Posledná aktualizácia :
31/03/2026
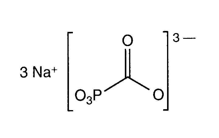
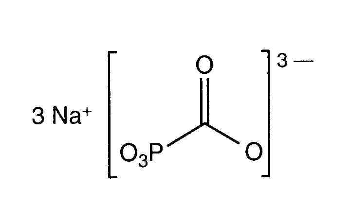
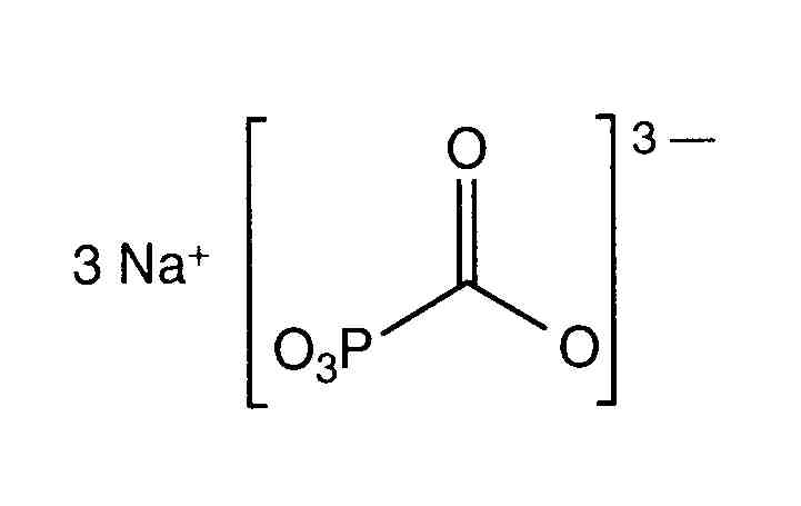
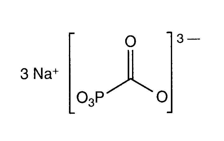
antivirotikum   Foscarnet sodium  
Injekcia
Stabilita roztokov Stabilita v zmesiach Faktory ovplyvňujúce stabilitu Kompatibility spôsob podania Odkazy na literatúru PDF
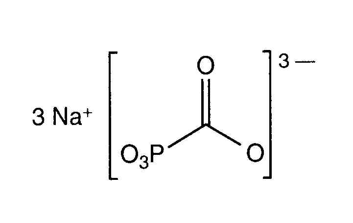
   Chemický vzorec  

Obchodný názov   Obchodný názov     

Obchodné názvy sú orientačné, a zloženie pomocných látok sa môže líšiť v závislosti od krajiny a výrobcu.

Foscarnet Argentína, Čile, Ekvádor, Kolumbia, Mexiko, peru, Portugalsko, Španielsko, Spojené štáty Americké
Foscavir Austrália, Belgicko, Francúzsko, Grécko, Holandsko, Luxembursko, Maďarsko, Nemecko, nový Zéland, Rakúsko, Španielsko, Spojené štáty Americké, Švajčiarsko, Švédsko, Taliansko, Veľká Británia
Stabilita v zmesiach   Injekcia   Stabilita v zmesiach : Foscarnet sodium     
obal rozpúšťadlo koncentrácia Zlúčenina teplota uchovávanie Trvanie stability odkazy na lieteratúru
nešpecifikované 0,9% chlorid sodný 12 mg/ml
Injekcia   Foscarnet sodium   
Injekcia   Potassium chloride 20 >> 80 mEq/l
25°C
65 hodín
nešpecifikované 246
Úroveň dôkazov D

  Mentions Légales