Последнее обновление :
18/03/2026
Противогрибковое средство   Amphotericin B liposomale  
Инъекция
Глазные капли
Стабильность растворов Стабильность смесей Факторы, которые влияют на стабильность Совместимость Способы введения Библиография pdf
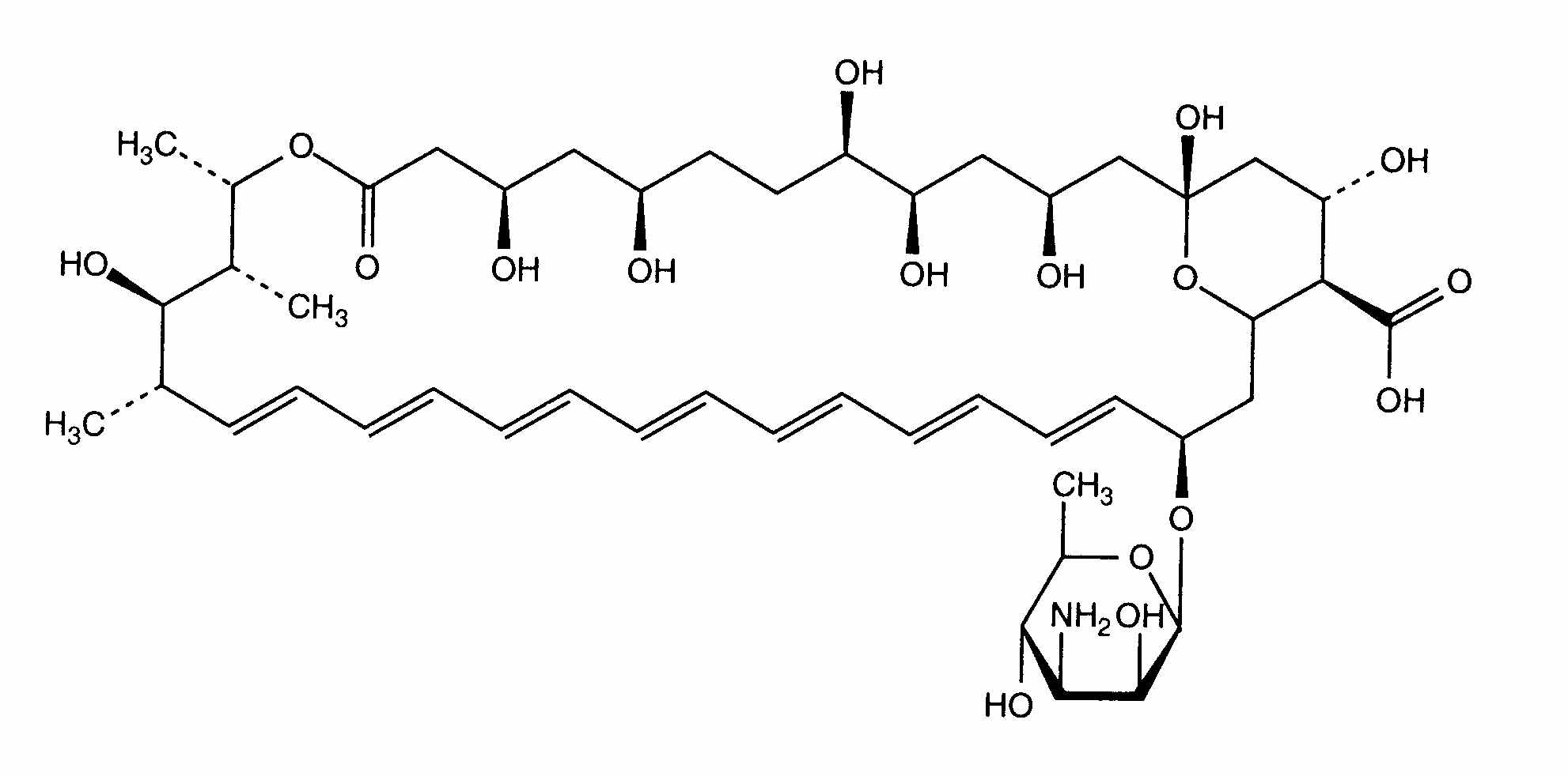
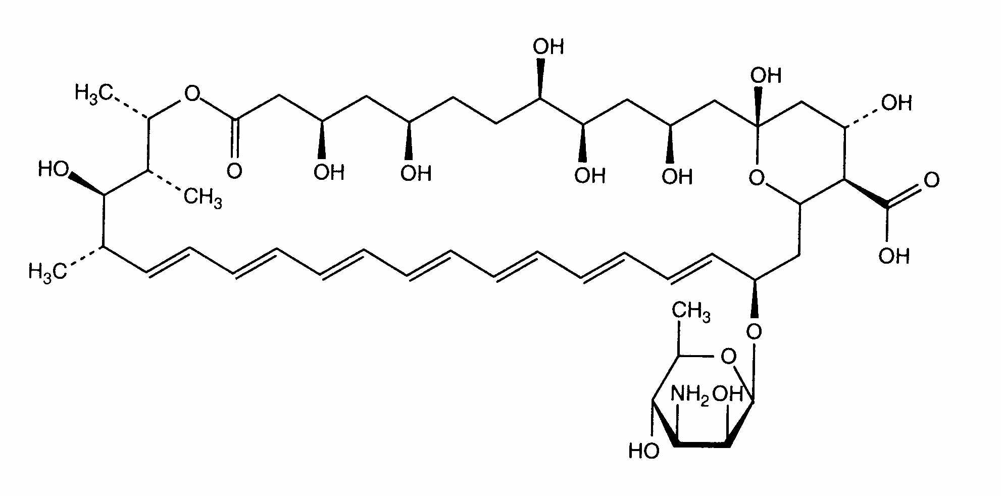
Липосома   Химическая структура  

