Laatste update :
18/03/2026
Antimycoticum   Amphotericin B liposomale  
injecteerbaar geneesmiddel
Oogwater
Stabiliteit in oplossing Stabiliteit in mengsels Factoren die de stabiliteit beïnvloeden Verenigbaarheden Toedieningswijze Literatuur pdf
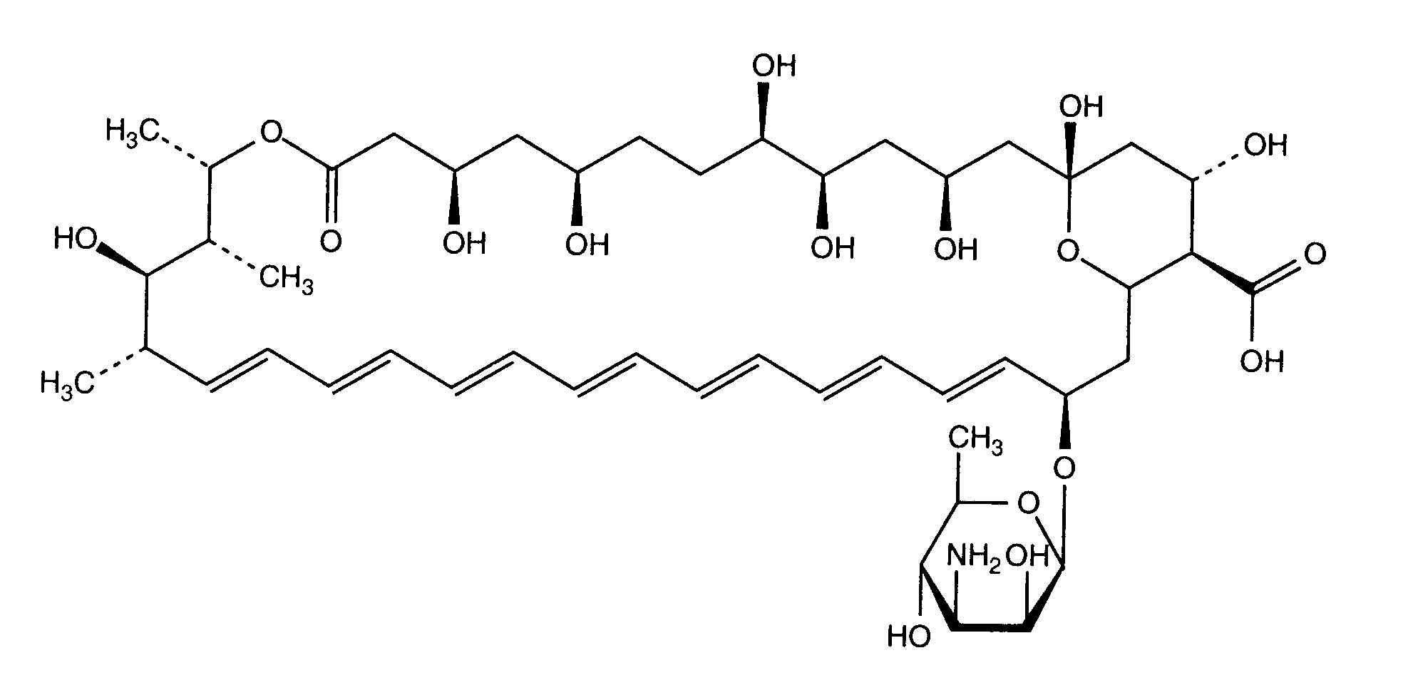
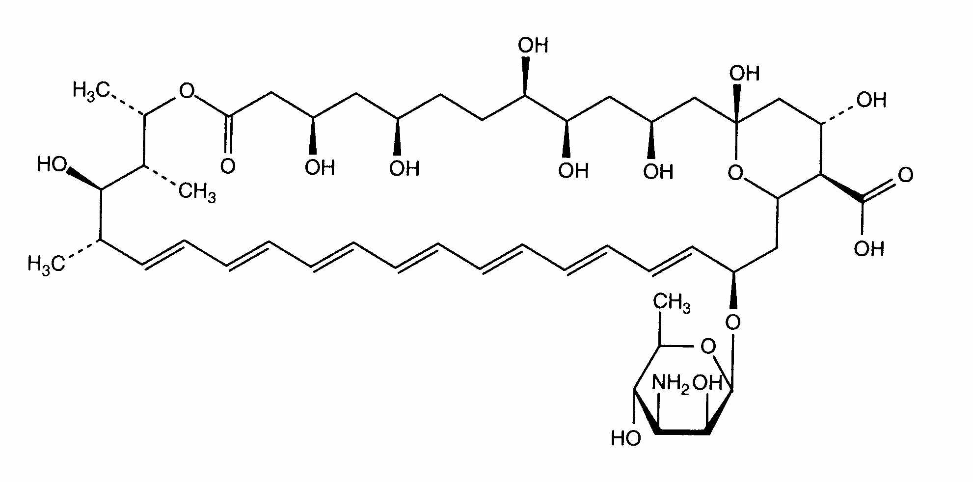
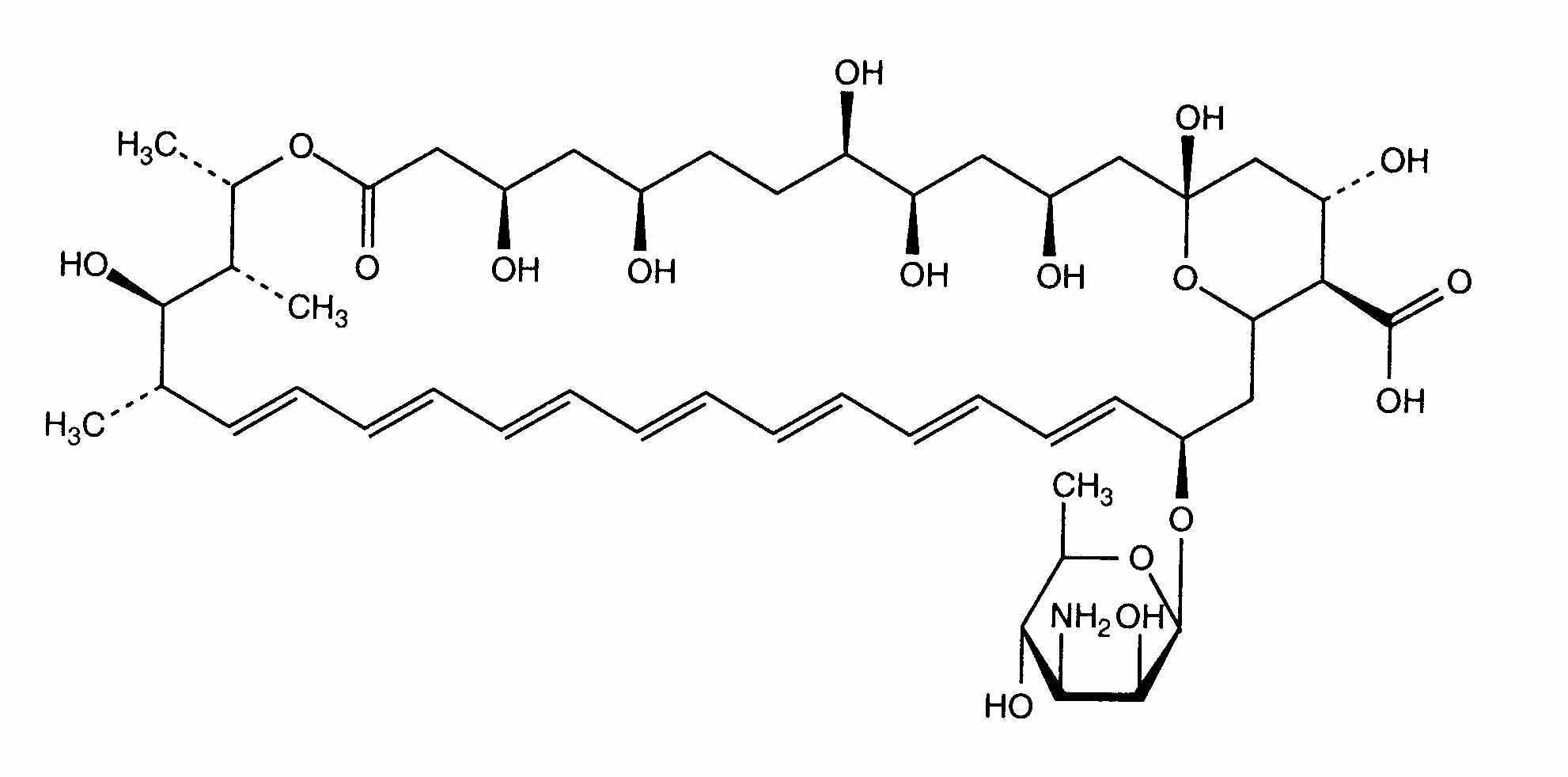
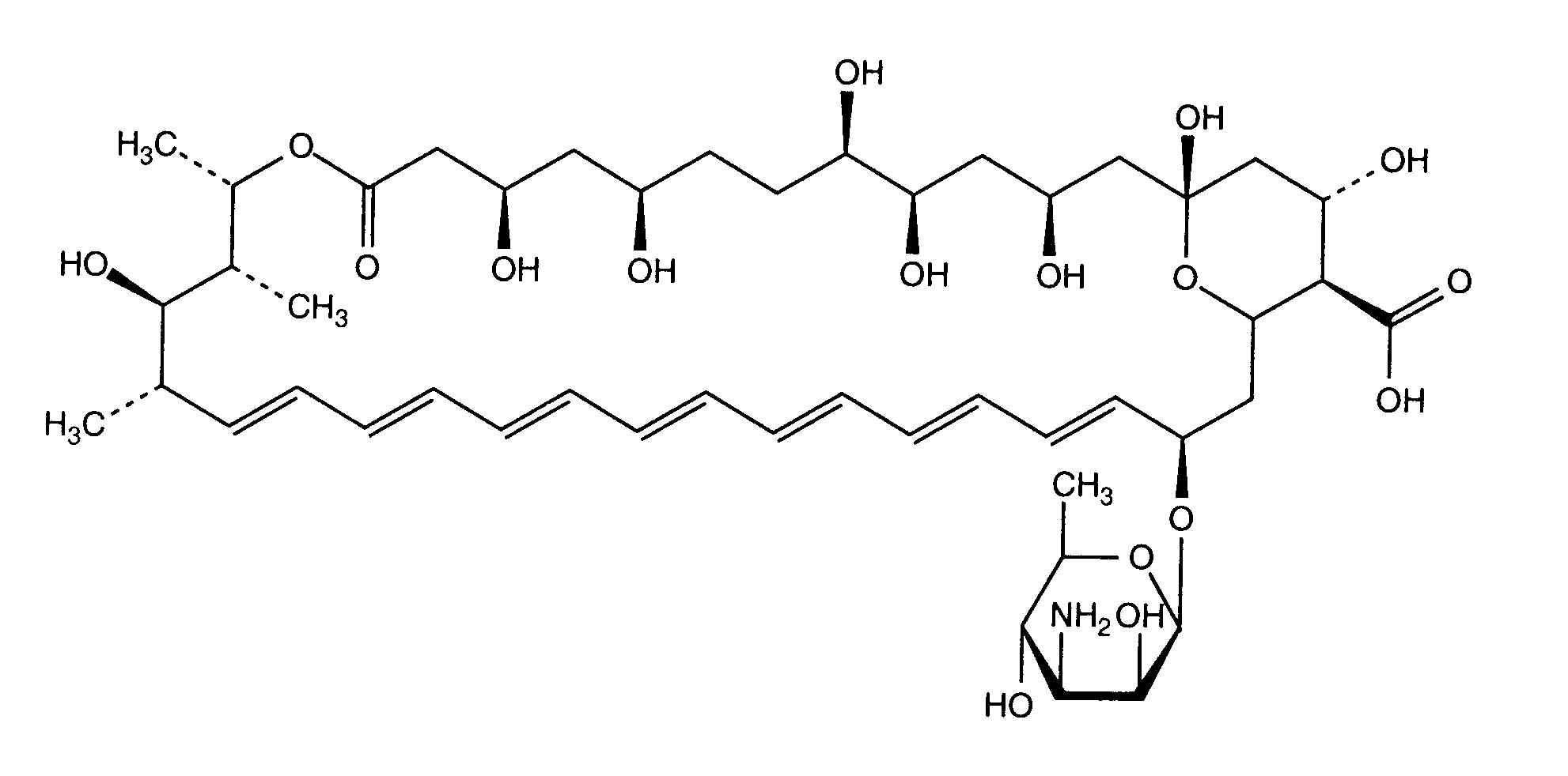
Liposomen   Molecuulstructuur  

Merknamen in verschillende landen   Merknamen in verschillende landen     

Handelsnamen zijn slechts een indicatie; de samenstelling van hulpstoffen kan per land variëren afhankelijk van de fabrikant

Ambisome Argentinië, België, Brazilië, Canada, Chili, Denemarken, Duitsland, Egypte, Finland, Frankrijk, Griekenland, Groot Britannië, Hongarije, Ierland, IJsland, Indië, Italië, Japan, Luxemburg, Nederland, nieuw Zeeland, Noorwegen, Oostenrijk, Peru, Polen, Portugal, Saudi-Arabië, Spanje, Thailand, Turkije, USA, Verenigde Arabische Emiraten, Zweden, Zwitserland
Verenigbaarheden   injecteerbaar geneesmiddel   Verenigbaarheden : Amphotericin B liposomale              
