Ultimele actualizari :
18/03/2026
Antifungic   Amphotericin B liposomale  
Injectabil
colir
Stabilitatea in solutie Stabilitatea in amestec Factorii care influenteaza stabilitatea Compatibilitate Microunde Bibliografie pdf
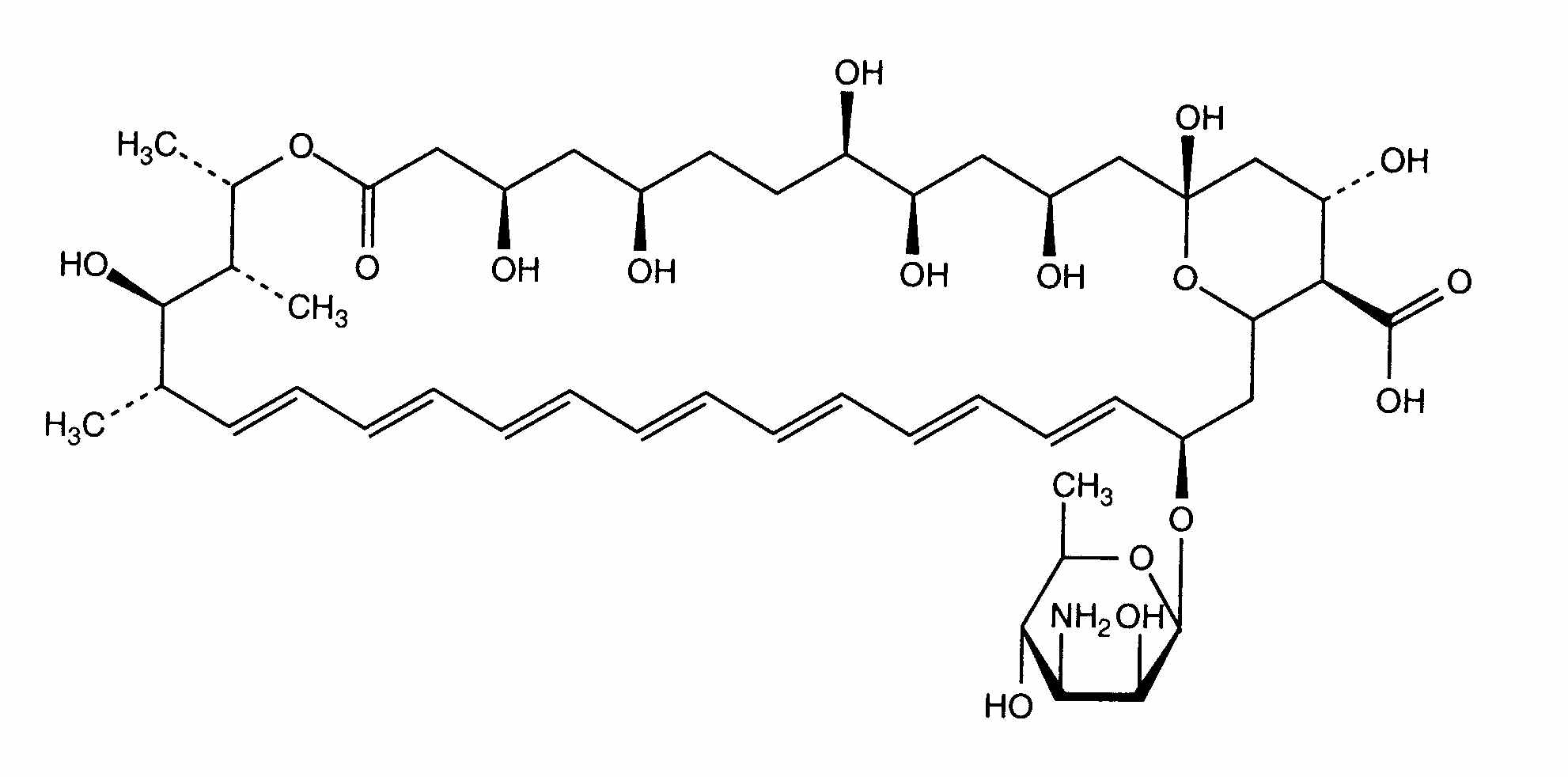
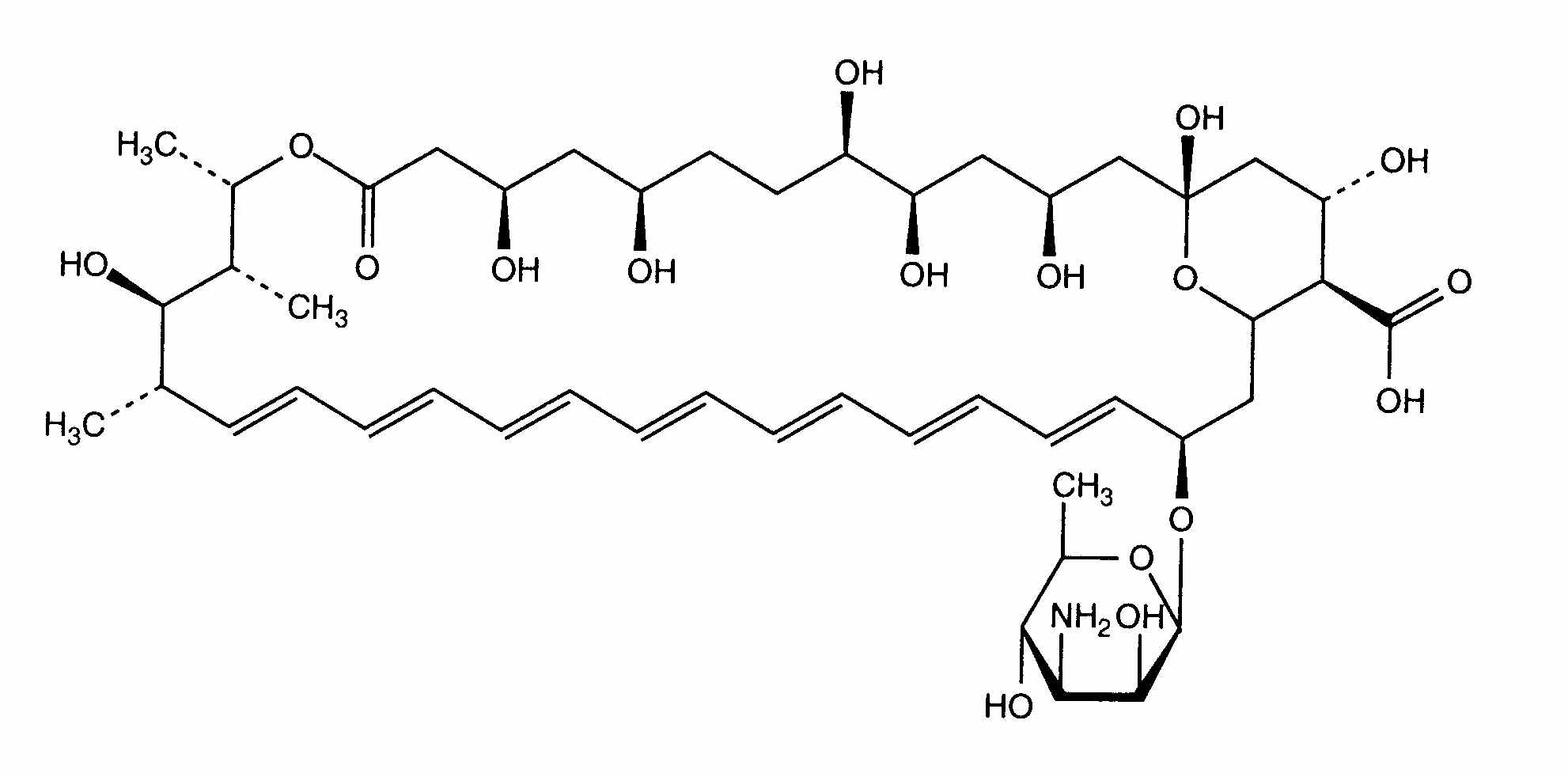
Lipozom   Formula chimica  

Denumirea comerciala   Denumirea comerciala     

Trade names are indicative and excipients composition can be different depending on the country and manufacturers

Ambisome Arabia Saudita, Argentina, Austria, Belgia, Brazilia, Canada, Chilli, Danemarca, Egipt, Elvetia, Emiratele Arabe Unite, Finlanda, Franta, Germania, Grecia, India, Irlanda, Islanda, Italia, Japonia, Luxemburg, Marea Britanie, Norvegia, noua Zeelandă, Olanda, Peru, Polonia, Portugalia, Spania, SUA, Suedia, Tailanda, Turcia, Ungaria
Compatibilitate   Injectabil   Compatibilitate : Amphotericin B liposomale              
Acest ecran indică compatibilitățile sau incompatibilitățile cu, în acest caz, tipul de incompatibilitate (precipitații, schimbarea culorii, modificarea unei emulsii etc.). Compatibilitățile prezentate aici sunt în mare parte numai fizice, stabilitatea chimică a fiecărei molecule fiind rareori evaluată. Evaluarea acestor amestecuri a fost studiată pentru a lua în considerare posibilitatea administrării site-ului Y la pacient. Aceste date nu pot fi utilizate pentru prepararea în prealabil a amestecurilor în pungi sau seringi. Acest tip de informații este disponibil în ecranul „Stabilitate în amestec».
