphotericin B liposomale 2 mg/ml
Injekcia Sildenafil citrate 0,6 mg/ml
5% glukóza 4845

  Mentions Légales