In dit scherm worden de verenigbaarheden en onverenigbaarheden weergegeven. In het geval van een onverenigbaarheid wordt ook het type (neerslag, kleurverandering, modificatie van een emulsie, etc) weergegeven. De weergegeven verenigbaarheden zijn meestal alleen op uiterlijk beoordeeld, er heeft zelden een chemische beoordeling van iedere component plaatsgevonden. De verenigbaarheden betreffen gelijktijdige toediening aan de patient middels de Y-site. De data kan niet gebruikt worden in de beoordeling van verenigbaarheden van componenten in infuuszakken of spuiten. Die informatie is te vinden onder ‘stabiliteit in mengsels’.
Stof Oplosmiddel Literatuur
Onmiddellijke neerslag Onverenigbaar
injecteerbaar geneesmiddel Amphotericin B liposomale
Water voor injectie (geconserveerd) 3398
Verenigbaar
injecteerbaar geneesmiddel Amphotericin B liposomale 2 mg/ml
injecteerbaar geneesmiddel Amoxicillin sodium / clavulanic acid 100/10 mg/ml
3824
Verenigbaar
injecteerbaar geneesmiddel Amphotericin B liposomale 4 mg/ml
injecteerbaar geneesmiddel Caffeine 10 mg/ml
Geen 3964
Onmiddellijke troebelheid Onverenigbaar