Molecula (substanta activa) Solvent Bibiografie
Precipitații imediate Incompatibil
Injectabil Amphotericin B liposomale
apa ppi+ agent antibacterian 3398
Compatibil
Injectabil Amphotericin B liposomale 2 mg/ml
Injectabil Amoxicillin sodium / clavulanic acid 100/10 mg/ml
3824
Compatibil
Injectabil Amphotericin B liposomale 4 mg/ml
Injectabil Caffeine 10 mg/ml
fara 3964
Turbiditate imediată Incompatibil
Injectabil Amphotericin B liposomale 2 mg/ml
Injectabil Caffeine citrate 20 mg/ml
4837
Incompatibilitate nespecificată Incompatibil
Injectabil Amphotericin B liposomale
Injectabil Calcium gluconate
3644
Incompatibil
Injectabil Amphotericin B liposomale
Injectabil Calcium gluconate
4964
Compatibil
Injectabil Amphotericin B liposomale 4 mg/ml
Solutie Ringer lactat 4603
Compatibil
Injectabil Amphotericin B liposomale
Glucoza 5% 3398
Compatibil
Injectabil Amphotericin B liposomale 1 mg/ml
Injectabil Anidulafungin 0.5 mg/ml
Glucoza 5% 1982
Compatibil
Injectabil Amphotericin B liposomale 1 mg/ml
Injectabil Blinatumomab 0.125 & 0.375 µg/ml
clorura de sodiu 0,9% 3976
Compatibil
Injectabil Amphotericin B liposomale 2 mg/ml
Injectabil Caffeine 10 mg/ml
Glucoza 5% 4837
Precipitații imediate Incompatibil
Injectabil Amphotericin B liposomale 1 mg/ml
Injectabil Caspofungin acetate 0,7 mg/ml
clorura de sodiu 0,9% 2247
Turbiditate imediată Incompatibil
Injectabil Amphotericin B liposomale 2 mg/ml
Injectabil Ceftolozane / tazobactam 10/5 mg/ml
Glucoza 5% 3828
Compatibil
Injectabil Amphotericin B liposomale 4 mg/ml
Injectabil Cloxacillin sodium 100 mg/ml
apa pentru preparate injectabile 3012
Compatibil
Injectabil Amphotericin B liposomale 2 mg/ml
Injectabil Defibrotide 8 mg/ml
clorura de sodiu 0,9% 3728
Compatibil
Injectabil Amphotericin B liposomale 1 mg/ml
Injectabil Doripenem 5 mg/ml
Glucoza 5% 2262
Turbiditate imediată Incompatibil
Injectabil Amphotericin B liposomale 1 mg/ml
Injectabil Doripenem 5 mg/ml
clorura de sodiu 0,9% 2262
Pierderea turbidității Incompatibil
Injectabil Amphotericin B liposomale 2 mg/ml
Injectabil Fosfomycin 30 mg/ml
Glucoza 5% 4055
Turbiditate imediată Incompatibil
Injectabil Amphotericin B liposomale 2 mg/ml
Injectabil Isavuconazonium sulfate 1.5 mg/ml
Glucoza 5% 3829
Compatibil
Injectabil Amphotericin B liposomale 2 mg/ml
Injectabil Meropenem 50 mg/ml
4319
Compatibil
Injectabil Amphotericin B liposomale 2 mg/ml
Injectabil Paracetamol 10 mg/ml
4742
Compatibil
Injectabil Amphotericin B liposomale 2 mg/ml
Injectabil Pentoxifyllin 5 mg/ml
Glucoza 5% 4543
Precipitații imediate Incompatibil
Injectabil Amphotericin B liposomale 1 mg/ml
Injectabil Telavancin hydrochloride 7,5 mg/ml
Glucoza 5% 3254
Precipitații imediate Incompatibil
Injectabil Amphotericin B liposomale 1.16 mg/ml
Injectabil Vancomycin hydrochloride 10 & 62.5 & 83.3 mg/ml
Glucoza 5% 4254
Precipitații imediate Incompatibil
Injectabil Amphotericin B liposomale
clorura de sodiu 0,9% 3398
Compatibil
Injectabil Amphotericin B liposomale 2 mg/ml
Injectabil Sildenafil citrate 0,6 mg/ml
Glucoza 5% 4845

  Mentions Légales