最新更新 :
18/03/2026
抗真菌药   Amphotericin B liposomale  
注射液
眼药水
溶液稳定性 混合物稳定性 影响稳定性的因素 兼容性 用药途径 引用文献 PDF
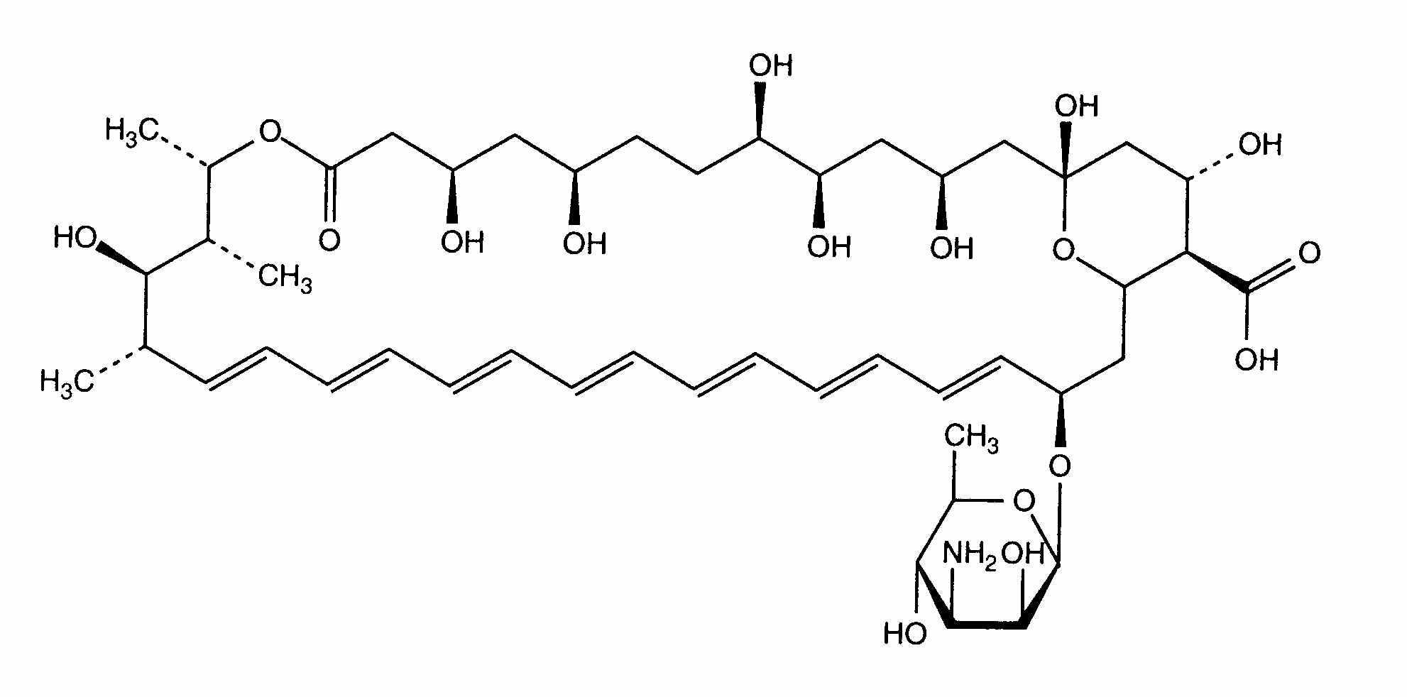
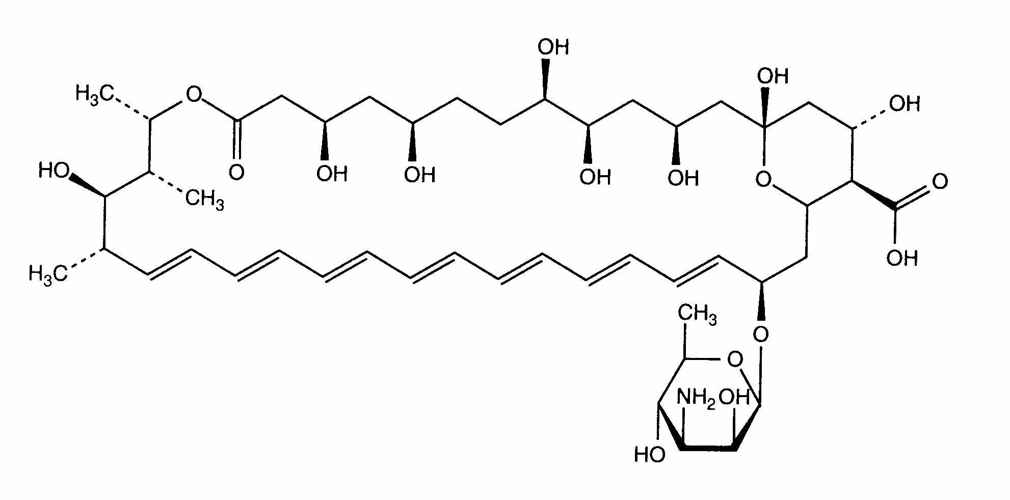
脂質體   化学式  

