Siste oppdatering :
31/03/2026
Antiviralt middel   Foscarnet sodium  
Injeksjon
Oppløsningsstabilitet Stabilitet i blandinger Faktorer som påvirker stabiliteten Kompatibilitet Administrasjonsmåte Referanser pdf
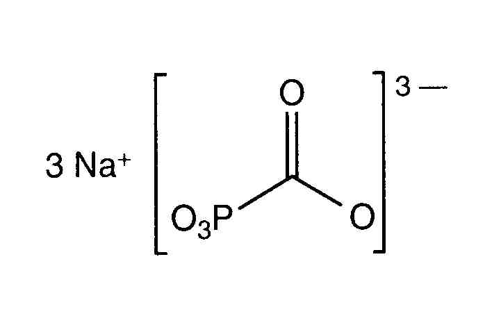
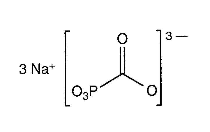
   Kjemisk struktur  

Handelsnavn   Handelsnavn     

Handelsnavn er veiledende og sammensetning av hjelpestoffer kan være forskjellig avhengig av land og produsent

Foscarnet Argentina, Chile, Colombia, Ecuador, Mexico, Peru, Portugal, Spania, USA
Foscavir Australia, Belgia, Frankrike, Hellas, Italia, Luxembourg, Nederland, New Zealand, Spania, Storbritannia, Sveits, Sverige, Tyskland, Ungarn, USA, Østerrike
Stabilitet i blandinger   Injeksjon   Stabilitet i blandinger : Foscarnet sodium     
Beholder Oppløsningsmiddel Konsentrasjon Legemiddel Temperatur Oppbevaring Varighet av stabilitet Referanser
Ikke angitt Natriumklorid 0,9 % 12 mg/ml
Injeksjon   Foscarnet sodium   
Injeksjon   Potassium chloride 20 >> 80 mEq/l
25°C
65 Tid
Ikke angitt 246
Bevisgrad D

  Mentions Légales