injecteerbaar geneesmiddel Amphotericin B liposomale 2 mg/ml
injecteerbaar geneesmiddel Caffeine citrate 20 mg/ml
4837
Niet-gespecificeerde incompatibiliteit Onverenigbaar
injecteerbaar geneesmiddel Amphotericin B liposomale
injecteerbaar geneesmiddel Calcium gluconate
3644
Onverenigbaar
injecteerbaar geneesmiddel Amphotericin B liposomale
injecteerbaar geneesmiddel Calcium gluconate
4964
Verenigbaar
injecteerbaar geneesmiddel Amphotericin B liposomale 4 mg/ml
Ringer-lactaat 4603
Verenigbaar
injecteerbaar geneesmiddel Amphotericin B liposomale
Glucose 5% 3398
Verenigbaar
injecteerbaar geneesmiddel Amphotericin B liposomale 1 mg/ml
injecteerbaar geneesmiddel Anidulafungin 0.5 mg/ml
Glucose 5% 1982
Verenigbaar
injecteerbaar geneesmiddel Amphotericin B liposomale 1 mg/ml
injecteerbaar geneesmiddel Blinatumomab 0.125 & 0.375 µg/ml
Natriumchloride 0,9% 3976
Verenigbaar
injecteerbaar geneesmiddel Amphotericin B liposomale 2 mg/ml
injecteerbaar geneesmiddel Caffeine 10 mg/ml
Glucose 5% 4837
Onmiddellijke neerslag Onverenigbaar
injecteerbaar geneesmiddel Amphotericin B liposomale 1 mg/ml