商品名   商品名     

商品名仅供参考, 药品所用的辅料可能依国家或厂商不同有所不同。

Ambisome 丹麦, 冰岛, 加拿大, 匈牙利, 卢森堡, 印度, 土耳其, 埃及, 奥地利, 巴西, 希腊, 德国, 意大利, 挪威, 新西蘭, 日本, 智利, 比利时, 沙特阿拉伯, 法国, 波兰, 泰国, 爱尔兰, 瑞典, 瑞士, 秘鲁, 美国, 芬兰, 英国, 荷兰, 葡萄牙, 西班牙, 阿根廷, 阿联酋
兼容性   注射液   兼容性 : Amphotericin B liposomale              
This screen indicates the compatibilities or incompatibilities with, in this case, the type of incompatibility (precipitation, color change, modification of an emulsion, etc.). The compatibilities shown here are mostly physical only, with the chemical stability of each molecule rarely being assessed. The evaluation of these mixtures was studied to consider the possibility of Y-site administration to the patient. These data cannot be used for making mixtures in advance in bags or syringes. This type of information is available in the screen "Stability in mixture ».
分子 溶剂 引用文献
立即沉澱 不相容
注射液 Amphotericin B liposomale
注射用水+抗生素 3398
兼容
注射液 Amphotericin B liposomale 2 mg/ml
注射液 Amoxicillin sodium / clavulanic acid 100/10 mg/ml
3824
兼容
注射液 Amphotericin B liposomale 4 mg/ml
注射液 Caffeine 10 mg/ml
无 3964
立即渾濁 不相容
注射液 Amphotericin B liposomale 2 mg/ml
注射液 Caffeine citrate 20 mg/ml
4837
未指定的不兼容性 不相容
注射液 Amphotericin B liposomale
注射液 Calcium gluconate
3644
不相容
注射液 Amphotericin B liposomale
注射液 Calcium gluconate
4964
兼容
注射液 Amphotericin B liposomale 4 mg/ml
Ringer乳酸溶液 4603
兼容
注射液 Amphotericin B liposomale
葡萄糖5% 3398
兼容
注射液 Amphotericin B liposomale 1 mg/ml
注射液 Anidulafungin 0.5 mg/ml
葡萄糖5% 1982
兼容
注射液 Amphotericin B liposomale 1 mg/ml
注射液 Blinatumomab 0.125 & 0.375 µg/ml
NaCl 0,9% 3976
兼容
注射液 Amphotericin B liposomale 2 mg/ml
注射液 Caffeine 10 mg/ml
葡萄糖5% 4837
立即沉澱 不相容
注射液 Amphotericin B liposomale 1 mg/ml
注射液 Caspofungin acetate 0,7 mg/ml
NaCl 0,9% 2247
立即渾濁 不相容
注射液 Amphotericin B liposomale 2 mg/ml
注射液 Ceftolozane / tazobactam 10/5 mg/ml
葡萄糖5% 3828
兼容
注射液 Amphotericin B liposomale 4 mg/ml
注射液 Cloxacillin sodium 100 mg/ml
注射用水 3012
兼容
注射液 Amphotericin B liposomale 2 mg/ml
注射液 Defibrotide 8 mg/ml
NaCl 0,9% 3728
兼容
注射液 Amphotericin B liposomale 1 mg/ml
注射液 Doripenem 5 mg/ml
葡萄糖5% 2262
立即渾濁 不相容
注射液 Amphotericin B liposomale 1 mg/ml
注射液 Doripenem 5 mg/ml
NaCl 0,9% 2262
濁度損失 不相容
注射液 Amphotericin B liposomale 2 mg/ml
注射液 Fosfomycin 30 mg/ml
葡萄糖5% 4055
立即渾濁 不相容
注射液 Amphotericin B liposomale 2 mg/ml
注射液 Isavuconazonium sulfate 1.5 mg/ml
葡萄糖5% 3829
兼容
注射液 Amphotericin B liposomale 2 mg/ml
注射液 Meropenem 50 mg/ml
4319
兼容
注射液 Amphotericin B liposomale 2 mg/ml
注射液 Paracetamol 10 mg/ml
4742
兼容
注射液 Amphotericin B liposomale 2 mg/ml
注射液 Pentoxifyllin 5 mg/ml
葡萄糖5% 4543
立即沉澱 不相容
注射液 Amphotericin B liposomale 1 mg/ml
注射液 Telavancin hydrochloride 7,5 mg/ml
葡萄糖5% 3254
立即沉澱 不相容
注射液 Amphotericin B liposomale 1.16 mg/ml
注射液 Vancomycin hydrochloride 10 & 62.5 & 83.3 mg/ml
葡萄糖5% 4254
立即沉澱 不相容
注射液 Amphotericin B liposomale
NaCl 0,9% 3398
兼容
注射液 Amphotericin B liposomale 2 mg/ml
注射液 Sildenafil citrate 0,6 mg/ml
葡萄糖5% 4845

  Mentions Légales