Товарное название   Товарное название     

Trade names are indicative and excipients composition can be different depending on the country and manufacturers

Ambisome Австрия, Аргентина, Бельгия, Бразилия, Великобритания, Венгрия, Германия, Голландия, Греция, Дания, Египет, Индия, Ирландия, Исландия, Испания, Италия, Канада, Люксембург, новая Зеландия, Норвегия, Объединенные Арабские Эмираты, Перу, Польша, Португалия, Саудовская Аравия, Соединённые Штаты Америки, Таиланд, Турция, Финляндия, Франция, чили, Швейцария, Швеция, Япония
Совместимость   Инъекция   Совместимость : Amphotericin B liposomale              
Эта таблица показывает совместимость или несовместимость препаратов, по возможности тип несовместимости (преципитат, смена цвета, разложение эмульсии и др.). Показанные здесь совместимости в основном физические, по возможности указана и химическая стабильность каждой молекулы. Анализ этих смесей произведён для исследования возможности ввести препараты пациенту в Y-соединении систем. Эти данные нельзя использовать, чтобы приготовить лекарства на будущее в мешках или шприцах. Эта информация доступна в разделе "Стабильность смесей".
Молекула Растворитель Ссылки
Немедленные осадки несовместимый
Инъекция Amphotericin B liposomale
Вода для инъекций + антибактериальный 3398
совместимый
Инъекция Amphotericin B liposomale 2 mg/ml
Инъекция Amoxicillin sodium / clavulanic acid 100/10 mg/ml
3824
совместимый
Инъекция Amphotericin B liposomale 4 mg/ml
Инъекция Caffeine 10 mg/ml
Нет 3964
Немедленная мутность несовместимый
Инъекция Amphotericin B liposomale 2 mg/ml
Инъекция Caffeine citrate 20 mg/ml
4837
Неопределенная несовместимость несовместимый
Инъекция Amphotericin B liposomale
Инъекция Calcium gluconate
3644
несовместимый
Инъекция Amphotericin B liposomale
Инъекция Calcium gluconate
4964
совместимый
Инъекция Amphotericin B liposomale 4 mg/ml
Раствор Рингера лактата 4603
совместимый
Инъекция Amphotericin B liposomale
Глюкоза 5% 3398
совместимый
Инъекция Amphotericin B liposomale 1 mg/ml
Инъекция Anidulafungin 0.5 mg/ml
Глюкоза 5% 1982
совместимый
Инъекция Amphotericin B liposomale 1 mg/ml
Инъекция Blinatumomab 0.125 & 0.375 µg/ml
Натрия хлорид 0,9% 3976
совместимый
Инъекция Amphotericin B liposomale 2 mg/ml
Инъекция Caffeine 10 mg/ml
Глюкоза 5% 4837
Немедленные осадки несовместимый
Инъекция Amphotericin B liposomale 1 mg/ml
Инъекция Caspofungin acetate 0,7 mg/ml
Натрия хлорид 0,9% 2247
Немедленная мутность несовместимый
Инъекция Amphotericin B liposomale 2 mg/ml
Инъекция Ceftolozane / tazobactam 10/5 mg/ml
Глюкоза 5% 3828
совместимый
Инъекция Amphotericin B liposomale 4 mg/ml
Инъекция Cloxacillin sodium 100 mg/ml
Вода для инъекций 3012
совместимый
Инъекция Amphotericin B liposomale 2 mg/ml
Инъекция Defibrotide 8 mg/ml
Натрия хлорид 0,9% 3728
совместимый
Инъекция Amphotericin B liposomale 1 mg/ml
Инъекция Doripenem 5 mg/ml
Глюкоза 5% 2262
Немедленная мутность несовместимый
Инъекция Amphotericin B liposomale 1 mg/ml
Инъекция Doripenem 5 mg/ml
Натрия хлорид 0,9% 2262
Потеря мутности несовместимый
Инъекция Amphotericin B liposomale 2 mg/ml
Инъекция Fosfomycin 30 mg/ml
Глюкоза 5% 4055
Немедленная мутность несовместимый
Инъекция Amphotericin B liposomale 2 mg/ml
Инъекция Isavuconazonium sulfate 1.5 mg/ml
Глюкоза 5% 3829
совместимый
Инъекция Amphotericin B liposomale 2 mg/ml
Инъекция Meropenem 50 mg/ml
4319
совместимый
Инъекция Amphotericin B liposomale 2 mg/ml
Инъекция Paracetamol 10 mg/ml
4742
совместимый
Инъекция Amphotericin B liposomale 2 mg/ml
Инъекция Pentoxifyllin 5 mg/ml
Глюкоза 5% 4543
Немедленные осадки несовместимый
Инъекция Amphotericin B liposomale 1 mg/ml
Инъекция Telavancin hydrochloride 7,5 mg/ml
Глюкоза 5% 3254
Немедленные осадки несовместимый
Инъекция Amphotericin B liposomale 1.16 mg/ml
Инъекция Vancomycin hydrochloride 10 & 62.5 & 83.3 mg/ml
Глюкоза 5% 4254
Немедленные осадки несовместимый
Инъекция Amphotericin B liposomale
Натрия хлорид 0,9% 3398
совместимый
Инъекция Amphotericin B liposomale 2 mg/ml
Инъекция Sildenafil citrate 0,6 mg/ml
Глюкоза 5% 4845

  Mentions Légales