Ultimo aggiornamento :
18/03/2026
Antimicotico   Amphotericin B liposomale  
Iniezione
Collirio
Stabilità in soluzione Stabilità in miscela Fattori che influenzano la stabilità Compatibilità metodo di iniezione Bibliografia pdf
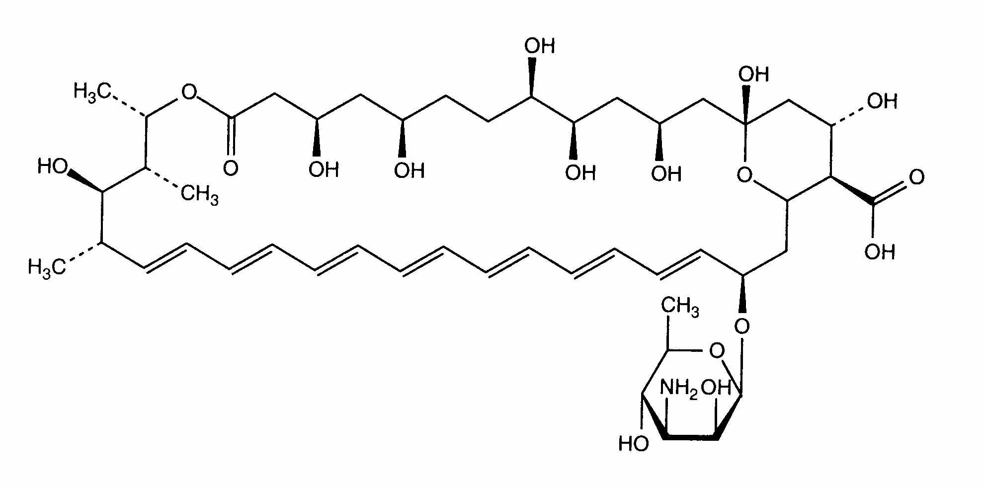
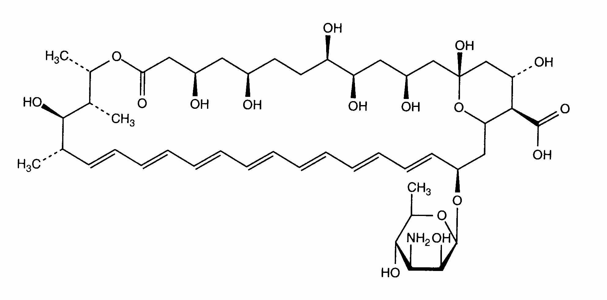
Liposoma   Struttura chimica  

Nome commerciale   Nome commerciale     

Trade names are indicative and excipients composition can be different depending on the country and manufacturers

Ambisome Arabia Saudita, Argentina, Austria, Belgio, Brasile, Canada, Chile, Danimarca, Egitto, Emirati Arabi Uniti, Finlandia, Francia, Germania, Giappone, Gran Bretagna, Grecia, India, Irlanda, Islanda, Italia, Lussemburgo, Norvegia, nuova Zelanda, Paesi Bassi, Perù, Polonia, Portogallo, Spagna, Stati Uniti d’America, Svezia, Svizzera, Tailandia, Turchia, Ungheria
Compatibilità   Iniezione   Compatibilità : Amphotericin B liposomale              
explication_incompatibilite_molecules
Molecola Solvente Bibliografia
Precipitazioni immediate Incompatibile
Iniezione Amphotericin B liposomale
Acqua + sostanza batteriostatica 3398
Compatibile
Iniezione Amphotericin B liposomale 2 mg/ml
Iniezione Amoxicillin sodium / clavulanic acid 100/10 mg/ml
3824
Compatibile
Iniezione Amphotericin B liposomale 4 mg/ml
Iniezione Caffeine 10 mg/ml
Nessuno 3964
Torbidità immediata Incompatibile
Iniezione Amphotericin B liposomale 2 mg/ml
Iniezione Caffeine citrate 20 mg/ml
4837
Incompatibilità non specificata Incompatibile
Iniezione Amphotericin B liposomale
Iniezione Calcium gluconate
3644
Incompatibile
Iniezione Amphotericin B liposomale
Iniezione Calcium gluconate
4964
Compatibile
Iniezione Amphotericin B liposomale 4 mg/ml
Ringer lattato 4603
Compatibile
Iniezione Amphotericin B liposomale
Glucosio 5% 3398
Compatibile
Iniezione Amphotericin B liposomale 1 mg/ml
Iniezione Anidulafungin 0.5 mg/ml
Glucosio 5% 1982
Compatibile
Iniezione Amphotericin B liposomale 1 mg/ml
Iniezione Blinatumomab 0.125 & 0.375 µg/ml
Cloruro di sodio 0,9% 3976
Compatibile
Iniezione Amphotericin B liposomale 2 mg/ml
Iniezione Caffeine 10 mg/ml
Glucosio 5% 4837
Precipitazioni immediate Incompatibile
Iniezione Amphotericin B liposomale 1 mg/ml
Iniezione Caspofungin acetate 0,7 mg/ml
Cloruro di sodio 0,9% 2247
Torbidità immediata Incompatibile
Iniezione Amphotericin B liposomale 2 mg/ml
Iniezione Ceftolozane / tazobactam 10/5 mg/ml
Glucosio 5% 3828
Compatibile
Iniezione Amphotericin B liposomale 4 mg/ml
Iniezione Cloxacillin sodium 100 mg/ml
Acqua per preparato iniettabile 3012
Compatibile
Iniezione Amphotericin B liposomale 2 mg/ml
Iniezione Defibrotide 8 mg/ml
Cloruro di sodio 0,9% 3728
Compatibile
Iniezione Amphotericin B liposomale 1 mg/ml
Iniezione Doripenem 5 mg/ml
Glucosio 5% 2262
Torbidità immediata Incompatibile
Iniezione Amphotericin B liposomale 1 mg/ml
Iniezione Doripenem 5 mg/ml
Cloruro di sodio 0,9% 2262
Perdita di torbidità Incompatibile
Iniezione Amphotericin B liposomale 2 mg/ml
Iniezione Fosfomycin 30 mg/ml
Glucosio 5% 4055
Torbidità immediata Incompatibile
Iniezione Amphotericin B liposomale 2 mg/ml
Iniezione Isavuconazonium sulfate 1.5 mg/ml
Glucosio 5% 3829
Compatibile
Iniezione Amphotericin B liposomale 2 mg/ml
Iniezione Meropenem 50 mg/ml
4319
Compatibile
Iniezione Amphotericin B liposomale 2 mg/ml
Iniezione Paracetamol 10 mg/ml
4742
Compatibile
Iniezione Amphotericin B liposomale 2 mg/ml
Iniezione Pentoxifyllin 5 mg/ml
Glucosio 5% 4543
Precipitazioni immediate Incompatibile
Iniezione Amphotericin B liposomale 1 mg/ml
Iniezione Telavancin hydrochloride 7,5 mg/ml
Glucosio 5% 3254
Precipitazioni immediate Incompatibile
Iniezione Amphotericin B liposomale 1.16 mg/ml
Iniezione Vancomycin hydrochloride 10 & 62.5 & 83.3 mg/ml
Glucosio 5% 4254
Precipitazioni immediate Incompatibile
Iniezione Amphotericin B liposomale
Cloruro di sodio 0,9% 3398
Compatibile
Iniezione Amphotericin B liposomale 2 mg/ml
Iniezione Sildenafil citrate 0,6 mg/ml
Glucosio 5% 4845

  Mentions Légales