injecteerbaar geneesmiddel Caspofungin acetate 0,7 mg/ml
Natriumchloride 0,9% 2247
Onmiddellijke troebelheid Onverenigbaar
injecteerbaar geneesmiddel Amphotericin B liposomale 2 mg/ml
injecteerbaar geneesmiddel Ceftolozane / tazobactam 10/5 mg/ml
Glucose 5% 3828
Verenigbaar
injecteerbaar geneesmiddel Amphotericin B liposomale 4 mg/ml
injecteerbaar geneesmiddel Cloxacillin sodium 100 mg/ml
Water voor injectie 3012
Verenigbaar
injecteerbaar geneesmiddel Amphotericin B liposomale 2 mg/ml
injecteerbaar geneesmiddel Defibrotide 8 mg/ml
Natriumchloride 0,9% 3728
Verenigbaar
injecteerbaar geneesmiddel Amphotericin B liposomale 1 mg/ml
injecteerbaar geneesmiddel Doripenem 5 mg/ml
Glucose 5% 2262
Onmiddellijke troebelheid Onverenigbaar
injecteerbaar geneesmiddel Amphotericin B liposomale 1 mg/ml
injecteerbaar geneesmiddel Doripenem 5 mg/ml
Natriumchloride 0,9% 2262
Verlies van troebelheid Onverenigbaar
injecteerbaar geneesmiddel Amphotericin B liposomale 2 mg/ml
injecteerbaar geneesmiddel Fosfomycin 30 mg/ml
Glucose 5% 4055
Onmiddellijke troebelheid Onverenigbaar
injecteerbaar geneesmiddel Amphotericin B liposomale 2 mg/ml
