Last update :
18/03/2026
Antifungal   Amphotericin B liposomale  
injection
Eye-drops
Stability in solutions Stability of mixtures Factors which affect stability Compatibility Route of administration References pdf
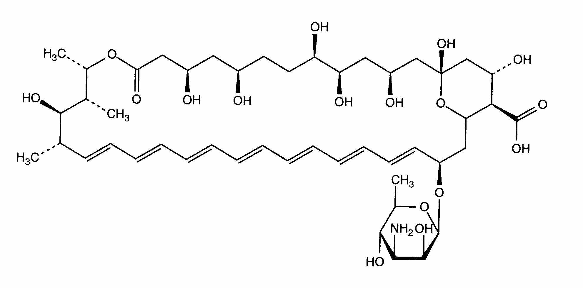
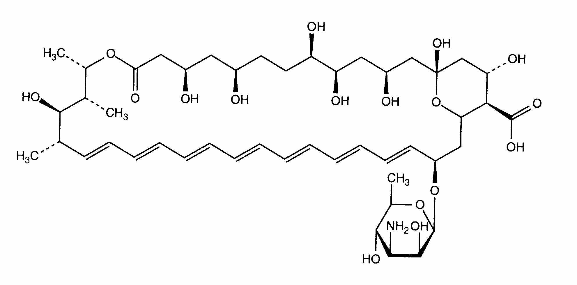
Liposome   Chemical structure  

Tradename   Tradename     

Trade names are indicative and excipients composition can be different depending on the country and manufacturers

Ambisome Argentina, Austria, Belgium, Brazil, Canada, Chile, Denmark, Egypt, Finland, France, Germany, Great Britain, Greece, Hungary, Iceland, India, Ireland, Italy, Japan, Luxembourg, Netherlands, New Zealand, Norway, Peru, Poland, Portugal, Saudi Arabia, Spain, Sweden, Switzerland, Thailand, Turkey, United Arab Emirates, United States of America
Compatibility   injection   Compatibility : Amphotericin B liposomale              
This screen indicates the compatibilities or incompatibilities with, in this case, the type of incompatibility (precipitation, color change, modification of an emulsion, etc.). The compatibilities shown here are mostly physical only, with the chemical stability of each molecule rarely being assessed. The evaluation of these mixtures was studied to consider the possibility of Y-site administration to the patient. These data cannot be used for making mixtures in advance in bags or syringes. This type of information is available in the screen "Stability in mixture ».
Compound Solvent References
Immediate precipitation Incompatible
injection Amphotericin B liposomale
Water for injection + antibacterial 3398
Compatible
injection Amphotericin B liposomale 2 mg/ml
injection Amoxicillin sodium / clavulanic acid 100/10 mg/ml
3824
Compatible
injection Amphotericin B liposomale 4 mg/ml
injection Caffeine 10 mg/ml
None 3964
Immediate turbidity Incompatible
injection Amphotericin B liposomale 2 mg/ml
injection Caffeine citrate 20 mg/ml
4837
Unspecified incompatibility Incompatible
injection Amphotericin B liposomale
injection Calcium gluconate
3644
Incompatible
injection Amphotericin B liposomale
injection Calcium gluconate
4964
Compatible
injection Amphotericin B liposomale 4 mg/ml
Ringer’s lactate solution 4603
Compatible
injection Amphotericin B liposomale
Glucose 5% 3398
Compatible
injection Amphotericin B liposomale 1 mg/ml
injection Anidulafungin 0.5 mg/ml
Glucose 5% 1982
Compatible
injection Amphotericin B liposomale 1 mg/ml
injection Blinatumomab 0.125 & 0.375 µg/ml
Sodium chloride 0,9% 3976
Compatible
injection Amphotericin B liposomale 2 mg/ml
injection Caffeine 10 mg/ml
Glucose 5% 4837
Immediate precipitation Incompatible
injection Amphotericin B liposomale 1 mg/ml
injection Caspofungin acetate 0,7 mg/ml
Sodium chloride 0,9% 2247
Immediate turbidity Incompatible
injection Amphotericin B liposomale 2 mg/ml
injection Ceftolozane / tazobactam 10/5 mg/ml
Glucose 5% 3828
Compatible
injection Amphotericin B liposomale 4 mg/ml
injection Cloxacillin sodium 100 mg/ml
Water for Injection 3012
Compatible
injection Amphotericin B liposomale 2 mg/ml
injection Defibrotide 8 mg/ml
Sodium chloride 0,9% 3728
Compatible
injection Amphotericin B liposomale 1 mg/ml
injection Doripenem 5 mg/ml
Glucose 5% 2262
Immediate turbidity Incompatible
injection Amphotericin B liposomale 1 mg/ml
injection Doripenem 5 mg/ml
Sodium chloride 0,9% 2262
Loss of turbidity Incompatible
injection Amphotericin B liposomale 2 mg/ml
injection Fosfomycin 30 mg/ml
Glucose 5% 4055
Immediate turbidity Incompatible
injection Amphotericin B liposomale 2 mg/ml
injection Isavuconazonium sulfate 1.5 mg/ml
Glucose 5% 3829
Compatible
injection Amphotericin B liposomale 2 mg/ml
injection Meropenem 50 mg/ml
4319
Compatible
injection Amphotericin B liposomale 2 mg/ml
injection Paracetamol 10 mg/ml
4742
Compatible
injection Amphotericin B liposomale 2 mg/ml
injection Pentoxifyllin 5 mg/ml
Glucose 5% 4543
Immediate precipitation Incompatible
injection Amphotericin B liposomale 1 mg/ml
injection Telavancin hydrochloride 7,5 mg/ml
Glucose 5% 3254
Immediate precipitation Incompatible
injection Amphotericin B liposomale 1.16 mg/ml
injection Vancomycin hydrochloride 10 & 62.5 & 83.3 mg/ml
Glucose 5% 4254
Immediate precipitation Incompatible
injection Amphotericin B liposomale
Sodium chloride 0,9% 3398
Compatible
injection Amphotericin B liposomale 2 mg/ml
injection Sildenafil citrate 0,6 mg/ml
Glucose 5% 4845

  Mentions Légales