Laatste update :
31/03/2026
Antiviraal middel   Foscarnet sodium  
injecteerbaar geneesmiddel
Stabiliteit in oplossing Stabiliteit in mengsels Factoren die de stabiliteit beïnvloeden Verenigbaarheden Toedieningswijze Literatuur pdf
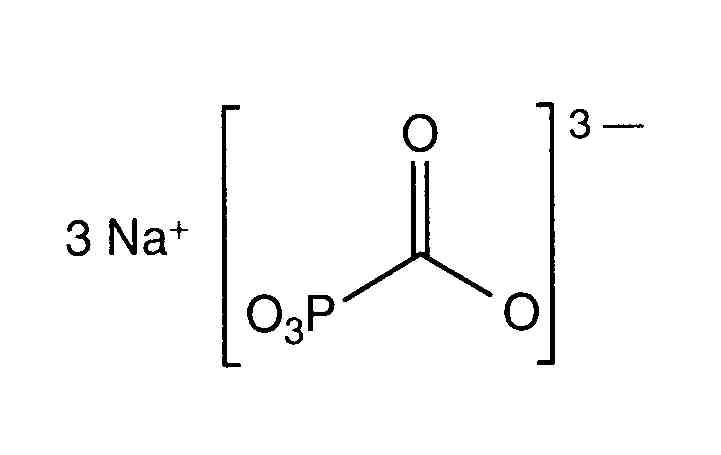
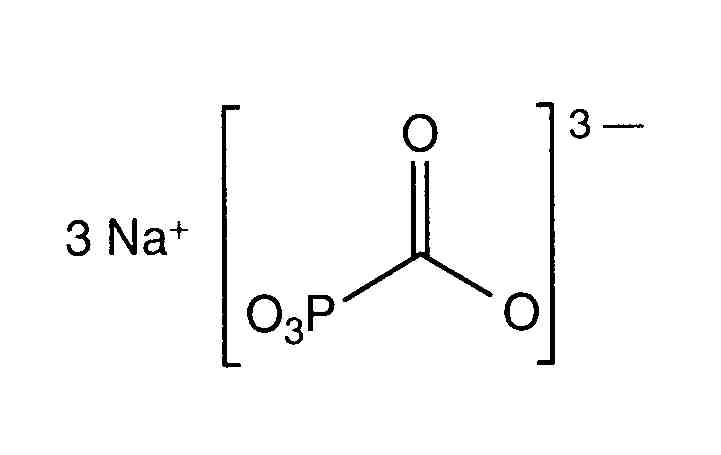
   Molecuulstructuur  

Merknamen in verschillende landen   Merknamen in verschillende landen     

Handelsnamen zijn slechts een indicatie; de samenstelling van hulpstoffen kan per land variëren afhankelijk van de fabrikant

Foscarnet Argentinië, Chili, Colombia, Ecuador, Mexico, Peru, Portugal, Spanje, USA
Foscavir Australië, België, Duitsland, Frankrijk, Griekenland, Groot Britannië, Hongarije, Italië, Luxemburg, Nederland, nieuw Zeeland, Oostenrijk, Spanje, USA, Zweden, Zwitserland
Stabiliteit in mengsels   injecteerbaar geneesmiddel   Stabiliteit in mengsels : Foscarnet sodium     
Verpakking Oplosmiddel Concentratie Stof Temperatuur Bewaring Duur van de stabiliteit Literatuur
Niet gespecificeerd Natriumchloride 0,9% 12 mg/ml
injecteerbaar geneesmiddel   Foscarnet sodium   
injecteerbaar geneesmiddel   Potassium chloride 20 >> 80 mEq/l
25°C
65 Uur
Niet gespecificeerd 246
Bewijsniveau D

  Mentions Légales