injecteerbaar geneesmiddel Isavuconazonium sulfate 1.5 mg/ml
Glucose 5% 3829
Verenigbaar
injecteerbaar geneesmiddel Amphotericin B liposomale 2 mg/ml
injecteerbaar geneesmiddel Meropenem 50 mg/ml
4319
Verenigbaar
injecteerbaar geneesmiddel Amphotericin B liposomale 2 mg/ml
injecteerbaar geneesmiddel Paracetamol 10 mg/ml
4742
Verenigbaar
injecteerbaar geneesmiddel Amphotericin B liposomale 2 mg/ml
injecteerbaar geneesmiddel Pentoxifyllin 5 mg/ml
Glucose 5% 4543
Onmiddellijke neerslag Onverenigbaar
injecteerbaar geneesmiddel Amphotericin B liposomale 1 mg/ml
injecteerbaar geneesmiddel Telavancin hydrochloride 7,5 mg/ml
Glucose 5% 3254
Onmiddellijke neerslag Onverenigbaar
injecteerbaar geneesmiddel Amphotericin B liposomale 1.16 mg/ml
injecteerbaar geneesmiddel Vancomycin hydrochloride 10 & 62.5 & 83.3 mg/ml
Glucose 5% 4254
Onmiddellijke neerslag Onverenigbaar
injecteerbaar geneesmiddel Amphotericin B liposomale
Natriumchloride 0,9% 3398
Verenigbaar
injecteerbaar geneesmiddel Amphotericin B liposomale 2 mg/ml
injecteerbaar geneesmiddel Sildenafil citrate 0,6 mg/ml
Glucose 5% 4845

  Mentions Légales