Última actualización :
31/03/2026
Antiviral   Foscarnet sodium  
Inyectables
Estabilidad en solucion Estabilidad en mezcla Factores que influyen sobre la estabilidad Compatibilidades método de inyección Bibliografía pdf
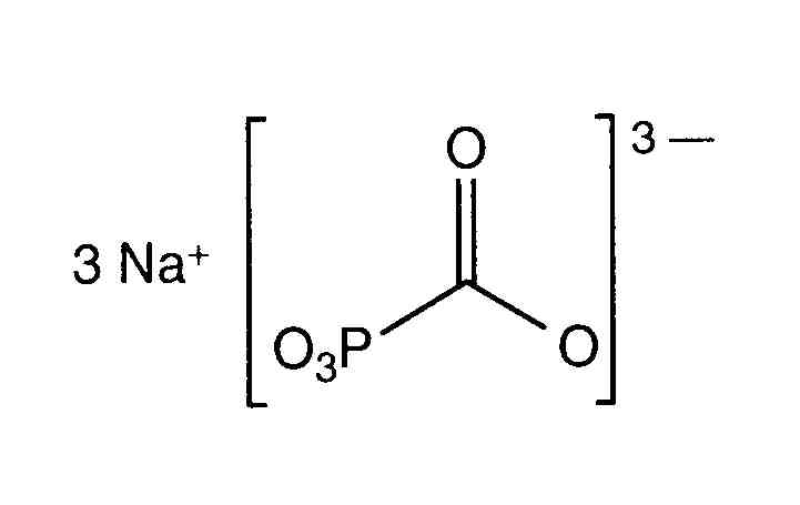
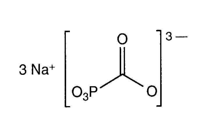
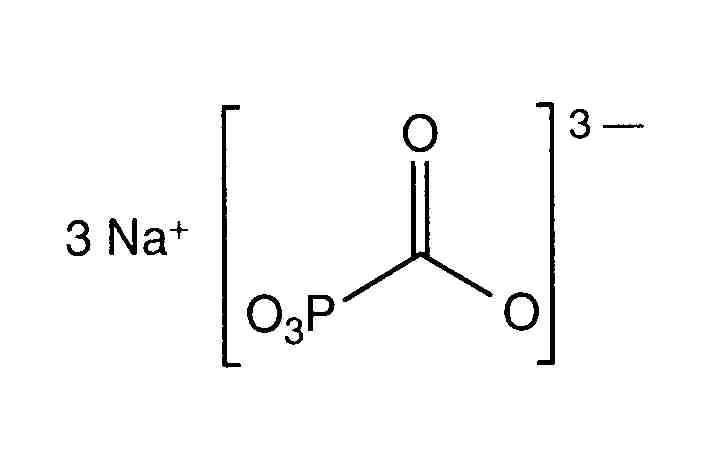
   Estructura química  

Nombre comercial   Nombre comercial     

Los nombres comerciales son orientativos y los excipientes de la formulación pueden ser distintos dependiendo del país y del laboratorio fabricante.

Foscarnet Argentina, Chile, Colombia, Ecuador, España, Estados Unidos de América, Marruecos, México, Portugal
Foscavir Alemania, Australia, Austria, Bélgica, España, Estados Unidos de América, Francia, Gran Bretaña, Grecia, Hungría, Italia, Luxemburgo, Nueva Zelanda, Países Bajos, Suecia, Suiza
Estabilidad en mezcla   Inyectables   Estabilidad en mezcla : Foscarnet sodium     
Envase Solvente Concentración Molécula Temperatura Conservación Duración de la estabilidad Bibliografía
No precisado Cloruro de sodio 0,9% 12 mg/ml
Inyectables   Foscarnet sodium   
Inyectables   Potassium chloride 20 >> 80 mEq/l
25°C
65 Hora
No precisada 246
Nivel de evidencia D

  Mentions Légales